The resistance of an element shaped like a half-cylinder

Click For Summary

Homework Help Overview

The discussion revolves around determining the electrical resistance of a half-cylinder shaped element, with specific focus on how current flows from multiple points (A, B, C) into the element. Participants are exploring the implications of the geometry and current paths on resistance calculations.

Discussion Character

  • Exploratory, Assumption checking, Conceptual clarification

Approaches and Questions Raised

  • Participants are attempting to apply formulas for resistance based on the geometry of the half-cylinder and the specified current directions. Questions arise regarding the meaning of current flow from multiple points and whether these represent simultaneous or separate calculations.

Discussion Status

The discussion is ongoing, with various interpretations being explored regarding the current flow and resistance calculations. Some participants suggest specific approaches for calculating resistance between different points, while others express confusion about the task's clarity and the need for further guidance from the instructor.

Contextual Notes

There is mention of the task being translated from another language, leading to potential misunderstandings in the problem statement. Participants are also considering the implications of the shape of the element on resistance calculations, noting that the original problem may not have provided sufficient detail.

polibuda
Messages
51
Reaction score
9
Homework Statement
Determine the resistance of element put on the picture, if the current flows from A,B,C.
Relevant Equations
Given informations: r1, r2, h and ϱ(resistivity)
1606668864020.png

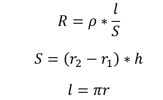
So I started doing this with formula:
1606668803136.png

S is equal to π/2*(r2^2-r1^2)
l is equal to h
Is it correct ?
 
  • Like
Likes   Reactions: Delta2
Physics news on Phys.org
polibuda said:
Homework Statement:: Determine the resistance of element put on the picture, if the current flows from A,B,C.
Relevant Equations:: Given informations: r1, r2, h and ϱ(resistivity)

View attachment 273370
So I started doing this with formula:
View attachment 273369
S is equal to π/2*(r2^2-r1^2)
l is equal to h
Is it correct ?

What does "if the current flows from A,B,C." mean?
 
  • Like
Likes   Reactions: polibuda and sophiecentaur
berkeman said:
What does "if the current flows from A,B,C." mean?
In the picture it is shown like currents flows to this element from A direction, B direction and C direction.
 
polibuda said:
In the picture it is shown like currents flows to this element from A direction, B direction and C direction.
Currents have to flow in closed loops. The figure shows currents entering 3 places, but where do they leave? And are they all supposed to be flowing at the same time, or are these 3 separate calculations that they want you to do?
 
  • Like
Likes   Reactions: polibuda and sophiecentaur
berkeman said:
Currents have to flow in closed loops. The figure shows currents entering 3 places, but where do they leave? And are they all supposed to be flowing at the same time, or are these 3 separate calculations that they want you to do?
That informations are not given in my task.
 
berkeman said:
The figure shows currents entering 3 places, but where do they leave?
Yes. Are you (@polibuda ) trying to replace the object with an equivalent set of three resistors between the points AB and C? The formula you quote refers to a piece of metal which is uniform between the end faces. It need not be a cylinder but the formula doesn't actually apply to resistances between any of the three connecting points. It would only apply between C and the face at the other end.
 
  • Like
Likes   Reactions: polibuda and berkeman
Is it possible to determine resistance with two radii, length and resistivity of this element? So should I determine two more resistances and sum them with first?
 
There is no answer to that until you choose the contact points / surfaces. You must appreciate the essential difference between a simple cylinder and the shape you are discussing.
 
  • Like
Likes   Reactions: polibuda
Sorry, I'm just not sure we can help. This question is posed in such a confusing way, even if you know about solving this sort of question, that doesn't mean you can decipher the intent.

I will give you some of my thoughts:

1) It does seem clear to me that they want three different answers: A, B, and C directions.

2) If you interpret this as current coming from a point contact with the conductor at points A, B, and C, then you will also need to know where they are flowing to. If I specify current from A to B (both point contacts), that is a different answer than from point A to C. You could just solve all of these (A-B, A-C, B-C), but the points aren't really specified well enough for that. Also, frankly, that calculation is nasty; more a simulation exercise than a closed form answer.

3) So my second guess is that they are assuming that the electrons flow in the (uniform) direction of A, B, or C. I guess as if there is an equipotential planar surface that cuts through the object normal to the given direction (otherwise the electrons would curve). That is understandable in the C direction since the start and end surfaces are normal to the direction given. But it doesn't make any sense to me in the other directions since the boundary surfaces aren't planar, and aren't consistent with an equipotential plane. I suppose there is a way to do this if you specify that this shape is actually imbedded in a material with the same resistivity so the electrons don't see any change when crossing the boundaries (no dissimilar metals allowed either, if you are a stickler for precision). This surely isn't what they meant, it's a bazaar interpretation to fix a simple, but confusing description.

