How do I compute the derivative of (x^x)^(x^x)^(x^x)....

  • Thread starter Thread starter L_ucifer
  • Start date Start date
  • Tags Tags
    Derivative
Click For Summary

Homework Help Overview

The discussion revolves around computing the derivative of a complex function defined as an infinite tower of exponentials, specifically \(((x^x)^{(x^x)^{(x^x)})}\). Participants are exploring the implications of this function's definition and its domain.

Discussion Character

  • Exploratory, Assumption checking, Conceptual clarification

Approaches and Questions Raised

  • Participants suggest setting the function as \(f(x) = (x^x)^{f(x)}\) and taking derivatives of both sides. There are questions about the function's domain and whether it is well-defined for certain values of \(x\). Some participants express uncertainty about the implications of the infinite exponentiation and its convergence.

Discussion Status

The discussion has evolved with various approaches being proposed, including the use of the Lambert W function. Some participants have acknowledged the need for clarity regarding the interpretation of multiple exponents and the conditions under which the function is defined. There is recognition of differing opinions and interpretations, but no explicit consensus has been reached.

Contextual Notes

Participants note that the function \(x^x\) is typically defined for \(x > 0\), and there is ongoing debate about the constraints on the domain of the original function due to its complexity. The discussion also touches on the conventions of exponentiation, which may affect the interpretation of the function.

L_ucifer
Messages
12
Reaction score
0
New poster has been reminded to always show their work when starting schoolwork threads.
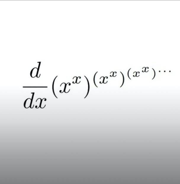
Summary: How do I solve the derivative of (((x^{x})^{x})^{x})...

How would I solve this derivative?
Math.jpg
 
Physics news on Phys.org
Hmm, not sure if this will help but if we set ##f(x)## this function then I *think* the following equation holds
$$f(x)=(x^x)^{f(x)}$$

Take the derivative of this equation in LHS and RHS and see what you get. You will form a functional equation for ##y=f'(x)## which you might be able to solve for y.
 
L_ucifer said:
Summary: How do I solve the derivative of (((x^{x})^{x})^{x})...

How would I solve this derivative?
View attachment 301752
For what values of ##x## is that function defined?
 
New poster reminded to post schoolwork in the Homework Help forums
PeroK said:
For what values of ##x## is that function defined?
They haven't mentioned that in the question
 
L_ucifer said:
They haven't mentioned that in the question
It might be important. How do you know it's even a well-defined function?
 
  • Like
Likes   Reactions: nuuskur
From what I 've read in various calculous books, usually the function ##x^x## is defined only for ##x>0##.
 
  • Like
Likes   Reactions: dextercioby
Delta2 said:
From what I 've read in various calculous books, usually the function ##x^x## is defined only for ##x>0##.
That's true. But, the function in the question is more complicated and involves an infinite sequence of exponentials.

Its domain (and range) may be more constrained!
 
PeroK said:
That's true. But, the function in the question is more complicated and involves an infinite sequence of exponentials.

Its domain (and range) may be more constrained!
Yes, my intuition says for x>1 it is probably ##f(x)=\infty## but for ##0<x\leq1## it might be well defined.
 
I'm on team this thing equals 1 when x is between 0 and 1
 
  • Informative
  • Like
Likes   Reactions: Delta2 and PeroK
  • #10
Using the method outlined in post #2 I was able to prove (given that the function and its derivative are well defined) that $$f'(x)(\frac{1}{f(x)}-x\ln x)=f(x)(\ln x+1)\Rightarrow f'(x)=f^2(x)\frac{\ln x+1}{1-f(x)x\ln x}$$ .

So what do you think, is the starting equation claimed at #2 valid? If its valid though it can't be ##f(x)=1,0<x<1##. It is ##f(x)=1## only for ##x=1##.
 
  • #11
Office_Shredder said:
I'm on team this thing equals 1 when x is between 0 and 1
Intuitively it seems so, however I think it is one of the cases where our intuition misleads us. I did a minor research using wolfram, and it seems that wolfram says this function is equal to $$f(x)=-\frac{W_n(-x\ln x)}{x\ln x}$$

where $$W_n(z)$$ the analytic continuation of the product log function.

