Find thermal capacity of a Van der Waals gas

  • Thread starter Thread starter MatinSAR
  • Start date Start date
  • Tags Tags
    equations
Click For Summary

Homework Help Overview

The discussion revolves around finding the thermal capacities, ##C_P## and ##C_V##, of a Van der Waals gas. Participants explore the applicability of equations from their textbooks and the limitations posed by the available information regarding the internal energy and entropy of the gas.

Discussion Character

  • Exploratory, Assumption checking, Conceptual clarification

Approaches and Questions Raised

  • Participants discuss the use of equations related to heat capacities and question whether they can be applied to a Van der Waals gas. There are attempts to relate internal energy to heat capacities, and some participants express uncertainty about the sufficiency of the given equations.

Discussion Status

The discussion is ongoing, with participants sharing their thoughts on the relationships between internal energy, heat capacities, and the limitations of the equations provided. Some guidance has been offered regarding the independence of ##C_V## from volume, but there is no explicit consensus on how to proceed with the calculations.

Contextual Notes

Participants note the lack of specific information about the internal energy and entropy of the Van der Waals gas, which is seen as a barrier to calculating the thermal capacities. There is mention of the professor's indication that the problem is challenging, and some participants seek additional sources for information.

MatinSAR
Messages
673
Reaction score
205
Homework Statement
Find thermal capacity of vander waals gas.
Relevant Equations
Tds equations.
Can anyone guide me how can I find ##C_P## and ##C_V##?
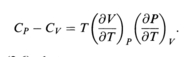
There are two equations in my book which I think can help but I'm not sure if I can use them to find ##C_P## and ##C_V## of a vander waals gas.
1706712689360.png
1706712763869.png

I know equation of state of this gas.
1706713255661.png
 
Physics news on Phys.org
From first equation I find out that : $$C_P-C_V = \dfrac {R}{1 - \dfrac {2a(V-b)^2}{RTV^3}}$$
But I am not sure if I can use 2nd equation to find another relation between these to ...

I've checked some books but I didn't find anything about heat capacities of Van der Waals gas. Does anyone knows a book or a source that discuss this thing ?
 
You cannot calculate
$$\beta=\left(\frac{\partial P}{\partial V}\right)_S$$
because you do not have enough information about ##S##, the equation of state does not suffice here.

Imagine that you have ##PV=nRT## instead, how do you calculate ##\beta##? Well, you can't.
 
  • Like
Likes   Reactions: MatinSAR
pines-demon said:
You cannot calculate
$$\beta=\left(\frac{\partial P}{\partial V}\right)_S$$
because you do not have enough information about ##S##, the equation of state does not suffice here.

Imagine that you have ##PV=nRT## instead, how do you calculate ##\beta##? Well, you can't.
You are right. My professor told us that this is a hard question ... So I guess I cannot solve it using provided equations in my book. Thank you.
 
pines-demon said:
You cannot calculate
$$\beta=\left(\frac{\partial P}{\partial V}\right)_S$$
because you do not have enough information about ##S##, the equation of state does not suffice here.

Imagine that you have ##PV=nRT## instead, how do you calculate ##\beta##? Well, you can't.
As you mentioned the professor told that I cannot use those equations to find thermal capacities ...I've checked many books but I did not find anything about thermal capacity of a Van der Waals gas. Does anyone know an article or source related to this topic? Thanks.
 
My current idea:
Find internal energy of Van der Waals gas:
$$dU= \frac {\partial U} {\partial T}dT + \frac {\partial U} {\partial V}dV$$$$U(T,V)=\int C_V dT-\dfrac {n^2a}{V}$$
Then finding heat capacities using: $$C_V= \frac {\partial U} {\partial T}$$$$C_P= C_V + ([\frac {\partial U} {\partial V}]_T +P)[\frac {\partial V} {\partial T}]_P$$

The problem us that it gives ##C_V=C_V## and ##C_P=C_V + sth## and it doesn't help.
 
