Triple Integral: $\dfrac{\sqrt{1-x^2}}{2(1+y)}$

Click For Summary

Discussion Overview

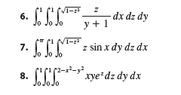
The discussion revolves around evaluating a triple integral of the form $\displaystyle\int_0^1\int_{0}^{1}\int_{0}^{\sqrt{1-x^2}}\dfrac{z}{y+1} \,dxdzdy$. Participants are working through the steps of integration, focusing on the correct limits and integrands, and exploring the implications of their calculations.

Discussion Character

  • Mathematical reasoning
  • Homework-related
  • Technical explanation

Main Points Raised

  • One participant begins with the integral and notes that there is no $x$ in the integrand, leading to a calculation of the first integral with respect to $x$.
  • Another participant points out a typo regarding the limits of integration, suggesting that the upper limit should be $\sqrt{1 - z^2}$ instead of $\sqrt{1 - x^2}$.
  • Subsequent posts continue to evaluate the integral, with participants expressing uncertainty about the variable used in the integrals, particularly switching from $x$ to $z$.
  • One participant suggests using a trigonometric substitution to simplify the integral further, indicating a step-by-step approach to the solution.

Areas of Agreement / Disagreement

There is no consensus on the correct approach to the integral, as participants express differing views on the limits and the variables involved. Uncertainty remains about the correct formulation of the integrals.

Contextual Notes

Participants have noted potential typos and variable confusion, which may affect the evaluation of the integral. The discussion reflects ongoing refinements and corrections without reaching a definitive conclusion.

karush
Gold Member
MHB
Messages
3,240
Reaction score
5
View attachment 9379
ok this is a snip from stewards v8 15.6 ex
hopefully to do all 3 here

$\displaystyle\int_0^1\int_{0}^{1}\int_{0}^{\sqrt{1-x^2}}\dfrac{z}{y+1} \,dxdzdy$
so going from the center out but there is no x in the integrand

$\displaystyle\int_0^{\sqrt{1 - x^2}} \dfrac{z}{y + 1}dx =\dfrac{ \sqrt{1 - x^2} z}{y + 1}$
and

$\displaystyle\int_0^1 \dfrac{ \sqrt{1 - x^2} z}{y + 1} \, dz=\frac{\sqrt{1-x^2}}{2\left(1+y\right)} $

kinda maybe so far?
 

Attachments

  • Capture.PNG
    Capture.PNG
    1.9 KB · Views: 138
Last edited:
Physics news on Phys.org
karush said:
ok this is a snip from stewards v8 15.6 ex
hopefully to all 3 here

$\displaystyle\int_0^1\int_{0}^{1}\int_{0}^{\sqrt{1-x^2}}\dfrac{z}{y+1} \,dxdzdy$
so going from the center out but there is no x in the integrand

$\displaystyle\int_0^{\sqrt{1 - x^2}} \dfrac{z}{y + 1}dx =\dfrac{ \sqrt{1 - x^2} z}{y + 1}$
and

$\displaystyle\int_0^1 \dfrac{ \sqrt{1 - x^2} z}{y + 1} \, dz=\frac{\sqrt{1-x^2}}{2\left(1+y\right)} $

kinda maybe so far?
You've got it! Keep going...

-Dan

Addendum: Actually, no. You've got a typo. That first (inside) integral has an upper limit of [math]\sqrt{1 - z^2}[/math], not [math]\sqrt{1 - x^2}[/math]. But you've got the idea down.
 
$\displaystyle\int_0^1\int_{0}^{1}\int_{0}^{\sqrt{1-z^2}}\dfrac{z}{y+1} \,dxdzdy$
so going from the center out but there is no x in the integrand

$\displaystyle\int_0^{\sqrt{1 -z^2}} \dfrac{z}{y + 1}dx =\dfrac{ \sqrt{1 - z^2} z}{y + 1}$
and

$\displaystyle\int_0^1 \dfrac{ \sqrt{1 - z^2} z}{y + 1} \, dz=\frac{\sqrt{1-x^2}}{2\left(1+y\right)} $wait I think I ? on this z thing...
 
karush said:
$\displaystyle\int_0^1\int_{0}^{1}\int_{0}^{\sqrt{1-z^2}}\dfrac{z}{y+1} \,dxdzdy$
so going from the center out but there is no x in the integrand

$\displaystyle\int_0^{\sqrt{1 -z^2}} \dfrac{z}{y + 1}dx =\dfrac{ \sqrt{1 - z^2} z}{y + 1}$
and

$\displaystyle\int_0^1 \dfrac{ \sqrt{1 - z^2} z}{y + 1} \, dz=\frac{\sqrt{1-x^2}}{2\left(1+y\right)} $wait I think I ? on this z thing...
Take it step by step. You've got this.
[math]\int_0^1 \dfrac{z \sqrt{1 - z^2}}{y + 1} dz = \dfrac{1}{y + 1} \int_0^1 z \sqrt{1 - z^2} ~ dz[/math]

Now do a trig substitution...

-Dan
 

Similar threads

  • · Replies 3 ·
Replies
3
Views
2K
  • · Replies 1 ·
Replies
1
Views
2K
  • · Replies 2 ·
Replies
2
Views
2K
  • · Replies 6 ·
Replies
6
Views
3K
  • · Replies 1 ·
Replies
1
Views
1K
  • · Replies 1 ·
Replies
1
Views
1K
Replies
3
Views
1K
  • · Replies 3 ·
Replies
3
Views
4K
  • · Replies 10 ·
Replies
10
Views
3K
  • · Replies 4 ·
Replies
4
Views
3K