Solving series with complex exponentials.

  • Thread starter Thread starter yungman
  • Start date Start date
  • Tags Tags
    Complex Series
Click For Summary

Homework Help Overview

The discussion revolves around the evaluation of a series involving complex exponentials, specifically the expression involving sums of the form \( \sum_{n=1}^{\infty}\left(\frac{r}{a}\right)^n e^{jn(\theta-\phi)} \) and its counterpart with negative exponentials. Participants are attempting to simplify this expression and relate it to known results from geometric series.

Discussion Character

  • Exploratory, Mathematical reasoning, Assumption checking

Approaches and Questions Raised

  • The original poster attempts to manipulate the series by multiplying by a specific term to simplify it. Some participants suggest using the geometric series formula as a potential approach. Others note the importance of the starting index of the summation and how it affects the results.

Discussion Status

Participants are actively engaging with the problem, questioning the steps taken by the original poster, and exploring different interpretations of the series. There is a recognition of the need to clarify the impact of the summation's starting index and the conditions under which the geometric series applies. Some guidance has been offered regarding the manipulation of series, but no consensus has been reached on the correct approach.

Contextual Notes

It is noted that \( r \leq a \) and \( |e^{j(\theta-\phi)}| \leq 1 \), which are constraints relevant to the convergence of the series. Participants also discuss the implications of these constraints on the validity of the geometric series formula in this context.

yungman
Messages
5,741
Reaction score
291

Homework Statement


I don't know how to come up with this final solution:
[tex]1+\sum_{n=1}^{\infty}\left(\frac{r}{a}\right)^n e^{jn(\theta-\phi)}+\sum_{n=1}^{\infty}\left(\frac{r}{a}\right)^n e^{-jn(\theta-\phi)}=1+\frac{re^{j(\theta-\phi)}}{a-re^{j(\theta-\phi)}}+\frac{re^{-j(\theta-\phi)}}{a-re^{-j(\theta-\phi)}}=\frac{a^2-r^2}{a^2-2at\cos(\theta-\phi)+r^2}[/tex]

Homework Equations



The Attempt at a Solution


For [itex]\sum_{n=1}^{\infty}\left(\frac{r}{a}\right)^n e^{jn(\theta-\phi)}[/itex], multiply by [itex]\frac{a-re^{j(\theta-\phi)}}{a-re^{j(\theta-\phi)}}[/itex]

[tex]\sum_{n=1}^{\infty}\left(\frac{r}{a}\right)^n e^{jn(\theta-\phi)}(a-re^{j(\theta-\phi)})[/tex]
[tex]=\frac{ar^n e^{jn(\theta-\phi)}}{a^n}-\frac{r^{n+1}e^{j(n+1)(\theta-\phi)}}{a^n}+\frac{ar^{n-1} e^{j(n-1)(\theta-\phi)}}{a^{n-1}}-\frac{r^{n}e^{j(n(\theta-\phi)}}{a^{n-1}}\cdot \cdot \cdot \cdot\cdot \cdot+\frac{are^{j(\theta-\phi)}}{a}-\frac{r^2e^{j2(\theta-\phi)}}{a}[/tex]
[tex]=re^{j(\theta-\phi)}-\frac{r^{n+1}e^{j(n+1)(\theta-\phi)}}{a^n}[/tex]
[tex]\Rightarrow\;\sum_{n=1}^{\infty}\left(\frac{r}{a}\right)^n e^{jn(\theta-\phi)}=\frac{re^{j(\theta-\phi)}-\frac{r^{n+1}e^{j(n+1)(\theta-\phi)}}{a^n}}{a-re^{j(\theta-\phi)}}[/tex]

