Cartersian double integral converted to polar and then evaluated #2

Click For Summary
SUMMARY

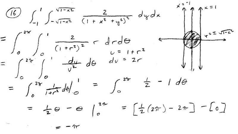
The discussion focuses on converting a Cartesian double integral to polar coordinates and evaluating it. The integral was initially evaluated incorrectly, resulting in a negative area value of -π, which is not valid for area calculations. A participant identified a sign error in the fourth line of the evaluation process, indicating the need for careful attention to detail when performing such conversions. The correct evaluation should yield a positive area value.

PREREQUISITES
  • Understanding of Cartesian and polar coordinate systems
  • Familiarity with double integrals in calculus
  • Knowledge of integral evaluation techniques
  • Ability to identify and correct algebraic errors
NEXT STEPS
  • Review the process of converting Cartesian coordinates to polar coordinates
  • Study the evaluation of double integrals in polar form
  • Learn about common errors in integral calculations and how to avoid them
  • Practice problems involving area calculations using double integrals
USEFUL FOR

Students studying calculus, particularly those focusing on double integrals and coordinate transformations, as well as educators teaching these concepts.

jimbo71
Messages
80
Reaction score
0

Homework Statement


convert line one to polar integral and then evaluate
see problems 16 attachement


Homework Equations


r^2=y^2+x^2



The Attempt at a Solution


I changed to polar and evaluated the double integral but I come up with an answer of negative pi which seems odd since it is an area value and should be posititve. What did i do wrong?
see problem 16 attachement
 

Attachments

  • problem 16.jpg
    problem 16.jpg
    24.7 KB · Views: 493
Physics news on Phys.org
You made a careless sign error at the start of the 4th line. There should be a negative in front of the integral in that step.
 

Similar threads

  • · Replies 19 ·
Replies
19
Views
3K
Replies
4
Views
2K
Replies
10
Views
2K
Replies
3
Views
2K
Replies
6
Views
2K
  • · Replies 24 ·
Replies
24
Views
4K
  • · Replies 12 ·
Replies
12
Views
2K
  • · Replies 7 ·
Replies
7
Views
3K
  • · Replies 11 ·
Replies
11
Views
3K
  • · Replies 3 ·
Replies
3
Views
2K