MatinSAR said:
My current idea:
Find internal energy of Van der Waals gas:
$$dU= \frac {\partial U} {\partial T}dT + \frac {\partial U} {\partial V}dV$$$$U(T,V)=\int C_V dT-\dfrac {n^2a}{V}$$
Then finding heat capacities using: $$C_V= \frac {\partial U} {\partial T}$$$$C_P= C_V + ([\frac {\partial U} {\partial V}]_T +P)[\frac {\partial V} {\partial T}]_P$$
Again if you do not define ##U## then you cannot calculate ##C_V## and ##C_p## independently. Please try first with an ideal gas with ##PV=nRT##, you can't. Unless you postulate that ##U=\frac32 nRT##, but you will get a different answer if ##U=\frac52 nRT##. The same goes for the van der Waals gas, if you do not specify the ##U## or ##S## you cannot proceed with the calculation. The equation of state is not enough.
 
  • Like
Likes   Reactions: MatinSAR
pines-demon said:
Again if you do not define ##U## then you cannot calculate ##C_V## and ##C_p## independently. Please try first with an ideal gas with ##PV=nRT##, you can't. Unless you postulate that ##U=3/2 nRT##, but you will get a different answer if ##U=5/2 nRT##. The same goes for the van der Waals gas, if you do not specify the ##U## or ##S## you cannot proceed with the calculation. The equation of state is not enough.
So at first I need to find something like ##U=3/2nRT## for Van der Valse gas. Yes? And find heat capacities related to this ##U## ...
 
pines-demon said:
if you do not specify the U or S you cannot proceed with the calculation. The equation of state is not enough.
Now, I understand that why equation of state is not enough. Thanks ...
 
  • Like
Likes   Reactions: pines-demon
  • #10
MatinSAR said:
So at first I need to find something like ##U=3/2nRT## for Van der Valse gas. Yes?
Exactly. Either define ##U## or an equation that relies ##U## or ##S## to the other variables.
 
  • Like
Likes   Reactions: MatinSAR
  • #11
Actually, for a van Der Waals gas, ##C_v## is independent of volume and depends only on T. This means that it is the same as in the ideal gas limit: $$C_v=C_v^{IG}$$If does not depend on volume.
 
  • Like
Likes   Reactions: Lord Jestocost and MatinSAR
  • #12
Chestermiller said:
Actually, for a van Der Waals gas, ##C_v## is independent of volume and depends only on T. This means that it is the same as in the ideal gas limit: $$C_v=C_v^{IG}$$If does not depend on volume.
Monoatomic gas? Diatomic gas? Still some additional detail about the gas has to be provided. The three equations provided are not enough.
 
  • Like
Likes   Reactions: MatinSAR
  • #13
Chestermiller said:
Actually, for a van Der Waals gas, ##C_v## is independent of volume and depends only on T. This means that it is the same as in the ideal gas limit: $$C_v=C_v^{IG}$$If does not depend on volume.
Thanks. When ##C_V## doesn't depend on volume, Can I use following equation to find ##C_P##?
1706819047155.png


Because ##C_V=C^{IG}_{V}## is knwon ...
pines-demon said:
Monoatomic gas? Diatomic gas? Still some additional detail about the gas has to be provided. The three equations provided are not enough.
This details should be provided by the professor(problem setter) ? Or should be found by me?
 
  • #14
MatinSAR said:
Thanks. When ##C_V## doesn't depend on volume, Can I use following equation to find ##C_P##?
View attachment 339584

Because ##C_V=C^{IG}_{V}## is knwon ...

This details should be provided by the professor(problem setter) ? Or should be found by me?
If you have ##C_V## you can get ##C_p##, and viceversa, from Mayer's relation (your eq1). But you need the internal energy ##U## to have some details about your gas.

Yes, somebody has to give you that. Maybe in your book there is a specific "internal energy of the van der Waals gas" somewhere?
 
  • Like
Likes   Reactions: MatinSAR
  • #15
pines-demon said:
Yes, somebody has to give you that. Maybe in your book there is a specific "internal energy of the van der Waals gas" somewhere?
The professor just told us find heat capacities if you can ... He did not provide any other information ;)
I remember that he said it is difficult. What's your opinion? Isn't there any other source except my book to look for internal energy of this gas?
 
  • #16
pines-demon said:
Monoatomic gas? Diatomic gas? Still some additional detail about the gas has to be provided. The three equations provided are not enough.
The ideal gas behavior is available in the literature, regardless of how many atoms the molecule has.
 