The same steps are use:
[tex]\Rightarrow\;\sum_{n=1}^{\infty}\left(\frac{r}{a}\right)^n e^{-jn(\theta-\phi)}=\frac{re^{-j(\theta-\phi)}-\frac{r^{n+1}e^{-j(n+1)(\theta-\phi)}}{a^n}}{a-re^{-j(\theta-\phi)}}[/tex]I expand the series out. You can see most cancel each other and leaving only two terms which factored out into 4 simpler terms. You can see two of the terms match the answer:
[tex]1+\sum_{n=1}^{\infty}\left(\frac{r}{a}\right)^n e^{jn(\theta-\phi)}+\sum_{n=1}^{\infty}\left(\frac{r}{a}\right)^n e^{-jn(\theta-\phi)}=1+\frac{re^{j(\theta-\phi)}}{a-re^{j(\theta-\phi)}}-\frac{\frac{r^{n+1}e^{j(n+1)(\theta-\phi)}}{a^n}} {a-re^{j(\theta-\phi)}} +\frac{re^{-j(\theta-\phi)}}{a-re^{-j(\theta-\phi)}}-\frac{\frac{r^{n+1}e^{-j(n+1)(\theta-\phi)}}{a^n}} {a-re^{-j(\theta-\phi)}}[/tex]

Compare with [itex]1+\sum_{n=1}^{\infty}\left(\frac{r}{a}\right)^n e^{jn(\theta-\phi)}+\sum_{n=1}^{\infty}\left(\frac{r}{a}\right)^n e^{-jn(\theta-\phi)}=1+\frac{re^{j(\theta-\phi)}}{a-re^{j(\theta-\phi)}}+\frac{re^{-j(\theta-\phi)}}{a-re^{-j(\theta-\phi)}}[/itex]

[tex]\Rightarrow\;\frac{\frac{r^{n+1}e^{j(n+1)(\theta-\phi)}}{a^n}} {a-re^{j(\theta-\phi)}}+\frac{\frac{r^{n+1}e^{-j(n+1)(\theta-\phi)}}{a^n}} {a-re^{-j(\theta-\phi)}}=0[/tex]

I have no idea how to make this zero, please help.

Thanks
 
Last edited:
Physics news on Phys.org
I can't follow at all what you have done, so I can't comment on it.

Perhaps the best approach would be to use the commonly known result for geometric series: [tex]\sum_{n=0}^\infty x^n = \frac{1}{1-x}[/tex] for [itex]|x| < 1[/itex]
 
  • Like
Likes   Reactions: 1 person
clamtrox said:
I can't follow at all what you have done, so I can't comment on it.

Perhaps the best approach would be to use the commonly known result for geometric series: [tex]\sum_{n=0}^\infty x^n = \frac{1}{1-x}[/tex] for [itex]|x| < 1[/itex]

Thanks for the reply.
It is given [itex]r\leq a[/itex] and also [itex]|e^{j(\theta-\phi)}|\leq 1[/itex]. So that fits [itex]|x|\leq 1[/itex]

[tex]\sum_{n=1}^{\infty}\left(\frac{r}{a}\right)^n e^{jn(\theta-\phi)}\;\Rightarrow\;x=\left(\frac{r}{a}\right) e^{j(\theta-\phi)}\;\Rightarrow\;\frac{1}{1-x}=\frac{a}{a-re^{j(\theta-\phi)}}[/tex]


The same steps are use:
[tex]\Rightarrow\;\sum_{n=1}^{\infty}\left(\frac{r}{a}\right)^n e^{-jn(\theta-\phi)}\;\Rightarrow\;x=\left(\frac{r}{a}\right) e^{-j(\theta-\phi)} \;\Rightarrow\;\frac{1}{1-x}=\frac{a}{a-re^{-j(\theta-\phi)}}[/tex]

But that will give:
[tex]1+\sum_{n=1}^{\infty}\left(\frac{r}{a}\right)^n e^{jn(\theta-\phi)}+\sum_{n=1}^{\infty}\left(\frac{r}{a}\right)^n e^{-jn(\theta-\phi)}=1+\frac{a}{a-re^{j(\theta-\phi)}}+\frac{a}{a-re^{-j(\theta-\phi)}}[/tex]

That's does not give the right answer. Please help.
 
yungman said:
Thanks for the reply.
It is given [itex]r\leq a[/itex] and also [itex]|e^{j(\theta-\phi)}|\leq 1[/itex]. So that fits [itex]|x|\leq 1[/itex]

[tex]\sum_{n=1}^{\infty}\left(\frac{r}{a}\right)^n e^{jn(\theta-\phi)}\;\Rightarrow\;x=\left(\frac{r}{a}\right) e^{j(\theta-\phi)}\;\Rightarrow\;\frac{1}{1-x}=\frac{a}{a-re^{j(\theta-\phi)}}[/tex]

Notice that the summation in clamtrox' post starts at ##0## and yours starts at ##1##.
 
