Double integrate from cartesian to polar and then evaluated

Click For Summary
SUMMARY

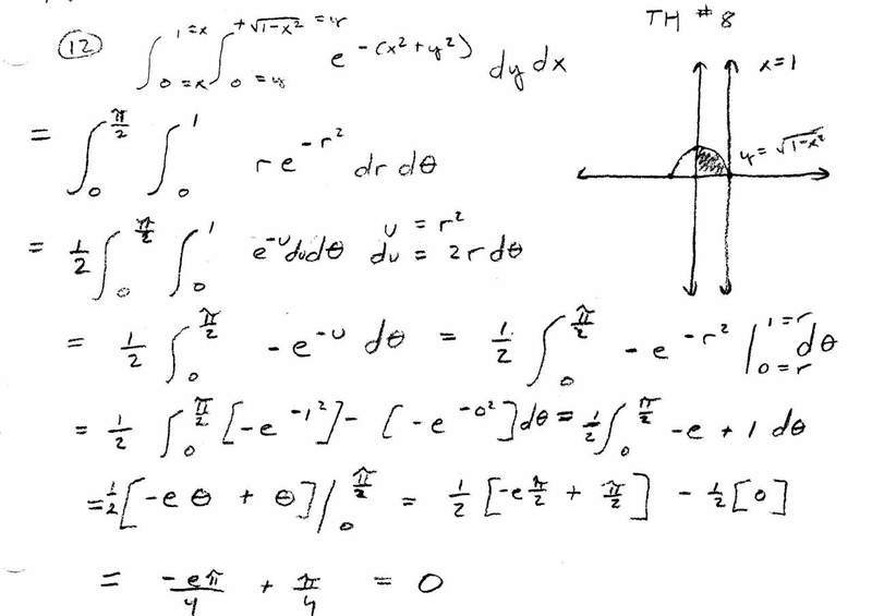
The discussion focuses on converting a double integral from Cartesian coordinates to polar coordinates and evaluating it. The key equations involved are \(y = r \sin(\theta)\), \(x = r \cos(\theta)\), and \(r^2 = x^2 + y^2\). A participant encountered an issue with calculating an area of zero, questioning the limits of integration and potential arithmetic errors. The specific error identified was the incorrect assumption that \(e^{-1}\) equals \(e\).

PREREQUISITES
  • Understanding of double integrals in calculus
  • Familiarity with polar coordinate transformations
  • Knowledge of trigonometric functions and their applications
  • Basic arithmetic and algebra skills
NEXT STEPS
  • Review the process of converting Cartesian coordinates to polar coordinates
  • Practice evaluating double integrals using polar coordinates
  • Study common pitfalls in integral calculus, particularly with limits of integration
  • Learn about the properties of exponential functions and their implications in calculus
USEFUL FOR

Students studying calculus, particularly those focusing on integral calculus, as well as educators and tutors looking to clarify the conversion between coordinate systems and common errors in evaluation.

jimbo71
Messages
80
Reaction score
0

Homework Statement


convert double integral from line one to polar integral and then evaluate
see problem 12 attachment



Homework Equations


y=rsinx
x=rcosx
r^2=x^2+y^2



The Attempt at a Solution


see problem 12 attachment
I calculate a area of zero. are my limits wrong and if so which ones, or did i make a mistake in the aritmatic, or something else?
 

Attachments

  • problem 12.jpg
    problem 12.jpg
    29.8 KB · Views: 476
Physics news on Phys.org
You start to go wrong at the end of the 5th line. [itex]e^{-1}[/itex] does not equal [itex]e[/itex].
 

Similar threads

  • · Replies 19 ·
Replies
19
Views
3K
  • · Replies 24 ·
Replies
24
Views
4K
  • · Replies 3 ·
Replies
3
Views
2K
  • · Replies 3 ·
Replies
3
Views
3K
Replies
4
Views
2K
  • · Replies 11 ·
Replies
11
Views
3K
  • · Replies 4 ·
Replies
4
Views
2K
Replies
10
Views
2K
Replies
1
Views
2K
  • · Replies 2 ·
Replies
2
Views
2K