When exactly does error -> zero in calculus-based mechanics?

  • Context: Graduate 
  • Thread starter Thread starter EddiePhys
  • Start date Start date
  • Tags Tags
    Error Mechanics Zero
Click For Summary

Discussion Overview

The discussion revolves around the conditions under which errors in calculus-based mechanics approach zero. Participants explore various examples, including the calculation of volumes and surface areas, the arc length, and work done by a spring, questioning why errors behave differently in these contexts.

Discussion Character

  • Exploratory
  • Technical explanation
  • Debate/contested

Main Points Raised

  • One participant notes that while calculating the volume of a sphere, the error tends to zero as Delta y approaches zero, but the error in calculating surface area using rings does not.
  • Another participant mentions that the arc length ds is related to speed, suggesting that the error tends to zero in this context.
  • Concerns are raised about the assumption of constant spring force during displacement, with a participant questioning the validity of this assumption in relation to the work done by the spring.
  • Participants discuss the need for an infinitesimal shape that approximates the slope of the surface for accurate calculations, using a diagonal line example to illustrate the importance of matching slopes.

Areas of Agreement / Disagreement

There is no consensus on the reasons behind the differing behaviors of errors in the examples provided. Some participants suggest that errors in certain calculations are due to miscalculations or assumptions, while others raise valid points about the nature of infinitesimals and approximations.

Contextual Notes

Participants express uncertainty regarding the assumptions made in their calculations, particularly in relation to the constancy of forces and the appropriateness of the chosen infinitesimal shapes. The discussion highlights the complexity of applying calculus concepts to physical problems.

EddiePhys
Messages
144
Reaction score
6
I've come across many instances where sometimes the error tends to zero but other times it does not. Let me give you a few examples.

1.
When I calculate the volunme of a sphere summing up discs of height dy from -R to +R, the error in volume tends to zero as Delta y->0 but when I'm calculating the surface area using rings of height dy, this error does not tend to zero.
Same with a hollow cone vs a solid cone.

2.
Uhjcs.jpg

ds is the arc length. We know ds/dt = speed = |dr/dt| since the error tends to zero.

However, in another case, particularly from Irodov's problems:
IMG_20170214_114623_01.jpg

IMG_20170214_114917_01_01.jpg


3.
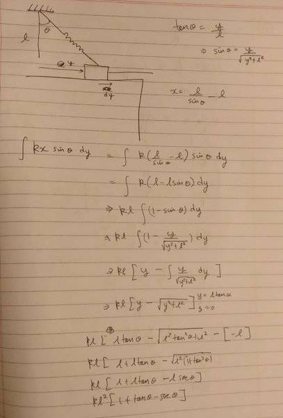
I'm trying to find the work done by the spring as the block moves from one end to the other(Yes' I'm aware there are easier ways of going about it)
IMG_20170212_221103.jpg


Here, where I think I'm going wrong is assuming the spring force to be constant in the interval dy when it can only remain constant during an infinitesimal displacement along the spring.

However, here we assume pressure to be constant in the interval Rdtheta when it really only is constant in the interval dH since it's a function of h
IMG_20170214_120429_01.jpg


And here, we assume the potential energy of the chain to be constant in the interval Rdtheta when it should be only constant in dh yet in these two cases the error tends to zero but it doesn't in the first case.
IMG_20170214_120623.jpg
 
Last edited:
Physics news on Phys.org
A lot of questions. Post as separate threads. For now: number 1 looks like an error in the calculation. Can you show post it ?
 
This doesn't seem to be getting any replies. Have I posted in the wrong subsection?
 
EddiePhys said:
This doesn't seem to be getting any replies. Have I posted in the wrong subsection?
Well, as I see it, it may be better placed in the homework section and one question per thread. (And don't forget to use the template.) I understand that the photos are helpful for your drawings, but usually people don't appreciate handwriting very much. So maybe you could type it in LaTeX instead, and use photos only if really needed.
 
Last edited:
  • Like
Likes   Reactions: BvU
For calculating surface area, or similarly the arc length, you need to find an infinitesimal shape that approximates the slope of the surface, not just the position.
Consider a simple diagonal line from (0,1) to (1,0). It has length ##\sqrt(2)##. If you approximate it as a staircase, and take the stair height ->0, then you get something that looks like the diagonal line. It matches the position of the diagonal line, so it gives you the correct area under the curve. But it gives you an arc length of 2. It is because you have not matched the slope anywhere. The approximate curve has a slope of 0 and infinity alternating infinitely often, whereas the original curve has a slope of -1.
 
  • Like
Likes   Reactions: EddiePhys
EddiePhys said:
This doesn't seem to be getting any replies. Have I posted in the wrong subsection?
Strange. On my screen I do see a reply. It's called post #2 and it asks you to elaborate on your statement:
EddiePhys said:
when I'm calculating the surface area using rings of height dy, this error does not tend to zero
where I suspect it will be rather easy to point out your mistake
 
  • Like
Likes   Reactions: fresh_42
Khashishi said:
For calculating surface area, or similarly the arc length, you need to find an infinitesimal shape that approximates the slope of the surface, not just the position.
Consider a simple diagonal line from (0,1) to (1,0). It has length ##\sqrt(2)##. If you approximate it as a staircase, and take the stair height ->0, then you get something that looks like the diagonal line. It matches the position of the diagonal line, so it gives you the correct area under the curve. But it gives you an arc length of 2. It is because you have not matched the slope anywhere. The approximate curve has a slope of 0 and infinity alternating infinitely often, whereas the original curve has a slope of -1.

Thanks a lot! :D Could you also please answer the other questions?
 

Similar threads

  • · Replies 3 ·
Replies
3
Views
2K
  • · Replies 14 ·
Replies
14
Views
3K
  • · Replies 2 ·
Replies
2
Views
1K
  • · Replies 65 ·
3
Replies
65
Views
9K
  • · Replies 22 ·
Replies
22
Views
2K
  • · Replies 5 ·
Replies
5
Views
2K
  • · Replies 3 ·
Replies
3
Views
2K
  • · Replies 11 ·
Replies
11
Views
3K
  • · Replies 1 ·
Replies
1
Views
1K
  • · Replies 9 ·
Replies
9
Views
3K