R136a1 said:
Notice that the summation in clamtrox' post starts at ##0## and yours starts at ##1##.

Thanks, I missed that. I have to see whether it's making any difference.
 
So with the extra term of [itex]n=0[/itex], both will give a 1 for [itex]n=0[/itex].

[tex]1+\sum_{n=1}^{\infty}\left(\frac{r}{a}\right)^n e^{jn(\theta-\phi)}+\sum_{n=1}^{\infty}\left(\frac{r}{a}\right)^n e^{-jn(\theta-\phi)}=1+\frac{a}{a-re^{j(\theta-\phi)}}+\frac{a}{a-re^{-j(\theta-\phi)}}+2[/tex]

I then factor 1 into one of the fraction:

[tex]1+\sum_{n=1}^{\infty}\left(\frac{r}{a}\right)^n e^{jn(\theta-\phi)}+\sum_{n=1}^{\infty}\left(\frac{r}{a}\right)^n e^{-jn(\theta-\phi)}=1+\frac{a}{a-re^{j(\theta-\phi)}}+\frac{a}{a-re^{-j(\theta-\phi)}}+2=1+\frac{2a-re^{j(\theta-\phi)}}{a-re^{j(\theta-\phi)}}+\frac{2a-re^{-j(\theta-\phi)}}{a-re^{-j(\theta-\phi)}}[/tex]

I still cannot get the right answer.
 
yungman said:
So with the extra term of [itex]n=0[/itex], both will give a 1 for [itex]n=0[/itex].

[tex]1+\sum_{n=1}^{\infty}\left(\frac{r}{a}\right)^n e^{jn(\theta-\phi)}+\sum_{n=1}^{\infty}\left(\frac{r}{a}\right)^n e^{-jn(\theta-\phi)}=1+\frac{a}{a-re^{j(\theta-\phi)}}+\frac{a}{a-re^{-j(\theta-\phi)}}+2[/tex]

Don't you think that should be -2 instead of +2?

You can then give -1 to each of the fraction to get the right answer.
 
Pranav-Arora said:
Don't you think that should be -2 instead of +2?

You can then give -1 to each of the fraction to get the right answer.

Can you explain how you can make it to -1. If you look at post #3, it's all positive result. n=0 then the result is +1. I don't understand why you can assign -1 to it. Please help.

Thanks
 
yungman said:
Can you explain how you can make it to -1. If you look at post #3, it's all positive result. n=0 then the result is +1. I don't understand why you can assign -1 to it. Please help.

Thanks

You agree that
$$\sum_{i=0}^{\infty} x^i=\frac{1}{1-x}$$

for ##|x| < 1##.

The above series is:
$$1+x+x^2+x^3+...=\frac{1}{1-x}$$
Subtract 1 from both the sides to get
$$\sum_{i=1}^{\infty} x^i =\frac{1}{1-x}-1$$

Do you agree and does this clear your doubt?
 
Last edited:
  • Like
Likes   Reactions: 1 person
  • #10
yungman said:
Thanks, I missed that. I have to see whether it's making any difference.

[tex]\sum_{n=1}^\infty x^n = x \sum_{n=0}^\infty x^n[/tex]
 
  • #11
[tex]\sum_{k=m}^\infty ar^k=\frac{ar^m}{1-r}[/tex]

Here is the more general formula, it should be easier to go from here.
 
  • Like
Likes   Reactions: 1 person
  • #12
Pranav-Arora said:
You agree that
$$\sum_{i=0}^{\infty} x^i=\frac{1}{1-x}$$

for ##|x| \leqslant 1##.

The above series is:
$$1+x+x^2+x^3+...=\frac{1}{1-x}$$
Subtract 1 from both the sides to get
$$\sum_{i=1}^{\infty} x^i =\frac{1}{1-x}-1$$

Do you agree and does this clear your doubt?

Yes, I made a mistake, it's -1 instead.

The book suggested the method in my original post and I just don't see how that work!
 
  • #13
montadhar said:
[tex]\sum_{k=m}^\infty ar^k=\frac{ar^m}{1-r}[/tex]

Here is the more general formula, it should be easier to go from here.