TBH never heard of ##W_n(z)## during my undergraduate studies, neither during my master studies.

https://www.wolframalpha.com/input?i=y=(x^x)^y
 
Last edited:
  • #12
We evaluate the derivative in terms of the Lambert W function. We have,
$$
y=(x^x)^{{(x^x)}^{...}}
$$
$$
y=(x^{x})^{y}
$$
Taking the logarithm,
$$
\ln(y)=y\ln(x^{x})
$$
$$
\ln(y)=e^{\ln(y)}\ln(x^{x})
$$
and so,
$$
-\ln(y)e^{-\ln(y)}=-x\ln(x)
$$
We consign both sides of the equation to the Lambert W function,
$$
W(-\ln(y)e^{-\ln(y)})=W(-x\ln(x))
$$
The Lambert W function obeys,
$$
W(z)e^{W(z)}=z
$$
and we have,
$$
\ln(y)=-W(-x\ln(x))
$$
Exponentiation yields
$$
y=e^{-W(-x\ln(x))}
$$
and from the property of the Lambert W function,
$$
e^{-W(-x\ln(x))}=\frac{W(-x\ln(x))}{-x\ln(x)}
$$
we find,
$$
y=\frac{W(-x\ln(x))}{-x\ln(x)}
$$
For brevity of notation let,
$$
f(x)=-x\ln(x)
$$
$$
\frac{df(x)}{dx}=-(1+\ln(x))
$$
Taking the derivative,
$$
\frac{dy}{dx}=\frac{(1+\ln(x))W(f)}{f^2}+\frac{\frac{dW(f)}{dx}}{f}
$$
$$
\frac{dW(f)}{dx}=\frac{dW(f)}{df}\frac{df}{dx}
$$
By implicit differentiation,
$$
\frac{dW(f)}{df}=\frac{W(f)}{f(1+W(f))}
$$
and thus,
$$
\frac{dy}{dx}=\frac{(1+\ln(x))W(f)}{f^2}-\frac{(1+\ln(x))W(f)}{f^2(1+W(f))}
$$
$$
=\frac{(1+\ln(x))W^2 (-x\ln(x))}{(x\ln(x))^2 (1+W(-x\ln(x)))}

$$
which holds for ##x\ln(x) \ne \frac{1}{e}##.
 
  • Informative
  • Skeptical
Likes   Reactions: Delta2 and PeroK
  • #13
@Fred Wright to be honest I am not familiar with the W Lambert function. Is it the same as the analytic continuation of the product log function (##W_n(z)## see post 11 and associated wolfram link). If it is the same I think your final result coincide with mine. Just put $$f(x)=-\frac {W(-x\ln x)}{x\ln x}$$ and I think we have the same result (by f(x) I mean the initial function with the infinite ##x^x##.
 
  • Skeptical
Likes   Reactions: PeroK
  • #14
Fred Wright said:
We evaluate the derivative in terms of the Lambert W function. We have,
$$
y=(x^x)^{{(x^x)}^{...}}
$$
$$
y=(x^{x})^{y}
$$
Taking the logarithm,
$$
\ln(y)=y\ln(x^{x})
$$
If we take ##x = \frac 1 2##, then$$ \frac{\ln(y)}{y} = -\frac 1 2 \ln(2) \approx -0.3466$$This gives $$y \approx 0.767$$Which is wrong because with ##x = \frac 1 2## we have ##z = (x^x) \approx 0.707## and ##z^z \approx 0.783##. Note that, as indicated above ##y = 1## for ##0 \le x \le 1##.

Equally, we could have $$\ln(y) = y\ln(z^z)$$where z = ##x^x##, which contradicts $$\ln(y) = y\ln(x^x)$$
 
  • Skeptical
Likes   Reactions: Delta2
  • #15
Delta2 said:
@Fred Wright to be honest I am not familiar with the W Lambert function. Is it the same as the analytic continuation of the product log function (##W_n(z)## see post 11 and associated wolfram link). If it is the same I think your final result coincide with mine. Just put $$f(x)=-\frac {W(-x\ln x)}{x\ln x}$$ and I think we have the same result (by f(x) I mean the initial function with the infinite ##x^x##.
You can be sceptical all you like, but there are obvious contradictions in what you are doing. It's not rigorous, not valid and simply wrong.
 
  • Wow
Likes   Reactions: Delta2
  • #16
PeroK said:
You can be sceptical all you like, but there are obvious contradictions in what you are doing. It's not rigorous, not valid and simply wrong.
This looks like a perfect self critique for you Mr Perok. I can tell you got guts though, you disagree not only with me and fredwright but with Wolfram too...
 
  • #17
Delta2 said:
This looks like a perfect self critique for you Mr Perok. I can tell you got guts though, you disagree not only with me and fredwright but with Wolfram too...
I don't disagree with Wolfram. The critical error is yours and made before you typed anything into Wolfram.

You don't need guts when you have a modicum of mathematical ability.
 
  • #18
PeroK said:
I don't disagree with Wolfram. The critical error is yours and made before you typed anything into Wolfram.

You don't need guts when you have a modicum of mathematical ability.
And what is my critical error?

All you do is some approximate calculations, the results are approximately close and still you claim we are wrong.
 
  • #19
Delta2 said:
And what is my critical error?
Assuming ##y = (x^x)^y##. This is wrong.
 
  • Skeptical
Likes   Reactions: Delta2
  • #20
Thread closed temporarily. Please take this disagreement to PMs, gentlemen, and include me in the PM conversation. Once you have arrived at a consensus, we can re-open this thread to finish sorting it out. Thanks.
 
