Finding Beltrami field in Cartesian coordinates

Click For Summary

Homework Help Overview

The discussion revolves around finding functions f and g in the context of a Beltrami field expressed in Cartesian coordinates. The original poster is tasked with ensuring that the vector field v=coszi+f(x,y,z)j+g(y,z)k satisfies the condition for a Beltrami field, defined by the equation v x (curl v)=0.

Discussion Character

  • Exploratory, Mathematical reasoning, Assumption checking

Approaches and Questions Raised

  • Participants discuss the implications of computing the curl of v and the resulting equations. There is a focus on differentiating components with respect to x and the resulting partial differential equations (PDEs). Some participants express confusion about the nature of the functions f and g, particularly regarding their dependence on variables y and z.

Discussion Status

Multiple interpretations of the equations are being explored, with some participants suggesting potential forms for f and g. There is acknowledgment of the complexity of the resulting PDEs, and some guidance has been offered regarding the simplification of the equations. However, no consensus has been reached on the final forms of the functions.

Contextual Notes

Participants note that the original problem may impose constraints on the functions f and g, particularly regarding their dependence on the variables involved. There is also mention of additional information about the nature of Beltrami fields that may influence the discussion.

sgregory8
Messages
2
Reaction score
0

Homework Statement


Working in Cartesian coordinates (x,y,z) and given that the function g is independent of x, find the functions f and g such that: v=coszi+f(x,y,z)j+g(y,z)k is a Beltrami field.

Homework Equations


From wolfram alpha a Beltrami field is defined as v x (curl v)=0

The Attempt at a Solution


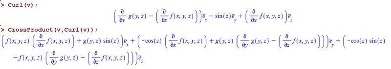
So jumping in, I compute the curl of v and the cross product of the curl of v and v:
Curl_V.png

But then the above nasty equation results and surely this would give rise to some equally nasty PDEs?
 
Physics news on Phys.org
So, that last equation gives three equations, since each component must be zero. Look at the first one, the x component. Only one term (f.fx) is a function of x. So what do you get if you differentiate wrt x?
 
haruspex said:
So, that last equation gives three equations, since each component must be zero. Look at the first one, the x component. Only one term (f.fx) is a function of x. So what do you get if you differentiate wrt x?

Thanks for the tip haruspex but I'm a little confused as to what you mean. Differentiating the first component with respect to x will remove the function g(y,z) but still leave a nasty PDE.

I've found another piece of information which I think allows me to solve the problem and that is that a Beltrami field can also be denoted by curl v = kv where k>0 is just a constant. The second component then simplifies nicely where I've deduced k=1.

If I'm right I think f(x,y,z)=+-sin(z) and g(y,z)=0. This satisfies the equation. I think I initially doubted such answers as I believed that the functions f(x,y,z) and g(y,z) should contain at least y and z variables!
 
sgregory8 said:
Differentiating the first component with respect to x will remove the function g(y,z) but still leave a nasty PDE.
I didn't think it was nasty. Using subscript notation, I got ##{f_x}^2+f_{xx}=0##. Dividing through by fx, this integrates to produce ##f^2=(Ax+B)\hat f(y,z)##.
sgregory8 said:
I've found another piece of information which I think allows me to solve the problem and that is that a Beltrami field can also be denoted by curl v = kv where k>0 is just a constant. The second component then simplifies nicely where I've deduced k=1.

If I'm right I think f(x,y,z)=+-sin(z) and g(y,z)=0. This satisfies the equation. I think I initially doubted such answers as I believed that the functions f(x,y,z) and g(y,z) should contain at least y and z variables!
That sounds a very useful fact. Continuing my first principles approach, I also found g=0, but my f is a little more general: ##\sqrt{C-\cos^2z}##. Maybe I missed some way of showing C=1.
 

Similar threads

  • · Replies 10 ·
Replies
10
Views
2K
  • · Replies 4 ·
Replies
4
Views
3K
Replies
33
Views
5K
  • · Replies 4 ·
Replies
4
Views
2K
Replies
4
Views
2K
Replies
1
Views
2K
Replies
1
Views
2K
  • · Replies 6 ·
Replies
6
Views
4K
  • · Replies 1 ·
Replies
1
Views
3K
  • · Replies 4 ·
Replies
4
Views
2K