  • Like
Likes   Reactions: Lord Jestocost and MatinSAR
  • #17
@Chestermiller @pines-demon
I've found a picture of my professor note's in my phone. He said that in constant temperature ##C_V## does not depend on ##V## for Van der Waals gas. So I want to use this assumption to solve this example.
Chestermiller said:
This means that it is the same as in the ideal gas limit:
Can't I prove this somehow? I cannot think of any proof.
 
  • #18
MatinSAR said:
Thanks. When ##C_V## doesn't depend on volume, Can I use following equation to find ##C_P##?
View attachment 339584
Yes.

Because ##C_V=C^{IG}_{V}## is knwon ...

This details should be provided by the professor(problem setter) ? Or should be found by me?
You have $$du=C_vdT+\frac{a}{v^2}dv$$So, $$\frac{\partial^2 u}{\partial T\partial v}=\frac{\partial C_v}{\partial v}=\frac{\partial (a/v^2)}{\partial T}=0$$
 
  • Like
Likes   Reactions: Lord Jestocost and MatinSAR
  • #19
Chestermiller said:
You have $$du=C_vdT+\frac{a}{v^2}dv$$So, $$\frac{\partial^2 u}{\partial T\partial v}=\frac{\partial C_v}{\partial v}=\frac{\partial (a/v^2)}{\partial T}=0$$
A clever idea to prove!
Thanks for your help @Chestermiller
But I cannot understand sth else:
Chestermiller said:
This means that it is the same as in the ideal gas limit:
Can't I prove it somehow?
 
  • #20
Chestermiller said:
The ideal gas behavior is available in the literature, regardless of how many atoms the molecule has.
But ##C_V## does depend on the number of atoms per molecule, that's why you cannot get a specific value for ##C_V## of an ideal gas just from the equation of state you need some information about ##U##
 
Last edited:
  • Like
Likes   Reactions: MatinSAR
  • #21
pines-demon said:
But ##C_V## does depend on the number of atoms per molecule, that's why you cannot get a specific value for ##C_V## of an ideal gas just from the equation of state you need some information about ##U##
Who cares if it can look it up in a handbook.
 
  • Like
Likes   Reactions: berkeman and MatinSAR
  • #22
Chestermiller said:
Who cares if it can look it up in a handbook.
The question is clear: from the three equations above (two relations between ##C_V## and ##C_P##) and the equation of state, determine ##C_V## and ##C_P##. The answer to that is no, it is not possible. The problem is incomplete.

You may propose that ##C_V## is the same as that of an ideal gas (but then you only need two of the equations above). You may also propose that it is specifically a diatomic gas. But it could be something different. Both of these additional formulas are just that, suggestions. The real answer would depend on the specifics of the problem, there is no unique answer.
 
Last edited:
  • Like
Likes   Reactions: MatinSAR
  • #23
pines-demon said:
The question is clear: from the three equations above (two relations between ##C_V## and ##C_P##) and the equation of state, determine ##C_V## and ##C_P##. The answer to that is no, it is not possible. The problem is incomplete.

You may propose that ##C_V## is the same as that of an ideal gas (but then you only need two of the equations above). You may also propose that it is specifically a diatomic gas. But it could be something different. Both of these additional formulas are just that, suggestions. The real answer would depend on the specifics of the problem, there is no unique answer.
I have no idea what you are talking about. Have you ever solved a real thermo problem.
 
  • Like
Likes   Reactions: Lord Jestocost
  • #24
pines-demon said:
The question is clear: from the three equations above (two relations between ##C_V## and ##C_P##) and the equation of state, determine ##C_V## and ##C_P##. The answer to that is no, it is not possible. The problem is incomplete.

You may propose that ##C_V## is the same as that of an ideal gas (but then you only need two of the equations above). You may also propose that it is specifically a diatomic gas. But it could be something different. Both of these additional formulas are just that, suggestions. The real answer would depend on the specifics of the problem, there is no unique answer.
I think I can assume these because the professor didn't gave us any details ...
 
  • #25
MatinSAR said:
I think I can assume these because the professor didn't gave us any details ...
I think that if you want to proceed you can do one the following:
  • Derive everything in terms of ##\beta## and leave it at that.
  • Copy the internal energy (or entropy) of a van der Waals gas from another book (there are several but you can choose the first you find)
  • Choose to postulate ##C_V## equal to that of the ideal gas and just leave a constant for all the different cases (monoatomic, diatomic, and so on)
My problem with the last one is that the objective is to calculate ##C_V##, but you would be already using it as assumption and you won't be needing all the equations that you suggested at first.
 