Do you have a link that explain a little more on this? What is the limit of [itex]r[/itex] in this?
 
  • #14
  • Like
Likes   Reactions: 1 person
  • #15
Pranav-Arora said:

Thanks for your help. Lastly I just want to verify this:

[tex]\sum_{n=1}^{\infty}\left(\frac{r}{a}\right)^n e^{jn(\theta-\phi)}\;\Rightarrow\;x=\left(\frac{r}{a}\right) e^{j(\theta-\phi)}[/tex]

It is given ##r\leq a## so ##\left(\frac{r}{a}\right)^n\leq 1##

[tex]|e^{jn(\theta-\phi)}|=e^{jn(\theta-\phi)}e^{-jn(\theta-\phi)}=1[/tex]

[tex]\Rightarrow\;|x|=\left|\left(\frac{r}{a}\right) e^{j(\theta-\phi)}\right|\leq 1[/tex]
Thanks
 
  • #16
Pranav-Arora said:

I just read through the article. I don't think this can work for my problem. As posted, the ##r\leq 1## in my case. This does not work for ##r=1## as the denominator become zero and the solution is unbounded.

So I have to go back to my original post #1. Maybe that's the reason the book used a complicated formula.

Please help.

Thanks
 
  • #17
yungman said:
I just read through the article. I don't think this can work for my problem. As posted, the ##r\leq 1## in my case. This does not work for ##r=1## as the denominator become zero and the solution is unbounded.

So I have to go back to my original post #1. Maybe that's the reason the book used a complicated formula.

Please help.

Thanks

You are right, and that is also the reason I edited my previous post.

Can you perhaps post the complete problem statement? I don't see the bounds stated anywhere in the OP.
 
  • #18
This is part of the derivation of Laplace equation on a disk. The books show these three steps. I am trying to verify this by deriving from beginning to the end. The important thing is the boundary of the disk is ##r=a##. So the solution has to be finite when ##r=a## which rules out the easy solution of the few suggestions above.

It is given by the book:
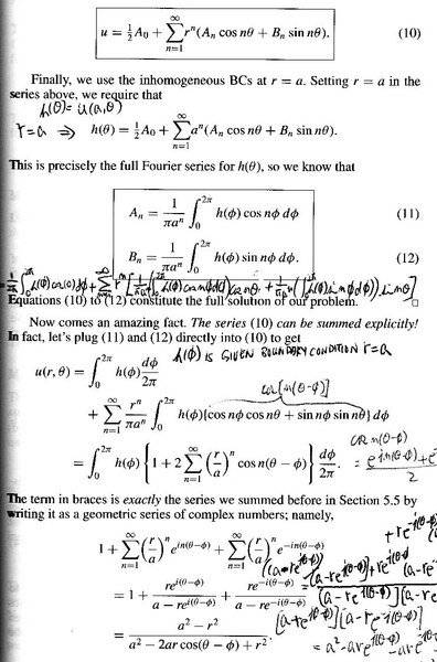
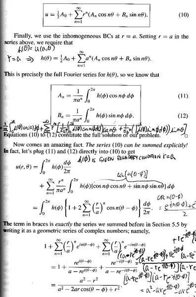
[tex]1+\sum_{n=1}^{\infty}\left(\frac{r}{a}\right)^n e^{jn(\theta-\phi)}+\sum_{n=1}^{\infty}\left(\frac{r}{a}\right)^n e^{-jn(\theta-\phi)}=1+\frac{re^{j(\theta-\phi)}}{a-re^{j(\theta-\phi)}}+\frac{re^{-j(\theta-\phi)}}{a-re^{-j(\theta-\phi)}}=\frac{a^2-r^2}{a^2-2at\cos(\theta-\phi)+r^2}[/tex]


This is my attempt:
For [itex]\sum_{n=1}^{\infty}\left(\frac{r}{a}\right)^n e^{jn(\theta-\phi)}[/itex], multiply by [itex]\frac{a-re^{j(\theta-\phi)}}{a-re^{j(\theta-\phi)}}[/itex]

[tex]\sum_{n=1}^{\infty}\left(\frac{r}{a}\right)^n e^{jn(\theta-\phi)}(a-re^{j(\theta-\phi)})[/tex]

