Turning Multiple Fixed Axle Trailers

Click For Summary

Discussion Overview

The discussion centers around the mechanics of towing multiple fixed axle trailers, particularly in the context of turning and maneuverability. Participants explore the implications of trailer design, including axle length, tongue length, and the dynamics of turning in tandem configurations.

Discussion Character

  • Exploratory
  • Technical explanation
  • Conceptual clarification
  • Debate/contested

Main Points Raised

  • The original poster (OP) seeks to understand how the turning radius of trailers works when towed in tandem, particularly after making sharp turns.
  • Some participants suggest that a tongue on the front of each trailer is necessary to prevent collisions between trailers during turns.
  • One participant provides examples from videos to illustrate how the second trailer behaves differently based on its position and the length of the tongue.
  • Another participant discusses the effects of axle placement and tongue length on the turning behavior of the trailers, referencing arrangements that can lead to different cornering dynamics.
  • There is mention of a specific example involving a "barrel train" that demonstrates how closely trailers can follow a towing vehicle when designed appropriately.
  • A reference to academic literature on steering mechanisms for nonholonomic trailer systems is provided, indicating a more technical exploration of the topic.

Areas of Agreement / Disagreement

Participants generally agree on the importance of tongue length and axle placement in determining how trailers will behave during turns. However, there are multiple competing views on the specifics of how these factors interact, and the discussion remains unresolved regarding the optimal design for the OP's needs.

Contextual Notes

Participants note that the behavior of the trailers may vary significantly based on their design, including axle length and the positioning of the hitches. The discussion does not resolve the mathematical or physical principles governing these interactions, leaving some assumptions and conditions unaddressed.

Who May Find This Useful

This discussion may be useful for individuals interested in trailer design, agricultural equipment, or those exploring the mechanics of towing systems in practical applications.

ABCs
I am an apple grower and want to build trailers to haul apples (in bins) through my orchard. I want to couple 5 - 10 foot X 40 inch wide trailers (in tandem) and tow them through the orchard. The rear axel on each trailer is fixed and the trailer connects to the trailer in front of it (on a pintle hook) and uses the wheels / axel of the towing trailer as the support for the following trailer to hold its front up.

I don't understand how may turning radius works. I know my tractor turning factor sets one part of the turning radius, but once my tractor makes, say a sharp "U" turn, what do the trailers behind the tractor do. I am told that each tailer will cut the corner of the trailer in front of it, but that doesn't tell me what happens in real life. I don't know what happens if I shorten the axel to axel length between the trailers (guessing that makes a big difference), guessing axel width and wheel sizing don't play a role ... so just axel length .. maybe ... and then what happens in the turn .. need help.
 
Engineering news on Phys.org
Welcome to the PF.

You need to have a tongue on the front of each trailer to facilitate turns. Otherwise the front corner of one trailer will impact the rear corner of the trailer in front of it. How long of a tongue are you going to use in your design?

Since these fixed-axle trailers will be towed on dirt, I guess we can probably assume the slipping of the tires on the dirt is about equal and opposite in direction during turns?
 
Here some videos to help you see what happens with 2 single-axle «trailers». First, a hay wagon. Look at the first 30 sec of the following video and imagine the tongue/front axle is one trailer and the wagon/rear axle is the second trailer:



You can notice that the 2nd «trailer» cuts more the corner for 2 reasons:
  1. because it is longer;
  2. because it is in 2nd place.
Next, to show an extreme case, here's a maneuver call jackknife tipping. Again, the apparatus can be seen as two single-axle trailers. You can see how tight of a radius can be achieved in certain circumstances:



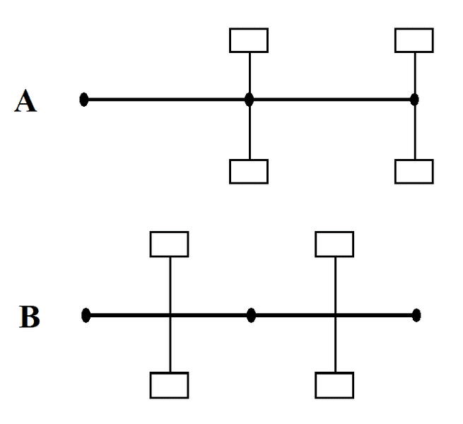
The previous arrangements can be modeled like figure ##A## below:

trailer.png

But note how figure ##B## show an arrangement with 2 trailers of the same length and with the axles having the same spacing as arrangement ##A##, but it will behave differently.

Assuming the tractor makes a sharp turn, the pivot point of the first trailer is the center of its axle, whether in figure ##A## or ##B##.

With figure ##A##, it will be like for the hay wagon example, i.e. the 2nd trailer will cut the corner more than the first trailer. Because when the first trailer pivots, the second hitch doesn't move.

With figure ##B##, as the first trailer pivots about its axle, the second trailer pivots in the opposite direction. So as the first trailer is pulled, the second trailer will actually have to pivot back before following the first trailer. This will reduce the actual «cutting the corner» effect, meaning it will follow more closely the path of the first trailer.

You will most likely have a set up similar to figure ##B## in your case. Where the axle will be with respect to the front/rear hitches will make a difference in the trailer's behavior.
 
  • Like
Likes   Reactions: davidge
What Jack is suggesting is exactly right. In his example B by adjusting the tongue length and the hitch length you can make the trailers follow the tractor very closely. This is often seen at the fair or a campground where little kids get to ride around in trains made of barrels. These follow even around winding paths in a nice line.
Here is a link to a sort video of a barrel train with the axle arrangement that Jack mentioned. I am sure one can search for plans and interpret from there. Notice in the video how close the last cart is to the path of the "tractor" cart.

 
  • Like
Likes   Reactions: berkeman and jack action
I didn't know what to look for, but thanks to @Ketch22 , I discovered «barrel trains». Here is the type of video I was looking for, I think the OP will like it:



Keep the proportions similar (i.e. where the axle is located between the hitches) and you should get similar results.
 

Similar threads

Replies
33
Views
6K
  • · Replies 6 ·
Replies
6
Views
9K
  • · Replies 16 ·
Replies
16
Views
10K
Replies
48
Views
14K
  • · Replies 10 ·
Replies
10
Views
4K
Replies
3
Views
2K
  • · Replies 24 ·
Replies
24
Views
16K
  • · Replies 3 ·
Replies
3
Views
2K
  • · Replies 3 ·
Replies
3
Views
31K
  • · Replies 7 ·
Replies
7
Views
3K