Why high Q factors have low phase noise

Click For Summary

Discussion Overview

The discussion centers around the relationship between high Q factors and low phase noise in oscillators, exploring the physical insights and implications of this relationship. Participants delve into theoretical and practical aspects, including the behavior of resonant circuits and mechanical analogies, while also addressing the underlying noise mechanisms involved.

Discussion Character

  • Exploratory
  • Technical explanation
  • Conceptual clarification
  • Debate/contested
  • Mathematical reasoning

Main Points Raised

  • Some participants define the Q factor as the ratio of energy stored to energy dissipated per cycle and seek to understand its implications for phase noise in oscillators.
  • Others argue that low Q resonators exhibit high damping, which is intuitively linked to increased phase noise, using the analogy of a pendulum in an oil bath to illustrate this point.
  • A participant explains that thermal noise in resistive elements contributes to phase noise, with the noise power depending on the bandwidth of the circuit, which is inversely related to Q.
  • Another participant discusses the role of the energy sustaining circuit in an LC oscillator, noting that higher Q allows for lighter sustaining power input, which may reduce noise sensitivity.
  • One participant highlights the mechanical analogy of a pendulum clock, emphasizing how energy transfer from the escapement affects the clock's timing and noise characteristics.
  • Some participants inquire about the relationship between sustaining energy and frequency sensitivity, suggesting that lossless systems may be less sensitive to variations in energy input.
  • Others mention the "Leeson effect" and recommend resources for further reading on the topic.
  • A participant raises questions about the optimal timing for energy transfer in mechanical clocks, referencing isochronous behavior of pendulums.

Areas of Agreement / Disagreement

Participants express a range of views on the mechanisms linking Q factors to phase noise, with some agreeing on the general principles while others present competing models and analogies. The discussion remains unresolved regarding the specifics of these relationships and the implications for different systems.

Contextual Notes

Participants note that the discussion involves complex interactions between various factors, including damping, energy transfer, and noise mechanisms, which may depend on specific definitions and assumptions about the systems being analyzed.

Who May Find This Useful

This discussion may be of interest to those studying oscillators, resonant circuits, and noise in electronic systems, as well as individuals interested in mechanical clock mechanisms and their analogies to electronic systems.

iVenky
Messages
212
Reaction score
12
If we define Q factor as 2*pi* energy stored/ energy dissipated per cycle, what's the physical insight behind obtaining low phase noise for oscillators when we have high Q factors? (I know the mathematical derivation based on finding the frequency profile of an oscillator (like LC oscillator) but I don't understand the insight behind it based on the above definition for Q factor)
 
Physics news on Phys.org
If you have a low Q resonator, it has a high damping (this is clear from the definition). Now, it appears that the damping is related to the phase noise. To feel that intuitively, imagine a pendulum immersed inside an oil bath. It has high damping. Now, let it oscillate. There are 2 cases: either the oil is so dense that the pendulum will stop whenever it reaches the vertical (over-damped oscillator, including here the case of critically damped oscillator), or it will still oscillate, but less and less fast (underdamped oscillator). So, the phase noise is high.
 
Last edited:
iVenky said:
physical insight behind obtaining low phase noise for oscillators when we have high Q factors?
A free oscillating and decaying (R)LC circuit will have noise that's generated in the resistive element. For a resistor, the thermal noise power Pn = kTB. That suggests if you measure the Thermal noise power, then it will depend on the bandwidth (1/Q) of the circuit. That sort of justifies the above statement.

But Phase noise (and amplitude noise) will also originate in the Energy Sustaining circuit that drives an LC oscillator. The loop gain of such a circuit must be just right to compensate for the energy loss per cycle of the LC oscillation. The noise power admitted into the LC resonator from outside will also be proportional to the resonator bandwidth and that effect goes in the same direction as the first argument. The higher the natural Q, the lighter the sustaining power input needs to be so the looser the coupling.

A mechanical equivalent to this is a pendulum clock. Every swing of the pendulum allows the escapement to move by one click and energy is supplied by the escapement (a slight slope on the physical contact gives the pendulum a slight push to maintain its amplitude of swing). If the pendulum bearings are poor then more sustaining energy is required and variations in the power supply (gear train from dropping weight to escape fork) will affect the frequency and hence the clock timing. I remember an old boy pointing out to me that the tick on an expensive watch movement is much quieter than the tick from a cheapo Timex child's watch because the child's watch has more losses in the mechanism. (Other cheapo watches were available at the time and Timex was good value for a high risk instrument)
 