[tex]=\frac{r^n e^{jn(\theta-\phi)}}{a^{n-1}}+\frac{r^{n-1} e^{j(n-1)(\theta-\phi)}}{a^{n-2}}+\frac{r^{n-2} e^{j(n-2)(\theta-\phi)}}{a^{n-3}}\cdot \cdot \cdot \cdot\cdot \cdot+\frac{r^2e^{j2(\theta-\phi)}}{a}+re^{j(\theta-\phi)}[/tex]

[tex]-\frac{r^{n+1}e^{j(n+1)(\theta-\phi)}}{a^n}-\frac{r^{n}e^{j(n(\theta-\phi)}}{a^{n-1}}-\frac{r^{n-1}e^{j(n-1)(\theta-\phi)}}{a^{n-2}}\cdot \cdot \cdot \cdot\cdot \cdot-\frac{r^3e^{-j3(\theta-\phi)}}{a^2}-\frac{r^2e^{j2(\theta-\phi)}}{a}[/tex]
As you can see, all except two terms get canceled out giving:
[tex]=re^{j(\theta-\phi)}-\frac{r^{n+1}e^{j(n+1)(\theta-\phi)}}{a^n}[/tex]
[tex]\Rightarrow\;\sum_{n=1}^{\infty}\left(\frac{r}{a}\right)^n e^{jn(\theta-\phi)}=\frac{re^{j(\theta-\phi)}-\frac{r^{n+1}e^{j(n+1)(\theta-\phi)}}{a^n}}{a-re^{j(\theta-\phi)}}[/tex]

The same steps are use:
[tex]\Rightarrow\;\sum_{n=1}^{\infty}\left(\frac{r}{a}\right)^n e^{-jn(\theta-\phi)}=\frac{re^{-j(\theta-\phi)}-\frac{r^{n+1}e^{-j(n+1)(\theta-\phi)}}{a^n}}{a-re^{-j(\theta-\phi)}}[/tex]


I expand the series out. You can see most cancel each other and leaving only two terms which factored out into 4 simpler terms. You can see two of the terms match the answer:
[tex]1+\sum_{n=1}^{\infty}\left(\frac{r}{a}\right)^n e^{jn(\theta-\phi)}+\sum_{n=1}^{\infty}\left(\frac{r}{a}\right)^n e^{-jn(\theta-\phi)}=1+\frac{re^{j(\theta-\phi)}}{a-re^{j(\theta-\phi)}}-\frac{\frac{r^{n+1}e^{j(n+1)(\theta-\phi)}}{a^n}} {a-re^{j(\theta-\phi)}} +\frac{re^{-j(\theta-\phi)}}{a-re^{-j(\theta-\phi)}}-\frac{\frac{r^{n+1}e^{-j(n+1)(\theta-\phi)}}{a^n}} {a-re^{-j(\theta-\phi)}}[/tex]

Compare with [itex]1+\sum_{n=1}^{\infty}\left(\frac{r}{a}\right)^n e^{jn(\theta-\phi)}+\sum_{n=1}^{\infty}\left(\frac{r}{a}\right)^n e^{-jn(\theta-\phi)}=1+\frac{re^{j(\theta-\phi)}}{a-re^{j(\theta-\phi)}}+\frac{re^{-j(\theta-\phi)}}{a-re^{-j(\theta-\phi)}}[/itex]

[tex]\Rightarrow\;\frac{\frac{r^{n+1}e^{j(n+1)(\theta-\phi)}}{a^n}} {a-re^{j(\theta-\phi)}}+\frac{\frac{r^{n+1}e^{-j(n+1)(\theta-\phi)}}{a^n}} {a-re^{-j(\theta-\phi)}}=0[/tex]

I have no idea how to make this zero, please help.
 
Last edited:
  • #19
yungman said:
This is part of the derivation of Laplace equation on a disk. The books show these three steps. I am trying to verify this by deriving from beginning to the end.