4) Maybe my best guess: Perhaps you should assume that the electrons flow from a boundary surface to the "opposite" boundary. So the C direction is axial flow (along the cylinders), the B direction is radial flow (outside to inside cylinders), and the A direction is circumferential flow (around the cylinder). This way you can have an equipotential surface at each entry and exit boundary. Also the electrons won't need to cross the perpendicular boundary surfaces.

So, sorry, I'm not at all sure this is of any help at all. I think maybe you should be confused. Can you ask for clarity from your instructor?
 
  • Like
  • Love
Likes   Reactions: polibuda, PhDeezNutz and berkeman
  • #10
DaveE said:
current coming from a point contact
From a point contact the resistance would always be infinite.

I think it a reasonable guess that for A we want the resistance between the two rectangular upward facing surfaces. That one looks the trickiest.

For C, it would be between the two half annuli. This is the easiest, and @polibuda's approach looks right for that one.

For B, probably between the two half cylinder surfaces, being the only pair left.
 
  • Like
Likes   Reactions: polibuda, berkeman and Delta2
  • #11
Your question does not make sense.

Please post the exact words in the question or an image of the question.
 
  • Like
Likes   Reactions: polibuda
  • #12
Frodo said:
Your question does not make sense.

Please post the exact words in the question or an image of the question.
This task is translated from another language. Everything is correctly translated, but person, which wrote this tasks made a lot of mistakes. But my university has still used lists with his tasks (I don't know why). I sent email to my instructor and I'm waiting for his responding.
 
  • Like
Likes   Reactions: sophiecentaur
  • #13
polibuda said:
This task is translated from another language. Everything is correctly translated, but person, which wrote this tasks made a lot of mistakes. But my university has still used lists with his tasks (I don't know why). I sent email to my instructor and I'm waiting for his responding.
Why not proceed with my interpretation in post #10? It looks to me like a fair bet.
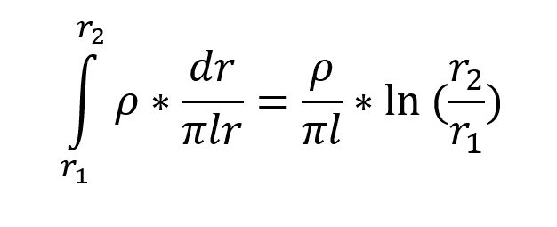
The only thing that bothers me is the expected method for solving A. An easy approach is to treat the current flow as being in parallel semicircular arcs, giving an effective resistance proportional to ln(r2/r1); but I suspect that is not really valid, and a correct solution may involve solving Laplace's equation as a boundary value problem.
 
  • Like
Likes   Reactions: polibuda, sophiecentaur and berkeman
  • #14
haruspex said:
Why not proceed with my interpretation in post #10? It looks to me like a fair bet.
The only thing that bothers me is the expected method for solving A. An easy approach is to treat the current flow as being in parallel semicircular arcs, giving an effective resistance proportional to ln(r2/r1); but I suspect that is not really valid, and a correct solution may involve solving Laplace's equation as a boundary value problem.
I'm sorry. I had to have sure, that is good interpretation. Well, I have the formulas to B and C, but I consider about A. My instructor, said that in A formula is logarithm (that is advise from him), so maybe you are right.
 
Last edited:
  • #15
I consider how to determine the resistance for A case in this easy method.
For C formula is:
1607115798259.png

For B formula is:
1607115836365.png
 
  • #16
I don't get quite the same for B. Please post your working
 
  • #17
I made one mistake. That is good result.
1607160982411.png
 
  • #18
  • Like
Likes   Reactions: polibuda
  • #19
Could you advise me how to determine resistance in A case. I'm confused. I have no even dr in my formula.
1607250860492.png
 
  • #20
polibuda said:
Could you advise me how to determine resistance in A case. I'm confused. I have no even dr in my formula.
View attachment 273778
Consider an arc of thickness dr, at radius r from the centre of curvature. What is its resistance?
 
  • #21
Is it good?
1607293829640.png
 
Last edited:
  • #22
I don't see how you would get that. Please explain your reasoning.
 

Similar threads

  • · Replies 23 ·
Replies
23
Views
3K
Replies
7
Views
2K
  • · Replies 11 ·
Replies
11
Views
2K
  • · Replies 14 ·
Replies
14
Views
2K
Replies
5
Views
1K
  • · Replies 1 ·
Replies
1
Views
3K
  • · Replies 2 ·
Replies
2
Views
2K
  • · Replies 1 ·
Replies
1
Views
919
Replies
5
Views
2K
  • · Replies 27 ·
Replies
27
Views
5K