Algebraic Manipulation within Integration by Parts problem

Click For Summary

Homework Help Overview

The discussion revolves around an integration by parts problem involving the integral of a rational function, specifically the expression ∫(x³/(1+x²))dx. Participants are exploring algebraic manipulation techniques to simplify the integral.

Discussion Character

  • Exploratory, Mathematical reasoning, Problem interpretation

Approaches and Questions Raised

  • Participants discuss polynomial long division as a method to simplify the integral. Some express concerns about their familiarity with long division, questioning how to set it up correctly. Others suggest alternative algebraic manipulations, such as rewriting the numerator.

Discussion Status

The conversation includes various attempts to clarify the long division process, with some participants providing step-by-step guidance. There is an acknowledgment of different approaches, including substitution, but no consensus on the preferred method has been reached.

Contextual Notes

Some participants mention their educational background and challenges with polynomial long division, which may affect their confidence in applying these techniques. There is also a note of differing levels of familiarity with algebraic concepts among participants.

Lebombo
Messages
144
Reaction score
0

Homework Statement



I'm doing an integration by parts problem. After setting up [∫udv = uv - ∫vdu], I come across this situation. How is this algebraic manipulation accomplished?

From: [itex]\int\frac{x^{3}}{1+x^{2}}dx[/itex]

To: [itex]\int x - \frac{x}{1+x^{2}}dx[/itex]
 
Physics news on Phys.org
By polynomial long division, for example.
Alternatively, write x^3=x*(x^2+1-1), and see how that might help you.
 
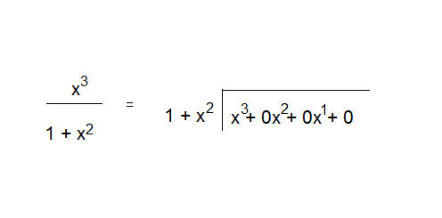
I dread polynomial long division because I never had the opportunity to learn it in school. Skipped most of college algebra due to military and never took precalc, which has created a lot of struggling spots in Calculus How do I even set this up for long division? I gave it a try in the attached picture. Is this how it should be set up? Or should I rewrite the numerator portion from [1+x^2] to [x^2 + x^1 + 1] as done with the denominator?

polynomiallongdivision_zps96bbb1fc.png
 
Last edited:
Strangely, it is exactly the same as elementary school long division.

Set your divisor up as ##x^2 + 1## instead of ## 1 + x^2##. Then divide ##x^2 \text{ into }x^3## getting a (partial) quotient of x. Place that on top of your division sign just as you did in 5th grade long division.

Continue with your 5th grade long division by multiplying your x by ##x^2 + 1## and placing the product below the ##x^2 + 1##. Now subtract as you would in an ordinary problem. In this case what you have is a remainder, of -x so you put that over the divisor ##x^2 + 1##.

While you do at this point have two integrals that are easy to compute, the step was not necessary. You could have done the original by substitution: u = ##x^2##. Try it.
 
What you have started is fine. If you learned how to do long division with numbers, division with polynomials is quite similar.

Step 1: what factor must you multiply (1+x^2) by to obtain an expression with x^3 in it?

Step 2: write the factor from step 1 on top over the x^3

Step 3: multiply the factor from Step 1 by (1 + x^2) and write the result below the polynomial inside the bracket. Write like powers underneath like powers.

Step 4: Subtract the product from the original polynomial being divided.

Step 5: If the result of the subtraction is a polynomial of smaller degree than(1+x^2), you can stop. Otherwise, repeat steps 1-4 above.

The quotient will be the entire expression on top of the brackets, and the remainder will be the expression of smaller degree than the divisor which is at the bottom of all of the subtractions.

Enjoy!
 

Similar threads

  • · Replies 6 ·
Replies
6
Views
2K
  • · Replies 105 ·
4
Replies
105
Views
11K
  • · Replies 3 ·
Replies
3
Views
2K
Replies
3
Views
2K
  • · Replies 22 ·
Replies
22
Views
3K
  • · Replies 19 ·
Replies
19
Views
3K
  • · Replies 4 ·
Replies
4
Views
2K
  • · Replies 5 ·
Replies
5
Views
3K
  • · Replies 13 ·
Replies
13
Views
3K
  • · Replies 13 ·
Replies
13
Views
2K