The phase difference between current and voltage.

Click For Summary

Homework Help Overview

The discussion revolves around an electrical circuit involving an inductor, a resistor, and an AC source. The original poster seeks to understand how to reduce the phase difference between current and voltage to zero without altering the current or the AC source voltage. The circuit parameters include an inductive reactance of 40.2 ohms, a resistance of 30 ohms, and a current of 0.2 amps.

Discussion Character

  • Mixed

Approaches and Questions Raised

  • Participants explore two potential methods for achieving zero phase difference: adding a capacitor in series with the inductor and adding an additional resistor. There is confusion regarding the second method, particularly how it affects the phase difference while maintaining the current.

Discussion Status

The conversation is ongoing, with participants questioning the validity of the problem statement and the calculations involved. Some have provided insights into the methods discussed, while others express uncertainty about the implications of adding components to the circuit. Clarifications about the current measurement and the effects of the proposed changes are being sought.

Contextual Notes

There are indications of potential misinterpretations of the problem statement, particularly regarding the current value and the expected outcomes of the proposed solutions. Some participants suggest that the problem may allow for modifications to the inductor, while others emphasize the need for clarity on the circuit's behavior with the added components.

Asmaa Mohammad
Messages
182
Reaction score
7

Homework Statement


An inductor (Xl = 40.2 ohm) is connected in series with a resistance (30 ohm) and and an AC source ( 10V , 80Hz) and the current flows in this circuit is 0.2 amp. How could you reduce the phase difference between current and voltage to zero without changing the value of current nor the AC source?

Homework Equations

The Attempt at a Solution



My textbook says that we can do this in two different ways:

First, We add a capacitor with a capacitance of 50 microfarad in series with the inductor, in this case the capacitive reactance is equal to the inductive reactance, and then they will cancel each other and the phase difference would be zero. (And that's what I though about when I solved the problem)

Second, (and that's what didn't come to my mind and I don't understand) is to add another resistance to the circuit. And that's what the book did to measure its value:

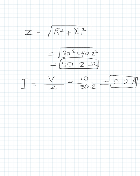
Z (in the circuit before doing any change) = √R^2 + Xl^2 = 50.2 ohm.
The resistance added is Rx, Rx = Z - R = 50.2 - 30 = 20.2 ohm
So the equivalent ohmic resistance in the circuit equals the impedance.

I don't understand the second way, because the inductor is still in the circuit that means that its effect is still there, and it will try to make current lags voltage, right?
 
Physics news on Phys.org
I guess the wording of the problem allows you to change the inductance if you wish (or even remove the inductor entirely).
 
Something's not right with the problem statement as given. The original circuit consisting of the resistor and inductor would have a current of magnitude 0.071 A, not 0.2 A. So perhaps the given 0.2 A is supposed to be the desired current value?

If a capacitor is added to cancel the inductive reactance that would leave just the resistance value as the impedance and the resulting current would be 10V/30Ω = 1/3 A. Again, that's not the given 0.2 A.

I think the problem wants you to add whatever combination of components is required to make the current 0.2 A with zero phase shift. That involves cancelling the inductive reactance and adding an appropriate resistance.
 
TSny said:
I guess the wording of the problem allows you to change the inductance if you wish (or even remove the inductor entirely).
OK, those are two other ways we can solve the problem with. but I don't get the second way mentioned in my textbook.
 
gneill said:
Something's not right with the problem statement as given. The original circuit consisting of the resistor and inductor would have a current of magnitude 0.071 A, not 0.2 A. So perhaps the given 0.2 A is supposed to be the desired current value?
gneill, current is measured as this in the book:
3J6ey.png

It asked me to measure the current and I measured it as written above and it was correct and the book measured it like this too.
So, the current is already 0.2 amp.
 
Ah, my mistake. I used an incorrect value for the impedance when I made the calculation (left over from another problem). I agree that the initial current magnitude is 0.2 A. So you want to maintain this current magnitude when you alter the circuit.

What you've described is one method: Add a series capacitor and resistor. Your calculations determine the values of the two components that must be added in series.

A second method would be to add a new branch in parallel with the original resistor and inductor.
 
gneill said:
What you've described is one method: Add a series capacitor and resistor. Your calculations determine the values of the two components that must be added in series.
But I don't understand the second way in the method I've described, I understand how the capacitor will work to decrease the phase difference to zero, but I don't understand how adding a new resistance in series with the original series and inductor will change the phase, could you explain it for me?
 
Maybe they didn't provide two different solutions, but just one solution that is broken down into two steps. [EDIT: As suggested by gneill]
 
Last edited:
TSny said:
Maybe they didn't provide two different solutions, but just one solution that is broken down into two steps.
No, actually, they are two different solutions, because adding only a capacitor in series with the inductor can do the mission. And the second solution is supposed to do the same thing but I don't understand how?
 
  • #10
Asmaa Mohammad said:
But I don't understand the second way in the method I've described, I understand how the capacitor will work to decrease the phase difference to zero, but I don't understand how adding a new resistance in series with the original series and inductor will change the phase, could you explain it for me?
The added resistor does not change the phase; that was the purpose of the capacitor. The resistor restores the current to its required value. With just the capacitor added the current would end up being too large.
 
