Adiabatic Reversible Compression of a Solid

Click For Summary

Homework Help Overview

The discussion revolves around deriving an expression for the temperature change of a solid material undergoing adiabatic and reversible compression. The original poster presents a specific scenario involving iron, where the pressure is increased significantly, and relevant physical quantities are provided.

Discussion Character

  • Exploratory, Mathematical reasoning, Assumption checking

Approaches and Questions Raised

  • Participants explore various equations related to thermodynamics, including the equation for entropy change and the ideal gas law, questioning their applicability to solids. There is an attempt to derive relationships involving temperature, pressure, and volume changes.

Discussion Status

The conversation includes multiple attempts to derive equations and integrate them, with some participants expressing uncertainty about their approaches. There is a recognition of the complexity involved in integrating the derived equations, and some participants suggest approximations to simplify the problem.

Contextual Notes

Participants note the challenge of integrating equations that involve both temperature and pressure as variables, and there is discussion about the assumptions made regarding the small changes in temperature and pressure during the process.

Dave Mata
Messages
7
Reaction score
0

Homework Statement


Derive an expression for the change of temperature of a solid material that is compressed adiabatically and reversible in terms of physical quantities.

(The second part of this problem is: The pressure on a block of iron is increased by 1000 atm adiabatically and reversible. What is the temperature change? The initial temperature of the iron is 298K. You are also given α,β, and cp for Iron.)

Homework Equations


$$ dS=\frac{c_P}{T} dT - Vα dP$$

The Attempt at a Solution


My initial thought was to use some combination of $$PV=nRT$$ or $$dU=c_V dT$$ but those only apply to ideal gases, and it is given that this is a solid.

I then decided to do a Legendre transform of the equation for dS, so I could get S(T,V). The logic here was that I know ΔS=0 since this is reversible, and so I could get an equation with dT (which I am trying to solve for) and dV (since this is compression, which is a volumetric change). The transform gave me
$$dS=(\frac{c_P}{T} - \frac{Vα^2}{β}) dT + \frac{α}{β} dV$$

From here, after I set dS=0, I solved for dT.
$$dT=\frac{-αT}{c_P β+Vα^2 T} dV$$
This is not a separable differential equation and I don't see a way to really solve it.

I'm pretty confident that the math is all correct, but I'm not sure if my approach is.
 
Physics news on Phys.org
What is the equation of state of a solid in terms of ##\alpha## and ##\beta##?
 
  • Like
Likes   Reactions: Dave Mata and Bystander
Here is my best guess:
$$dV=Vα dT-Vβ dP$$
If that is what you meant, I see that I can solve for dT and integrate. If I do, I get:
$$ΔT=\frac{1}{α} ln(\frac{V_2}{V_1})+\frac{β}{α} ΔP$$
However, this doesn't seem to be the answer that I'm supposed to get, since the second part of the problem only gives me ΔP (in addition to the known α,β for Iron), leaving me with the Volumes still in the equation. So I feel like I'm off base with my guess, especially since I feel like I'm supposed to use dS=0 somewhere.
 
Dave Mata said:
Here is my best guess:
$$dV=Vα dT-Vβ dP$$
If that is what you meant, I see that I can solve for dT and integrate. If I do, I get:
$$ΔT=\frac{1}{α} ln(\frac{V_2}{V_1})+\frac{β}{α} ΔP$$
However, this doesn't seem to be the answer that I'm supposed to get, since the second part of the problem only gives me ΔP (in addition to the known α,β for Iron), leaving me with the Volumes still in the equation. So I feel like I'm off base with my guess, especially since I feel like I'm supposed to use dS=0 somewhere.
From your equation of state, we have:
$$V=V_0e^{[\alpha (T-T_0)-\beta (P-P_0)]}$$where ##V_0## is the specific volume at the initial temperature and pressure ##T_0## and ##P_0##.
What do you get if you substitute this into your equation for dS, and set dS equal to zero?
 
  • Like
Likes   Reactions: Dave Mata
After plugging in and integrating (and some algebraic simplification) I get the following
$$c_P*ln(\frac{T_2}{T_1}) +V_0 \frac{α}{β} (exp(αΔT-βΔP) (1-αΔT)-1)$$

Now all the quantities in my equation are known (Cp, T1, α, β, ΔP), and I am solving for T2. When you say specific volume, I'm assuming you mean molar volume (V0= m^3/mol) so that the units would line up to be J/molK across.