  • Like
Likes   Reactions: iVenky
iVenky said:
If we define Q factor as 2*pi* energy stored/ energy dissipated per cycle, what's the physical insight behind obtaining low phase noise for oscillators when we have high Q factors? (I know the mathematical derivation based on finding the frequency profile of an oscillator (like LC oscillator) but I don't understand the insight behind it based on the above definition for Q factor)
An oscillator consists of an amplifier and a phase shifting device, which can be a resonant circuit. The oscillator runs at the frequency where the phase shift around the loop is exactly 360 degrees. The job of the resonant circuit is to alter its phase shift if the frequency tries to change. A high Q circuit produces a large phase shift if the frequency changes, wheras a low Q circuit produces a small phase shift if the frequency changes. If the amplifier suddenly creates a small phase error, the high Q circuit will shift a small amount in frequency to bring the total phase shift back to 360 degrees, whereas the low Q circuit will shift further in frequency to achieve the same thing.
 
  • Like
Likes   Reactions: DaveE
sophiecentaur said:
A free oscillating and decaying (R)LC circuit will have noise that's generated in the resistive element. For a resistor, the thermal noise power Pn = kTB. That suggests if you measure the Thermal noise power, then it will depend on the bandwidth (1/Q) of the circuit. That sort of justifies the above statement.

But Phase noise (and amplitude noise) will also originate in the Energy Sustaining circuit that drives an LC oscillator. The loop gain of such a circuit must be just right to compensate for the energy loss per cycle of the LC oscillation. The noise power admitted into the LC resonator from outside will also be proportional to the resonator bandwidth and that effect goes in the same direction as the first argument. The higher the natural Q, the lighter the sustaining power input needs to be so the looser the coupling.

A mechanical equivalent to this is a pendulum clock. Every swing of the pendulum allows the escapement to move by one click and energy is supplied by the escapement (a slight slope on the physical contact gives the pendulum a slight push to maintain its amplitude of swing). If the pendulum bearings are poor then more sustaining energy is required and variations in the power supply (gear train from dropping weight to escape fork) will affect the frequency and hence the clock timing. I remember an old boy pointing out to me that the tick on an expensive watch movement is much quieter than the tick from a cheapo Timex child's watch because the child's watch has more losses in the mechanism. (Other cheapo watches were available at the time and Timex was good value for a high risk instrument)

This was the answer I was looking for. Thanks. While I am new to mechanical clocks, I have the following questions. I agree that higher the natural Q, lighter the sustaining power needed. But how is this related to sensitivity of frequency to variations (like noise). Are you mentioning that if the pendulum is lossless to begin with, then it doesn't require sustaining energy and hence not sensitive to variations in the sustaining energy. On the other hand, if the pendulum is lossy, then it needs more sustaining energy and hence sensitive to variations in the source of sustaining energy? That watch example was interesting. What are the sources of sounds in these cheap watches?

As for the mechanical clocks, the understanding that I got after reading few stuff online is that the pendulum is the source of oscillation for a clock and is lossy, escapement transfers energy from power source (like a weight or spring) to a pendulum to keep it going without dying. Am I right? Is there an optimum position that you want to transfer this impulsive energy from the power source to pendulum through escapement? [Actually, found the answer online, looks like the period of pendulum is isochronous around theta=0 and that's the optimum position to provide the restoring energy (exploited in ISF for oscillators)]
 
Last edited:
Have a look at the free papers on this page

http://rubiola.org/

Especially anything related to the "Leeson effect" (which is what you are asking about). Rubiola is one of the leading experts in this field and has also written an excellent book.
 
iVenky said:
Is there an optimum position that you want to transfer this impulsive energy from the power source to pendulum through escapement?
The escapement is shaped to give a kick to the pendulum at the optimum times and duration to control the amplitude of the swing. This wiki article has some great animations of well known escapement mechanisms. It's a bit of a shame that all that stuff is dying out. I have a 'school clock' which is around 100 years old and it has been ticking solidly and accurately for the 40 years we have owned it. The only time it stopped was when I forgot to cover it against the dust in a bit of fireplace demolition I did. That was at least 30 years ago and all I did was to clean it with a fine paint brush and gave it a squirt of WD40. I feel guilty about that abuse but it has only now started to be a bit intermittent. I may dismantle it a bit and give it some love. Good clock repairers are hard to come by.
 
In general, high-Q circuits/networks are associated with low bandwidth. So any input noise would tend to be more attenuated in a high-Q network. For example, broad-spectrum white noise would be limited in bandwidth to that of the network bandwidth.
 
  • #10
rude man said:
In general, high-Q circuits/networks are associated with low bandwidth. So any input noise would tend to be more attenuated in a high-Q network. For example, broad-spectrum white noise would be limited in bandwidth to that of the network bandwidth.
I seem to remember that the phase noise on the Local Oscillator would add to every component of the if signal. There seems to be a double whammy as far as this phase noise is concerned. A high Q L.O. oscillator will have less phase noise for the fundamental reason of the Q and also the sustaining amplifier would be lower power so its noise performance could be better. I don't think I have done double accounting here, have I?
This must be an important consideration in sensitive receiver design.
 