Last edited:
  • #21
Update -- after a fruitful thread in the Advisor forum, things seem to have been resolved. I'm reopening this thread so that the participants can tie this thread off. :smile:
 
  • #22
It depends on how we interpret multiple exponents. The convention, which I didn't know, is to go right to left (or top to bottom). For example, if there are no brackets, then the convention is ##x^{(x^x)}##, rather than as I expected ##(x^x)^x##.

With this convention, we don't have a constant function and the calculations involving the Lambert function are correct.

Apologies to all concerned.
 
  • Like
  • Love
Likes   Reactions: Mark44, Delta2 and berkeman
  • #23
Well ok, @PeroK except from being an excellent scientist, has the courage and honesty to admit his mistake when he really understands he has done one.
And to be completely honest I wasn't aware of the multiple exponents convention either :wink:
 
  • Like
  • Love
Likes   Reactions: Mark44, PeroK and berkeman
  • #24
That said, the assumption of convergence for the right-to-left limit does indeed appear to be false. And ##f(x)## is not well-defined for all ##x \in (0, 1)##.
 
  • #25
Delta2 said:
And to be completely honest I wasn't aware of the multiple exponents convention either
The key to this is understanding the associativity of operators, or how they group. This is an important concept in programming, but something not discussed very much in mathematics courses, at least in my experience. Something I posted in an advisors-only forum section was that different tools can give different results for repeated exponents. For example, Excel evaluates 2^2^3 as if it were written (2^2)^3, producing 64. That is, the associativity is left-to-right. OTOH, Python and other programming languages that have an exponentiation operator evaluate 2**2**3 as if it were written 2**(2**3), which produces 256. Here the associativity is right-to-left.
 
Last edited:
  • Informative
  • Wow
  • Like
Likes   Reactions: Astronuc, berkeman and Delta2
  • #26
This thread topic is way out of my wheelhouse but I have to commend @PeroK, @Delta2 and the moderation staff for keeping things civil and coming to a consensus. This is a testament to the quality of PF.
 
  • Like
Likes   Reactions: berkeman and Delta2
  • #27
L_ucifer said:
Summary: How do I solve the derivative of (((x^{x})^{x})^{x})...

How would I solve this derivative?
View attachment 301752
To be a bit of a nitpicker here … the formula in text does not match that of the image. The text would indeed be the limit of ##x^{x^n}## whereas the image with standard interpretation of nested exponentials (working top-down) would not be. I think most people would not interpret ##e^{x^2}## as ##(e^{x})^2=e^{2x}##.

The confusion is therefore understandable as the problem depends on which version you read - image or text.
 
  • Like
Likes   Reactions: Delta2
  • #28
Orodruin said:
To be a bit of a nitpicker here … the formula in text does not match that of the image. The text would indeed be the limit of ##x^{x^n}## whereas the image with standard interpretation of nested exponentials (working top-down) would not be. I think most people would not interpret ##e^{x^2}## as ##(e^{x})^2=e^{2x}##.

The confusion is therefore understandable as the problem depends on which version you read - image or text.
There is nothing nitty about it. Many problems in these forums are stated ambiguously or inconsistently, many OPs are cavalier about the issue, and many of the readers play white knight to the cavalier OPs. In this particular example, the question in the title is ambiguous, the question in the summary asks for the derivative of x^(x^infinity), and the question in the picture asks for the derivative of a function that satisfies f(x) = (x^x)^f(x).
 
  • Like
Likes   Reactions: PeroK
  • #29
The derivative can be found pretty easily without any knowledge of the W() function. Using the formula in the image, we get ## y = (x^x)^y ##. By laws of exponents, ## y = x^{xy} ##. Take logarithms of both sides to get ## \ln{y} = xy\ln{x} = yx\ln{x} ##. Differentiate with respect to x to get
$$ y'/y = y'x\ln{x} + y\ln{x} + y$$
Solve the linear equation for y' to get
$$ y' = \frac{y\ln{x}+y}{1/y - x\ln{x}} $$
 
  • Like
  • Wow
Likes   Reactions: PeroK, PhDeezNutz and Delta2
  • #30
@Prof B I think you almost revealed the complete solution to the OP...

Remember the rules here in PF are that we don't do that, we just have to guide the OPs using hints and other methods in order to make them think and find the answer for themselves!
 

Similar threads

  • · Replies 4 ·
Replies
4
Views
1K
  • · Replies 7 ·
Replies
7
Views
2K
Replies
2
Views
2K
  • · Replies 5 ·
Replies
5
Views
1K
Replies
16
Views
2K
Replies
2
Views
2K
  • · Replies 6 ·
Replies
6
Views
2K
  • · Replies 9 ·
Replies
9
Views
2K
Replies
7
Views
2K
  • · Replies 4 ·
Replies
4
Views
2K