How would I solve explicitly for T2? I can't seem to do it manually, since there are T2 trapped in ln(), exp(), as well as present in polynomial form. After plugging in all the constants, Mathematica doesn't give a solution either.
 
Dave Mata said:
After plugging in and integrating (and some algebraic simplification) I get the following
$$c_P*ln(\frac{T_2}{T_1}) +V_0 \frac{α}{β} (exp(αΔT-βΔP) (1-αΔT)-1)$$

Now all the quantities in my equation are known (Cp, T1, α, β, ΔP), and I am solving for T2. When you say specific volume, I'm assuming you mean molar volume (V0= m^3/mol) so that the units would line up to be J/molK across.

How would I solve explicitly for T2? I can't seem to do it manually, since there are T2 trapped in ln(), exp(), as well as present in polynomial form. After plugging in all the constants, Mathematica doesn't give a solution either.
I don't think you integrated correctly. I get the variable-separated equation: $$C_pe^{-\alpha (T-T_0)}\frac{dT}{T}=\alpha V_0e^{-\beta(P-P_0)}dP$$
From this point on we can make things much simpler if we can linearize with respect to the temperature change. We can do this because we expect the temperature change to be tiny. In my judgment, we can also linearize with respect to the pressure change, but this isn't as necessary. I'm going to linearize the left hand side of the equation with respect to the temperature change and am going to ask you to confirm my result:$$C_pe^{-\alpha (T-T_0)}\frac{dT}{T}\approx\frac{C_p}{T_0}\left[1-\frac{(1+\alpha T_0)}{T_0}(T-T_0)\right]d(T-T_0)$$
 
I hope you realize that, to an excellent approximation, since the change in pressure is much smaller than the bulk modulus of iron, the change in specific volume and temperature are going to be very small. Under these circumstances, we do not even need to use the equation of state, and can simply write $$\Delta T=\frac{\alpha V_0T_0}{C_p}\Delta P$$
 
If we can go back to the integration, I'm not sure how to get to your answer. The equation I'm integrating is
$$dS=(\frac{C_P}{T}-\frac{Vα^2}{β})dT+\frac{α}{β} dV$$

I plug in the equation
$$V=V_0 exp(α ΔT-β ΔP)$$

And set dS=0
$$0=(\frac{C_P}{T}-\frac{(V_0 exp(α ΔT-β ΔP))α^2}{β})dT+\frac{α}{β} dV$$

I don't see how this is separable, as there is a binomial term attached to the dT.
 
Dave Mata said:
If we can go back to the integration, I'm not sure how to get to your answer. The equation I'm integrating is
$$dS=(\frac{C_P}{T}-\frac{Vα^2}{β})dT+\frac{α}{β} dV$$
You need to have dV out of there. The final equation that gets integrated should only involve dT and dP.
I plug in the equation
$$V=V_0 exp(α ΔT-β ΔP)$$

And set dS=0
$$0=(\frac{C_P}{T}-\frac{(V_0 exp(α ΔT-β ΔP))α^2}{β})dT+\frac{α}{β} dV$$

I don't see how this is separable, as there is a binomial term attached to the dT.
V is varying with T and P, so you can't just have the final ##\Delta T## and ##\Delta P## in there and not treat them as variables that are not part of the integration.

I will show you more of the details in my next post.
 
  • #10
The two key equations are: $$ \frac{C_P}{T} dT =Vα dP\tag{1}$$and $$V=V_0e^{[\alpha (T-T_0)-\beta (P-P_0)]}\tag{2}$$Eliminating V between these equations yields:
$$ \frac{C_P}{T} dT =V_0e^{[\alpha (T-T_0)-\beta (P-P_0)]}α dP\tag{3}$$Notice that the temperature and pressure appear in the exponent on the right hand side and must be considered variables as far as the integration is concerned. If we multiply both sides of this equation by ##e^{-\alpha (T-T_0)}##, we obtain:$$ \frac{C_P}{T}e^{-\alpha (T-T_0)} dT =V_0e^{-\beta (P-P_0)}α dP\tag{4}$$Notice that the left hand side of the equation involves only T, and the right hand side of the equation involves only P. Notice also that the T and P in the exponents must be treated as part of the integration, and not just taken as their final values. Do you know how to integrate the right hand side of Eqn. 4?
 