  • #11
If all you did was add the capacitor to the circuit in order to cancel the reactance of the inductor, what would be the new impedance of the circuit? What would be the new current?
 
  • #12
gneill said:
The added resistor does not change the phase; that was the purpose of the capacitor. The resistor restores the current to its required value. With just the capacitor added the current would end up being too large.
Oh, gneill, I got it now, so it was only one solution with two steps, yes, I got it now. Many thanks!
TSny said:
If all you did was add the capacitor to the circuit in order to cancel the reactance of the inductor, what would be the new impedance of the circuit? What would be the new current?
Oh, yes, TSny! You were right and I was wrong, they are two steps for one solution, thank you!
 
  • Like
Likes   Reactions: gneill
  • #13
OK, good.
 
  • #14
Does the book go on to show the second method (adding a parallel branch)?
 
  • #15
gneill said:
Does the book go on to show the second method (adding a parallel branch)?
No, it doesn't, but do you mean something like this:
EtWB3.jpg


What would be the values of the new resistance and inductor, would they be the same as the original ones?
 
  • #16
Not quite. Adding another inductor wouldn't correct the phase shift. The new branch would be a resistor and capacitor.
 
  • #17
Ok, and what would be their values?
 
  • #18
Asmaa Mohammad said:
Ok, and what would be their values?
Well, that would be for you to work out :smile:
 
  • #19
Asmaa Mohammad said:
Ok, and what would be their values?
You need to solve for two unknowns, R and Xc. Form two independent equations containing these two and solve them.
 
  • #20
gneill said:
Well, that would be for you to work out :smile:
I don't know how to deal with circuits having capacitors and inductors in series, that's not in my course. So, some hints would be much appretiated?
 
  • #21
Asmaa Mohammad said:
I don't know how to deal with circuits having capacitors and inductors in series, that's not in my course. So, some hints would be much appretiated?
In the second approach, a series R-L branch is in parallel with a series R-C branch.

But firstly, can you write the individual impedances of the two branches in complex form?
 
  • #22
cnh1995 said:
In the second approach, a series R-L branch is in parallel with a series R-C branch.

But firstly, can you write the individual impedances of the two branches in complex form?
I did this, and I don't know what to do then:
AKQl5.jpg

And excuse me, what do you mean by "complex form"?
 
  • #23
Asmaa Mohammad said:
And excuse me, what do you mean by "complex form"?
Have you studied complex numbers? Are you familiar with the concept of imaginary numbers (and symbol 'i' i.e. square root of -1)?
If no, you should study some basics of complex algebra first.
 
  • #24
cnh1995 said:
Have you studied complex numbers? Are you familiar with the concept of imaginary numbers (and symbol 'i' i.e. square root of -1)?
If no, you should study some basics of complex algebra first.
Nope.
I think I will postpone this problem until I study complex number, thank you cnh1995!
 
Last edited:
  • #25
Asmaa Mohammad said:
Nope.
I think I will bostbone this problem until I study complex number, thank you cnh1995!
Well, after thinking for a while, I believe there is another way of doing this problem, without using complex numbers. You can use the power triangle in ac circuits.
 
  • #26
cnh1995 said:
Well, after thinking for a while, I believe there is another way of doing this problem, without using complex numbers. You can use the power triangle in ac circuits.
How?
 
  • #27
Asmaa Mohammad said:
How?
Do you know the power triangle? Do you know the terms active power, reactive power and apparent power?
Can you draw the power triangle for the circuit with only the R-L branch?
 
  • #28
cnh1995 said:
Do you know the power triangle? Do you know the terms active power, reactive power and apparent power?
Can you draw the power triangle for the circuit with only the R-L branch?
No, I don't know these terms! :biggrin::biggrin:
 
  • #29
Asmaa Mohammad said:
No, I don't know these terms! :biggrin::biggrin:
Well, these are some basic terms in ac circuits. You can google 'power triangle' and learn some basics if you want (it is simpler than the complex algebra).
Otherwise, I am sure your ac circuits lessons will cover these topics in detail later. You can wait until then.
 
  • #30
cnh1995 said:
Well, these are some basic terms in ac circuits. You can google 'power triangle' and learn some basics if you want (it is simpler than the complex algebra).
Otherwise, I am sure your ac circuits lessons will cover these topics in detail later. You can wait until then.
Thank you very much, cnh1995!
 

Similar threads

Replies
7
Views
1K
  • · Replies 10 ·
Replies
10
Views
1K
  • · Replies 2 ·
Replies
2
Views
2K
  • · Replies 8 ·
Replies
8
Views
3K
  • · Replies 9 ·
Replies
9
Views
10K
  • · Replies 4 ·
Replies
4
Views
2K
  • · Replies 3 ·
Replies
3
Views
1K
  • · Replies 9 ·
Replies
9
Views
5K
  • · Replies 5 ·
Replies
5
Views
2K
  • · Replies 16 ·
Replies
16
Views
2K