Last edited:
  • Like
Likes   Reactions: MatinSAR
  • #26
pines-demon said:
I think that if you want to proceed you can do one the following:
  • Derive everything in terms of ##\beta## and leave it at that.
  • Copy the internal energy (or entropy) of a van der Waals gas from another book (there are several but you can choose the first you find)
  • Choose to postulate ##C_V## equal to that of the ideal gas and just leave a constant for all the different cases (monoatomic, diatomic, and so on)
My problem with the last one is that the objective is to calculate ##C_V##, but you would be already using it as assumption and you won't be needing all the equations that you suggested at first.
What if I prove that ##C_V## does not depend on ##V## using post #18 then I claim that because of this ##C_V=C_{V}^{IG}##. Then I assume that molecules have 3 degrees of freedom so for Ideal gas we have ##C_{V}^{IG}=\dfrac 3 2 R## . Now I know what is ##C_V## so I can find ##C_P## using Mayer's relation.
pines-demon said:
  • Choose to postulate ##C_V## equal to that of the ideal gas and just leave a constant for all the different cases (monoatomic, diatomic, and so on)
My problem with the last one is that the objective is to calculate ##C_V##, but you would be already using it as assumption and you won't be needing all the equations that you suggested at first.
I want to use this assumption because the professor told us that ##C_V## doesn't depend on ##V## here ...
 
  • #27
MatinSAR said:
What if I prove that ##C_V## does not depend on ##V## using post #18 then I claim that because of this ##C_V=C_{V}^{IG}##. Then I assume that molecules have 3 degrees of freedom so for Ideal gas we have ##C_{V}^{IG}=\dfrac 3 2 R## . Now I know what is ##C_V## so I can find ##C_P## using Mayer's relation.

I want to use this assumption because the professor told us that ##C_V## doesn't depend on ##V## here ...
If that is what the professor told you then go for it. If you want to assume monoatomic gas go for it.

However how is post#18 helpful again? How does that prove that ##C_V## does not depend on ##V##? You are assuming that, the argument is circular.

Once you have assumed that ##C_V=\frac32 nR## then you use Mayer's relation and that's it.

Edit: Actually from the equation of state you can prove that ##C_V## does not depend on ##V##. See https://scienceworld.wolfram.com/physics/vanderWaalsGas.html but as you see you get to equation of post#18 and you still have no indication of the full form of ##C_V##
 
Last edited:
  • Like
Likes   Reactions: MatinSAR
  • #28
pines-demon said:
If that is what the professor told you then go for it. If you want to assume monoatomic gas go for it.
Professor's note:
1706867814689.png

pines-demon said:
However how is post#18 helpful again? Also shouldn't P be more complicated?
Using that post I can prove: $$[\frac {\partial C_V} {\partial V}]_T=0$$
pines-demon said:
Once you have assumed that ##C_V=\frac32 nR## then you use Mayer's relation and that's it.
So I'm going to assume ##C_V=\frac 3 2 nR ## then using Mayer's relation I can find ##C_P##:
$$C_P=\frac 3 2 nR + \dfrac {R}{1 - \dfrac {2a(V-b)^2}{RTV^3}}$$

Thanks for your help and time @pines-demon and @Chestermiller.
 
  • Like
Likes   Reactions: pines-demon
  • #29
MatinSAR said:
Using that post I can prove: $$[\frac {\partial C_V} {\partial V}]_T=0$$
See my edit of post#27
 
  • Like
Likes   Reactions: MatinSAR
  • #30
pines-demon said:
See my edit of post#27
So for showing that ##[\frac {\partial C_V} {\partial V}]_T=0## I can use the link you've sahred ...
Do you see any other problem in my final answer?
 

Similar threads

  • · Replies 6 ·
Replies
6
Views
4K
  • · Replies 2 ·
Replies
2
Views
2K
  • · Replies 6 ·
Replies
6
Views
3K
  • · Replies 8 ·
Replies
8
Views
2K
Replies
1
Views
3K
  • · Replies 10 ·
Replies
10
Views
23K
  • · Replies 3 ·
Replies
3
Views
2K
Replies
3
Views
3K
  • · Replies 9 ·
Replies
9
Views
5K
Replies
5
Views
3K