Convert this integral from cartesian coordinates to polar coordinates

Click For Summary

Homework Help Overview

The problem involves converting a double integral from Cartesian coordinates to polar coordinates. The original integral is defined as the area under the curve described by the function (1 - x^2 - y^2) with specific limits for x and y.

Discussion Character

  • Mixed

Approaches and Questions Raised

  • Participants discuss the conversion of the integral and the implications of the limits of integration in both Cartesian and polar forms.
  • Some participants express confusion about the correct limits for r and theta in the polar integral.
  • There is mention of completing the square to identify the shape of the region being integrated over.
  • Questions arise regarding the interpretation of the Cartesian limits and how they affect the polar representation.

Discussion Status

Participants are actively exploring the conversion process, with some providing insights into the geometric interpretation of the problem. There is recognition of the need to clarify the limits of integration in polar coordinates, but no consensus has been reached on the correct approach.

Contextual Notes

Participants note that the Cartesian limits define a quarter of a circle, which influences the setup of the polar integral. There is an acknowledgment that the region of integration is not fully captured by the initial assumptions about the limits for r and theta.

s3a
Messages
828
Reaction score
8

Homework Statement


The problem and its solution are attached as TheProblemAndTheSolution.jpg.

If you don't want to view the attached image, the cartesian-coordinate version that the problem wants me to convert to a polar-coordinate version is the following (let "int" = "integral").:
int int (1 - x^2 - y^2) dx from 0 to sqrt(2y - y^2) dy from 0 to 1

Homework Equations


Let t = theta (because it is simpler to type). Then x = rcos(t), y = rcos(t), r^2 = x^2 + y^2

The Attempt at a Solution


I completed the square and got this circle ( http://www.wolframalpha.com/input/?i=plot x^2 + (y - 1)^2 = 1 ).

Let "int" = "integral".

I thought I was supposed to do int int (1 - r^2) r dr from 0 to 1 (because the radius ranges in size from 0 to 1) dt from 0 to pi (because, I was initially thinking 0 to -pi, but then I thought about the circle being above the x-axis and that the area would be positive).

Why does the solution attached get what it gets?
 

Attachments

  • TheProblemAndSolution.jpg
    TheProblemAndSolution.jpg
    18.8 KB · Views: 1,585
Last edited:
Physics news on Phys.org
s3a said:

Homework Statement


The problem and its solution are attached as TheProblemAndTheSolution.jpg.

If you don't want to view the attached image, the cartesian-coordinate version that the problem wants me to convert to a polar-coordinate version is the following (let "int" = "integral").:
int int (1 - x^2 - y^2) dx from 0 to sqrt(2y - y^2) dy from 0 to 1

Homework Equations


Let t = theta (because it is simpler to type). Then x = rcos(t), y = rcos(t), r^2 = x^2 + y^2

The Attempt at a Solution


I completed the square and got this circle ( http://www.wolframalpha.com/input/?i=plot x^2 + (y - 1)^2 = 1 ).

Let "int" = "integral".

I thought I was supposed to do int int (1 - r^2) r dr from 0 to 1 (because the radius ranges in size from 0 to 1) dt from 0 to pi (because, I was initially thinking 0 to -pi, but then I thought about the circle being above the x-axis and that the area would be positive).
Both of your sets of integration limits are wrong.
In the Cartesian integral, x ranges between 0 and ##\sqrt{2y - y^2}##. This means that you are not going to get the complete circle. This will have an effect on the range of values for ##\theta## in the polar integral.

Also, in the polar integral, r does not range from 0 to 1 as you say above. The values for r range between 0 and the partial circle. As you have the limits, the circle would be centered at (0, 0), which is incorrect.
s3a said:
Why does the solution attached get what it gets?
 
Sorry for the delayed response.

I'm still very confused as to how I am supposed to get (letting t = theta) the drawing with r = 2sin(t) and r = csc(t).

Could you please explain that part to me?
 
s3a said:
Sorry for the delayed response.

I'm still very confused as to how I am supposed to get (letting t = theta) the drawing with r = 2sin(t) and r = csc(t).

Could you please explain that part to me?
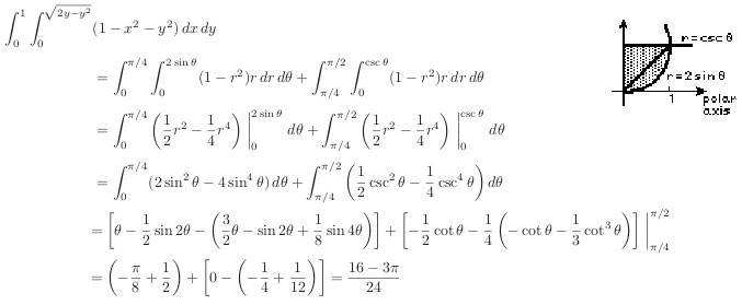
The Cartesian limits of integration define a region that is a quarter of a circle (the lower right quadrant). The center of the circle is at (0, 1) and its radius is 1. When you switch to polar form you will need two integrals, one in which r ranges from 0 to the circle while ##\theta## ranges between 0 and ##\pi/4##, and the other where r ranges from 0 to the line y = 1 while ##\theta## ranges between ##\pi/4## and ##\pi/2##.

Probably the hardest part of this problem is figuring out what the polar limits of integration are.
 

Similar threads

  • · Replies 19 ·
Replies
19
Views
3K
  • · Replies 24 ·
Replies
24
Views
4K
  • · Replies 11 ·
Replies
11
Views
3K
  • · Replies 4 ·
Replies
4
Views
2K
  • · Replies 3 ·
Replies
3
Views
3K
  • · Replies 5 ·
Replies
5
Views
2K
  • · Replies 14 ·
Replies
14
Views
3K
Replies
6
Views
2K
  • · Replies 3 ·
Replies
3
Views
2K
  • · Replies 4 ·
Replies
4
Views
2K