It is given by the book:
[tex]1+\sum_{n=1}^{\infty}\left(\frac{r}{a}\right)^n e^{jn(\theta-\phi)}+\sum_{n=1}^{\infty}\left(\frac{r}{a}\right)^n e^{-jn(\theta-\phi)}=1+\frac{re^{j(\theta-\phi)}}{a-re^{j(\theta-\phi)}}+\frac{re^{-j(\theta-\phi)}}{a-re^{-j(\theta-\phi)}}=\frac{a^2-r^2}{a^2-2at\cos(\theta-\phi)+r^2}[/tex]


This is my attempt:
For [itex]\sum_{n=1}^{\infty}\left(\frac{r}{a}\right)^n e^{jn(\theta-\phi)}[/itex], multiply by [itex]\frac{a-re^{j(\theta-\phi)}}{a-re^{j(\theta-\phi)}}[/itex]

[tex]\sum_{n=1}^{\infty}\left(\frac{r}{a}\right)^n e^{jn(\theta-\phi)}(a-re^{j(\theta-\phi)})[/tex]

[tex]=\frac{r^n e^{jn(\theta-\phi)}}{a^{n-1}}+\frac{r^{n-1} e^{j(n-1)(\theta-\phi)}}{a^{n-2}}+\frac{r^{n-2} e^{j(n-2)(\theta-\phi)}}{a^{n-3}}\cdot \cdot \cdot \cdot\cdot \cdot+\frac{r^2e^{j2(\theta-\phi)}}{a}+re^{j(\theta-\phi)}[/tex]

[tex]-\frac{r^{n+1}e^{j(n+1)(\theta-\phi)}}{a^n}-\frac{r^{n}e^{j(n(\theta-\phi)}}{a^{n-1}}-\frac{r^{n-1}e^{j(n-1)(\theta-\phi)}}{a^{n-2}}\cdot \cdot \cdot \cdot\cdot \cdot-\frac{r^3e^{-j3(\theta-\phi)}}{a^2}-\frac{r^2e^{j2(\theta-\phi)}}{a}[/tex]
As you can see, all except two terms get canceled out giving:
[tex]=re^{j(\theta-\phi)}-\frac{r^{n+1}e^{j(n+1)(\theta-\phi)}}{a^n}[/tex]
[tex]\Rightarrow\;\sum_{n=1}^{\infty}\left(\frac{r}{a}\right)^n e^{jn(\theta-\phi)}=\frac{re^{j(\theta-\phi)}-\frac{r^{n+1}e^{j(n+1)(\theta-\phi)}}{a^n}}{a-re^{j(\theta-\phi)}}[/tex]

The same steps are use:
[tex]\Rightarrow\;\sum_{n=1}^{\infty}\left(\frac{r}{a}\right)^n e^{-jn(\theta-\phi)}=\frac{re^{-j(\theta-\phi)}-\frac{r^{n+1}e^{-j(n+1)(\theta-\phi)}}{a^n}}{a-re^{-j(\theta-\phi)}}[/tex]


I expand the series out. You can see most cancel each other and leaving only two terms which factored out into 4 simpler terms. You can see two of the terms match the answer:
[tex]1+\sum_{n=1}^{\infty}\left(\frac{r}{a}\right)^n e^{jn(\theta-\phi)}+\sum_{n=1}^{\infty}\left(\frac{r}{a}\right)^n e^{-jn(\theta-\phi)}=1+\frac{re^{j(\theta-\phi)}}{a-re^{j(\theta-\phi)}}-\frac{\frac{r^{n+1}e^{j(n+1)(\theta-\phi)}}{a^n}} {a-re^{j(\theta-\phi)}} +\frac{re^{-j(\theta-\phi)}}{a-re^{-j(\theta-\phi)}}-\frac{\frac{r^{n+1}e^{-j(n+1)(\theta-\phi)}}{a^n}} {a-re^{-j(\theta-\phi)}}[/tex]

Compare with [itex]1+\sum_{n=1}^{\infty}\left(\frac{r}{a}\right)^n e^{jn(\theta-\phi)}+\sum_{n=1}^{\infty}\left(\frac{r}{a}\right)^n e^{-jn(\theta-\phi)}=1+\frac{re^{j(\theta-\phi)}}{a-re^{j(\theta-\phi)}}+\frac{re^{-j(\theta-\phi)}}{a-re^{-j(\theta-\phi)}}[/itex]

[tex]\Rightarrow\;\frac{\frac{r^{n+1}e^{j(n+1)(\theta-\phi)}}{a^n}} {a-re^{j(\theta-\phi)}}+\frac{\frac{r^{n+1}e^{-j(n+1)(\theta-\phi)}}{a^n}} {a-re^{-j(\theta-\phi)}}=0[/tex]

I have no idea how to make this zero, please help.