  • #11
Also, please see my post #7. If you use this approximation, what do you calculate for the temperature rise? I get 0.3 degrees C.
 
Last edited:
  • #12
Using your approximation, I get ΔT=0.134 C.

Thanks for the explanation. I guess I had been making it more complicated by doing a transform of dS when I didn't need to. For the integration of (4), it is the LHS I'm having trouble with. I split the exponential so I was left with
$$(C_P e^{α T_0}) \frac{1}{T} e^{-αT} dT = (V_0 e^{β P_0} α) e^{-βP} dP$$
The quantities in parentheses are constants. The RHS is a simple exponential exp(-cx) function to my understanding. The LHS is a 1/x * exp(-cx) function, which I do not know how to integrate. Mathematica says that this results in something called an exponential integral, which I have not worked with before.

Should I be working with this exponential integral for this problem, or am I going down the wrong track? Thanks very much.
 
  • #13
Dave Mata said:
Using your approximation, I get ΔT=0.134 C.
So you can see that the temperature change is going to be pretty small. I'd like to get an idea of why our results for this differ by comparing the parameter values we used. Here is what I used:

##\alpha = 35.5\times 10^{-6}## 1/C

##C_p=0.45\ \frac{J}{gm.C}##

##V_0=1/\rho##

##\rho=7870\ kg/m^3##

##(P-P_0)=1.0\times 10^8\ Pa##

Thanks for the explanation. I guess I had been making it more complicated by doing a transform of dS when I didn't need to. For the integration of (4), it is the LHS I'm having trouble with. I split the exponential so I was left with
$$(C_P e^{α T_0}) \frac{1}{T} e^{-αT} dT = (V_0 e^{β P_0} α) e^{-βP} dP$$
The quantities in parentheses are constants. The RHS is a simple exponential exp(-cx) function to my understanding. The LHS is a 1/x * exp(-cx) function, which I do not know how to integrate. Mathematica says that this results in something called an exponential integral, which I have not worked with before.

Should I be working with this exponential integral for this problem, or am I going down the wrong track? Thanks very much.
This is why I introduced the approximation in post #6...so that, with negligible loss of accuracy, we could avoid working with the exponential integral function. I wanted to find the result for the temperature change too the next order of approximation. The linearized approximations I used in post #6 were as follows:
$$e^{-\alpha (T-T_0)}\approx 1-\alpha (T-T_0)$$and$$\frac{1}{T}=\frac{1}{T_0+(T-T_0)}=\frac{1}{T_0\left[1+\frac{(T-T_0)}{T_0}\right]}\approx \frac{1}{T_0}\left[1-\frac{(T-T_0)}{T_0}\right]\approx \frac{1}{T_0}-\frac{(T-T_0)}{T_0^2}$$See if you can derive the last equation in post #6 using these linearizations. That left hand side of the equation can easily be integrated.
 
  • Like
Likes   Reactions: Dave Mata
  • #14
Chestermiller said:
I'd like to get an idea of why our results for this differ by comparing the parameter values we used.

The values that were given as a part of the problem (I did not include these in the original post of this thread as I was struggling more with the appropriate derivation) were
$$c_P = 24 \frac{J}{mol K},
β=6*10^-7 atm^-1,
α=15*10^-6 K^-1 $$

Regarding your equation to approximate 1/T, is it necessary to make this approximation? Linearizing the exponential term as you did would give the following for the LHS
$$(C_P e^{α T_0}) \frac{1-α(T-T_0)}{T} dT $$

After some simplification, can't this be evaluated as a 1/x type integral?

Also, am I correct in saying that the RHS can be evaluated as a e^-x type integral?
 
