Debye Approximation of Heat Capacity in 1D

Click For Summary
SUMMARY

The discussion focuses on the application of the Debye approximation to calculate heat capacity in one-dimensional systems. Key points include setting the upper limit of the integral to ##\hbar\omega_D/k_B T## for low temperatures and evaluating the limit as ##T \to 0##, which leads to an infinite upper limit. For high temperatures, the limit approaches zero, allowing the use of the original variable ##\hbar\omega/k_B T## and simplifying the integral by applying a Taylor expansion to the exponential term.

PREREQUISITES
  • Understanding of the Debye model for heat capacity
  • Familiarity with integral calculus and limits
  • Knowledge of statistical mechanics concepts, particularly temperature limits
  • Proficiency in using Taylor series expansions
NEXT STEPS
  • Study the Debye model for heat capacity in three dimensions
  • Learn about the mathematical techniques for evaluating improper integrals
  • Explore the application of Taylor series in statistical mechanics
  • Investigate the differences in heat capacity behavior across different dimensional systems
USEFUL FOR

Students and researchers in physics, particularly those focusing on thermodynamics and statistical mechanics, as well as anyone involved in material science and heat capacity analysis.

jkthejetplane
Messages
29
Reaction score
4
Homework Statement
Using the Debye approximation, illustrate how the phonon heat capacity changes with
respect to temperature in 1D. Discuss your results in the low and high temperature limit
respectively.
Relevant Equations
equations of Cv from book in 3d listed below
So really i am just unsure how to answer the last part of the question. I am unsure how to apply the low and high temperature limits the way i have done it. Do i set upper/lower limits on the integral and solve? If so i am not sure what to put
1607762298291.png


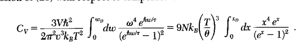
Here is what he book has for 3d
1607762546553.png
 
Physics news on Phys.org
After you change your variable, the upper limit of integral will be ##\hbar\omega_D/k_B T##. Then put ##T\to 0## so ##\hbar\omega_D/k_B T \to \infty## and integrate.

For high-temperature behaviour, ##T \to \infty##, ##\hbar\omega/k_B T \to 0##. In this case maybe you don't change your variable and keep the original ##\hbar\omega/k_B T##, then ##\exp(\hbar\omega/k_B T)\to 1##. Then integrate. (in denominator of integral maybe can perform a Taylor expansion)
 

Similar threads

  • · Replies 2 ·
Replies
2
Views
3K
Replies
1
Views
2K
  • · Replies 2 ·
Replies
2
Views
2K
  • · Replies 6 ·
Replies
6
Views
5K
  • · Replies 1 ·
Replies
1
Views
5K
  • · Replies 1 ·
Replies
1
Views
3K
  • · Replies 28 ·
Replies
28
Views
3K
  • · Replies 5 ·
Replies
5
Views
11K
  • · Replies 4 ·
Replies
4
Views
3K
  • · Replies 1 ·
Replies
1
Views
2K