I cannot figure out what you are trying to do, but it does seem you are making the problem 100 times more difficult than it is. You want to evaluate
[tex]1+\sum_{n=1}^{\infty}\left(\frac{r}{a}\right)^n e^{jn(\theta-\phi)}+\sum_{n=1}^{\infty}\left(\frac{r}{a}\right)^n e^{-jn(\theta-\phi)}<br /> = 1 + 2\, \text{Re}\left[ \sum_{n=1}^{\infty}\left(\frac{r}{a}\right)^n e^{jn(\theta-\phi)} \right][/tex]
The summation can be easily computed using
[tex]\sum_{n=1}^{\infty} x^n = \frac{x}{1-x}, \;\; x = (r/a)\, e^{j(\theta-\phi)}.[/tex]
 
  • #20
Ray Vickson said:
I cannot figure out what you are trying to do, but it does seem you are making the problem 100 times more difficult than it is. You want to evaluate
[tex]1+\sum_{n=1}^{\infty}\left(\frac{r}{a}\right)^n e^{jn(\theta-\phi)}+\sum_{n=1}^{\infty}\left(\frac{r}{a}\right)^n e^{-jn(\theta-\phi)}<br /> = 1 + 2\, \text{Re}\left[ \sum_{n=1}^{\infty}\left(\frac{r}{a}\right)^n e^{jn(\theta-\phi)} \right][/tex]
The summation can be easily computed using
[tex]\sum_{n=1}^{\infty} x^n = \frac{x}{1-x}, \;\; x = (r/a)\, e^{j(\theta-\phi)}.[/tex]

Yes, you are correct, but this formula cannot accommodate when ##r=a##. This is a Laplace equation on a disk where boundary condition is ##r=a##. So this formula cannot be used.
 
  • #21
yungman said:
Yes, you are correct, but this formula cannot accommodate when ##r=a##. This is a Laplace equation on a disk where boundary condition is ##r=a##. So this formula cannot be used.

So what? It can be used for all r < a, so you get a formula that is 100% correct for r < a. It is a separate issue altogether whether or not you can extend the answer to the case r = a. If you cannot, your beginning formulation must either be (i) applicable only to r < a; or (ii) in error somehow. There are separate issues that you are confounding, and that is leading to confusion on your part, or so it seems.

Anyway, if you do what I suggested you will get exactly what the book says. If you don't agree with the method and the answer, you are saying that you disagree with the book as well.
 
Last edited:
  • #22
Ok, if you insist.
yungman said:
[tex]\Rightarrow\;\frac{\frac{r^{n+1}e^{j(n+1)(\theta-\phi)}}{a^n}} {a-re^{j(\theta-\phi)}}+\frac{\frac{r^{n+1}e^{-j(n+1)(\theta-\phi)}}{a^n}} {a-re^{-j(\theta-\phi)}}=0[/tex]

I have no idea how to make this zero, please help.
There is a common factor in the numerator of both fractions, can you locate it ?
 
  • #23
montadhar said:
Ok, if you insist.

There is a common factor in the numerator of both fractions, can you locate it ?

I know I can pull out ##\frac {r^{n+1}}{a^n}##. But that does not help to make the whole thing to zero.
 
  • #24
yungman said:
I know I can pull out ##\frac {r^{n+1}}{a^n}##. But that does not help to make the whole thing to zero.

It is NOT zero, and there is no reason why it should be. All you need is
[tex]\lim_{n \to \infty} \frac{r^{n+1}}{a^n} = 0[/tex]
and that is true if ##r < a.## Have you forgotten what is meant by the sum of an infinite series?
 
  • #25
Ray Vickson said:
It is NOT zero, and there is no reason why it should be. All you need is
[tex]\lim_{n \to \infty} \frac{r^{n+1}}{a^n} = 0[/tex]
and that is true if ##r < a.## Have you forgotten what is meant by the sum of an infinite series?