  • #15
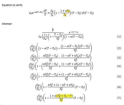
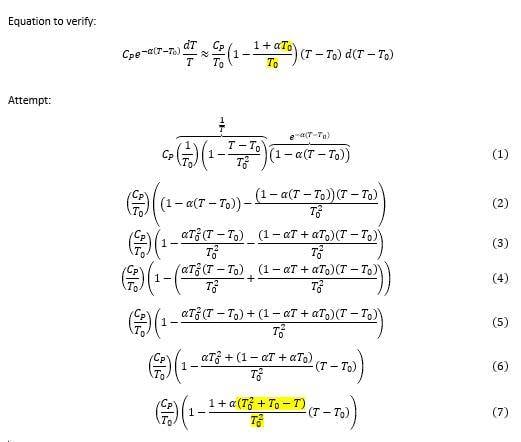
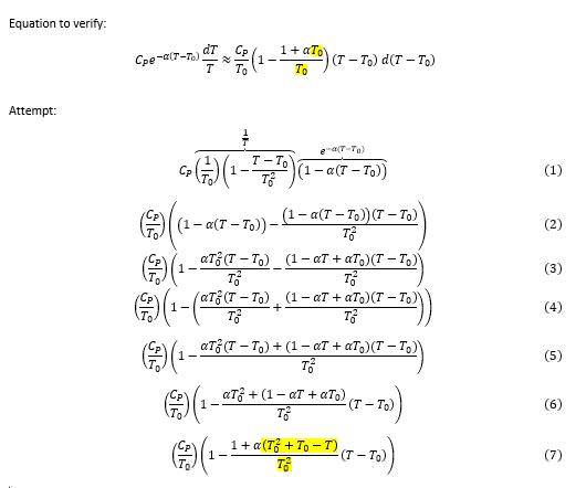
I tried to verify your equation but was unsuccessful. Here is my process:
eBRVphK.jpg
 

Attachments

  • eBRVphK.jpg
    eBRVphK.jpg
    24.2 KB · Views: 964
  • #16
Dave Mata said:
The values that were given as a part of the problem (I did not include these in the original post of this thread as I was struggling more with the appropriate derivation) were
$$c_P = 24 \frac{J}{mol K},
β=6*10^-7 atm^-1,
α=15*10^-6 K^-1 $$

Regarding your equation to approximate 1/T, is it necessary to make this approximation? Linearizing the exponential term as you did would give the following for the LHS
$$(C_P e^{α T_0}) \frac{1-α(T-T_0)}{T} dT $$

After some simplification, can't this be evaluated as a 1/x type integral?

Also, am I correct in saying that the RHS can be evaluated as a e^-x type integral?
We differ in the volumetric thermal expansion coefficient of iron. Google it and see what you think.
 
  • Like
Likes   Reactions: Yellowkies_3275
  • #17
Dave Mata said:
I tried to verify your equation but was unsuccessful. Here is my process:
View attachment 232345
Here's what I get when I make the substitutions shown in post #10:
$$C_pe^{-\alpha (T-T_0)}\frac{dT}{T}\approx C_p[1-\alpha (T-T_0)]\left[\frac{1}{T_0}-\frac{(T-T_0)}{T_0^2}\right]d(T-T_0)$$If I retain only linear terms in ##(T-T_0)## in the integrand, I obtain:$$C_pe^{-\alpha (T-T_0)}\frac{dT}{T}\approx \frac{C_p}{T_0}\left[1-\alpha (T-T_0)-\frac{(T-T_0)}{T_0}\right]d(T-T_0)$$If I combine the two coefficients of ##T-T_0## in the brackets, I obtain:
$$C_pe^{-\alpha (T-T_0)}\frac{dT}{T}\approx \frac{C_p}{T_0}\left[1-\left(\alpha +\frac{1}{T_0}\right)(T-T_0)\right]d(T-T_0)$$
 

Similar threads

Replies
4
Views
3K
Replies
2
Views
2K
Replies
3
Views
6K
  • · Replies 5 ·
Replies
5
Views
2K
  • · Replies 8 ·
Replies
8
Views
2K
  • · Replies 9 ·
Replies
9
Views
3K
  • · Replies 1 ·
Replies
1
Views
1K
  • · Replies 6 ·
Replies
6
Views
3K
Replies
1
Views
3K
  • · Replies 8 ·
Replies
8
Views
2K