  • #11
sophiecentaur said:
... the sustaining amplifier would be lower power so its noise performance could be better. I don't think I have done double accounting here, have I?
This must be an important consideration in sensitive receiver design.
Don't see why the amplifier would be lower power with high Q.
But phase noise is definitely reduced for the simple reason that high Q implies sharp gain rolloff off the peak frequency so only a narrow band of frequencies is available for frequency jitter. And that is what phase noise is - varying frequencies. Outside this narrow band the amplifier gain would be too low to sustain oscillations.
I'm sure that a superhet receiver wants as high a Q as possible for the local oscillator. Then all noise is due to previous stages including the antenna circuit.
 
  • #12
rude man said:
Don't see why the amplifier would be lower power with high Q.
Minimal energy to support the oscillation. That would be the baseline for noise added by the LO stage. Noise figure of the front end amplifier of the LO circuit would The noise is proportional to the bandwidth (all things being equal) - of course but the oscillator circuit can be lower power. Take an extreme case with a very low Q oscillator. The sustaining amplifier would need to be producing high power per Hz of bandwidth to keep it going.
Taking the chronograph as an example; the spring lasts far longer between windings compared with the nicely mouse watch so less total Power is needed.
Double negative here but I'm not convinced it doesn't make a difference.
 
  • Like
Likes   Reactions: tech99
  • #13
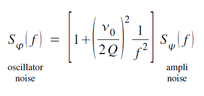
Again. you are all mostly talking about the Leeson effect which is quite subtle; I can almost guarantee that none of you will be able to figure it out if you haven't
heard of it before.

The relationship between the oscillator noise and the amplifier noise (assuming the amplfier is the only noisy component in the circuit) is

upload_2019-1-31_16-34-28.png

(sorry was too lazy to do this in Latex)

Note the effect of the Q . The shape of the spectra will depend on the frequency (essentially whether the phase fluctuations are fast or slow) and the quality factor of the resonator (v0/2Q, also known as the Leeson frequency).

People get this wrong all the time; I know of multiple peer-reviewed papers where they've failed to take the Leeson effect into account and have ended up with incorrect results.
 

Attachments

  • upload_2019-1-31_16-29-53.png
    upload_2019-1-31_16-29-53.png
    4.5 KB · Views: 428
  • upload_2019-1-31_16-34-28.png
    upload_2019-1-31_16-34-28.png
    4.5 KB · Views: 801
  • Like
Likes   Reactions: sophiecentaur
  • #14
sophiecentaur said:
A free oscillating and decaying (R)LC circuit will have noise that's generated in the resistive element. For a resistor, the thermal noise power Pn = kTB. That suggests if you measure the Thermal noise power, then it will depend on the bandwidth (1/Q) of the circuit. That sort of justifies the above statement.

But Phase noise (and amplitude noise) will also originate in the Energy Sustaining circuit that drives an LC oscillator. The loop gain of such a circuit must be just right to compensate for the energy loss per cycle of the LC oscillation. The noise power admitted into the LC resonator from outside will also be proportional to the resonator bandwidth and that effect goes in the same direction as the first argument. The higher the natural Q, the lighter the sustaining power input needs to be so the looser the coupling.

A mechanical equivalent to this is a pendulum clock. Every swing of the pendulum allows the escapement to move by one click and energy is supplied by the escapement (a slight slope on the physical contact gives the pendulum a slight push to maintain its amplitude of swing). If the pendulum bearings are poor then more sustaining energy is required and variations in the power supply (gear train from dropping weight to escape fork) will affect the frequency and hence the clock timing. I remember an old boy pointing out to me that the tick on an expensive watch movement is much quieter than the tick from a cheapo Timex child's watch because the child's watch has more losses in the mechanism. (Other cheapo watches were available at the time and Timex was good value for a high risk instrument)
This post is 100% effective. Helped me big time. Thanks LEGEND
 
  • Like
Likes   Reactions: sophiecentaur

Similar threads

  • · Replies 6 ·
Replies
6
Views
2K
  • · Replies 36 ·
2
Replies
36
Views
5K
Replies
9
Views
3K
  • · Replies 12 ·
Replies
12
Views
5K
  • · Replies 0 ·
Replies
0
Views
3K
  • · Replies 4 ·
Replies
4
Views
5K
  • · Replies 3 ·
Replies
3
Views
5K
  • · Replies 0 ·
Replies
0
Views
429
  • · Replies 0 ·
Replies
0
Views
5K
Replies
8
Views
4K