No I did not forget, I need to have the formula work for ##r=a##. This is the solution of Laplace with boundary condition at ##r=a##. You cannot say the OP was wrong from the book and only look at ##r<a##. Solution has to be continuous at the boundary.

Also, the method in the OP was suggested by the book. I just cannot cancel it out.
 
Last edited:
  • #26
This is the copy of the book, it's for Laplace on a disk ##r=a## with boundary condition. Please ignore my writing.


166217[/ATTACH]"]
kre4i.jpg




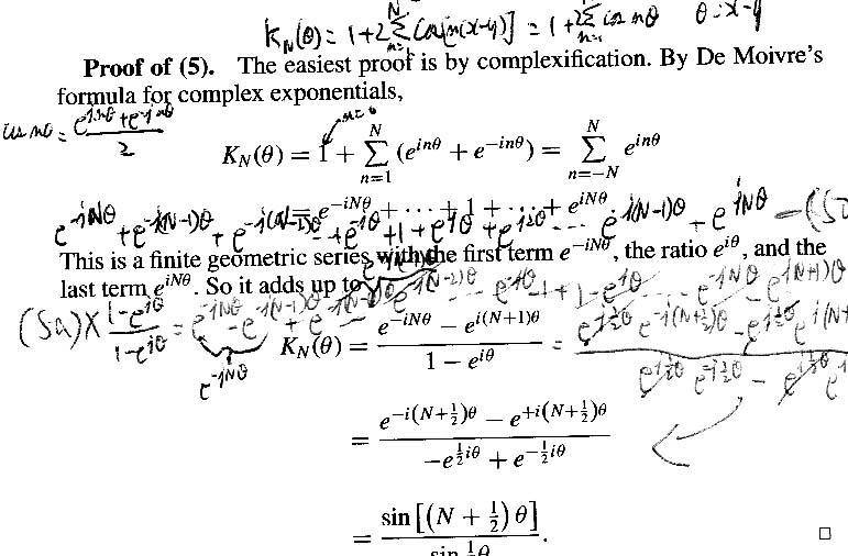
The method the book referred to in section 5.5 is as follow:

166219[/ATTACH]"]
264jmzp.jpg
 

Attachments

  • kre4i.jpg
    kre4i.jpg
    45.9 KB · Views: 477
  • 264jmzp.jpg
    264jmzp.jpg
    62.8 KB · Views: 468
Last edited:
  • #27
yungman said:
This is the copy of the book, it's for Laplace on a disk ##r=a## with boundary condition. Please ignore my writing.


166221[/ATTACH]"]
kre4i.jpg


https://www.math.okstate.edu/~binegar/4263/4263-l15.pdf
look at Eqn 17, they indeed used the infinite sum of a geometric series.
 

Attachments

  • kre4i.jpg
    kre4i.jpg
    45.9 KB · Views: 393
  • Like
Likes   Reactions: 1 person
  • #29
montadhar said:
https://www.math.okstate.edu/~binegar/4263/4263-l15.pdf
look at Eqn 17, they indeed used the infinite sum of a geometric series.

I read through the article, but the article never address the issue of ##r=a## as I pointed out. The original formula
[tex]u=A_0+\sum_{n=1}^{\infty} \left(\frac{r}{a}\right)^n[A_n\cos(n\theta)+B_n\sin(n\theta)][/tex]
can accommodate ##r=a##, but not using the assumption of ##\sum_0^{\infty} x^n=\frac{1}{1-x}##

This formula has to be working with boundary condition, you cannot have undefined value on the boundary ##r=a##.
I just don't get this. Can you explain how you justify using this formula?
 
  • #30
[tex][Acos(θ)+Bsin(θ)][/tex] is less than one ?
the entire term being less than 1 is what matters
 

Similar threads

  • · Replies 2 ·
Replies
2
Views
1K
Replies
3
Views
2K
  • · Replies 14 ·
Replies
14
Views
2K
Replies
33
Views
5K
  • · Replies 6 ·
Replies
6
Views
2K
  • · Replies 4 ·
Replies
4
Views
2K
  • · Replies 4 ·
Replies
4
Views
2K
  • · Replies 6 ·
Replies
6
Views
2K
  • · Replies 13 ·
Replies
13
Views
2K