How to calculate airplane noise as a function of distance?

Click For Summary

Discussion Overview

The discussion revolves around calculating airplane noise as a function of distance, particularly in relation to changes in altitude and flight path. Participants explore the theoretical and practical implications of sound reduction, including the effects of distance and the logarithmic nature of decibels.

Discussion Character

  • Exploratory
  • Technical explanation
  • Debate/contested
  • Mathematical reasoning

Main Points Raised

  • One participant notes that sound decreases with the square of the distance, while another mentions confusion over the relationship between sound pressure and distance.
  • There is a discussion about decibels being logarithmic, with one participant stating that doubling the distance reduces sound volume by 6 dB.
  • Some participants propose that airplane noise is directional and not equally loud in all directions, suggesting that orientation relative to the observer may significantly affect perceived noise levels.
  • One participant shares a method for calculating noise reduction using a spreadsheet, expressing interest in converting percentage reductions to decibels.
  • Another participant emphasizes the importance of investigating aircraft noise specifications to refine models of noise calculation.
  • There is mention of the Doppler effect, with participants acknowledging that the loudness of the noise varies as the plane approaches and moves away from a fixed position.

Areas of Agreement / Disagreement

Participants express various viewpoints on the relationships between distance, altitude, and perceived noise levels, with no consensus reached on the best approach to calculate or model airplane noise. Disagreements arise regarding the significance of directional noise and the impact of orientation on sound perception.

Contextual Notes

Participants highlight limitations in their understanding of sound pressure and decibel calculations, as well as the complexities introduced by the directional nature of airplane noise. There are unresolved mathematical steps and assumptions regarding the influence of altitude and distance on noise reduction.

Wes Turner
Messages
68
Reaction score
15
TL;DR
How to calculate the reduction in airplane noise as a function of increased distance?
I live close to the (landing) flight path to a major airport. The city has been working with the airport and the FAA to deal with complaints about the noise the jets make as they come in for a landing. I recently attended a meeting where various solutions were discussed, such as changing the flight path or increasing the altitude over residential areas.

I got to wondering how much good that would actually do. I'd like to create a spreadsheet that will calculate the reduction in noise if the plane's altitude is increased from 4,000' to 6,000' or if its overhead path changes from 0.5 miles away from my home to 1.0 miles away.

My foggy memory from my physics classes many years ago tells me that sound decreases as the square of the distance. If the plane is twice as far away, the sound I will hear is 25% (75% less). But I checked a couple of websites and got confusing data. One comfirmed what I thought about the inverse square relationship. Another one said that the sound "pressure" has just an inverse relationship with distance (not the square). I could not figure out what they meant by "pressure".

Finally, one website about decibels said that they are logarithmic. Doubling the distance reduces the sound volume by 6 dB. How much of a reduction is decibels is significant or detectable? And what should the target decibel reading be?

So, how does the sound of an airplane overhead vary with distance? Or is it not that simple?

Thanks
 
Physics news on Phys.org
Wes Turner said:
Summary:: How to calculate the reduction in airplane noise as a function of increased distance?

Finally, one website about decibels said that they are logarithmic. Doubling the distance reduces the sound volume by 6 dB.
For a source that's isolated from any other object (i.e. sufficiently high up in the air), the received power will follow the Inverse Square Law. That means the power measured at 2km will be 1/4 the Power at 1km (all other things being equal ) The simplest way to think of the deciBel scale is that if two measured powers have a ratio of 2:1 then that's 3dB. The way logs work means that a ratio of 4:1 will be 6dB
Power Ratio (in dB) = 10 log (Power Ratio) and that works for all numbers you care to put in. dB are worth while getting familiar with because it avoids having loads of zeros in the numbers you want to quote. e.g. a power ratio of 1,000,000 becomes 60dB and a ratio of 0.000001 becomes -60dB
They often describe sound in terms of Sound Pressure Level (SPL) but, because the Power (intensity) is proportional to SPL2 so the ratio of SPLs becomes
Ratio in dB is 20log(ratio)
Both are equally valid but hopping from one to the other can give you a headache. You need to get familiar with that stuff because a factor of 2 in the 'dB you quote' can be very important (it's not just twice the loudness but twice the number of zeros!.
There's a lot of information available about the aircraft noise nuisance so, rather than doing your own sums, it's probably best to read a lot (info from both sides). Actual measurements of real cases are much more reliable than calculations because all things are often not equal.
 
  • Like
Likes   Reactions: sysprog, Tom.G, Baluncore and 1 other person
Airplane noise is also directional. It is not equally loud in all directions.
 
  • Like
Likes   Reactions: sysprog, Wes Turner and sophiecentaur
Local residents near Heathrow are always moaning about takeoff noise. I remember a good few years ago, when planes were much noisier, that they used to takeoff very sharpish to gain height quickly and people (passengers) complained as their stomaches ended up in their mouths. You can't win.
 
  • Haha
  • Like
Likes   Reactions: sysprog and Wes Turner
sophiecentaur said:
For a source that's isolated from any other object (i.e. sufficiently high up in the air), the received power will follow the Inverse Square Law. . . .
Wow! Thanks for that excellent reply. Just what I was looking for.

Based on that, I came up with a little table showing how the sound is reduced as a funtion of the position of the plane. The blue cells are the initial conditions.
1630096670215.png

Column C is the Y1 values. C7 is Y0. Row 6 is the X1 values. D6 is X0. I chose 4,000' for Y0 because that's the altitude of the planes that pass over our neighborhood. D7 is 100% of whatever the noise is at (X0,Y0), which is at distance Z0 = SQRT(X0^2 + Y0^2).

I did this with percentages. I thought that would be more meaningful to the average user. I suppose I could convert it to dB provided that I had an initial dB value. If I understand dB, the reading in D15, where the sound is down to 25% of the original, would be down 6dB. Is that correct?

The position is determined by this diagram:

1630096580243.png

Here's the VBA code that does the calculations in Excel:
Code:
'================================================================
'                Noise Reduction

' Altitudes are in feet
' Distances are in miles
' This calculation is relative, not absolute,
'   so X0 cannot be set to zero.
'================================================================
Function Noise(pX0 As Double, pY0 As Double, pV0 As Double, _
               pX1 As Double, pY1 As Double) As Double

Const FtPerMi As Double = 5280
Dim R As Double
Dim Z0 As Double, Z1 As Double

Z0 = Sqr((pX0 * FtPerMi) ^ 2 + pY0 ^ 2)
Z1 = Sqr((pX1 * FtPerMi) ^ 2 + pY1 ^ 2)

R = pV0 * (Z0 / Z1) ^

'Noise = Format(R, "0.00")
Noise = R

End Function
 
  • Like
Likes   Reactions: AlexB23 and sysprog
anorlunda said:
Airplane noise is also directional. It is not equally loud in all directions.
OK, but if I am comparing the noise level at a fixed position for both the ear and the plane, moving the plane would not affect the calculations significnatly, no?
 
sophiecentaur said:
Local residents near Heathrow are always moaning about takeoff noise. I remember a good few years ago, when planes were much noisier, that they used to takeoff very sharpish to gain height quickly and people (passengers) complained as their stomaches ended up in their mouths. You can't win.
Same issues here. Personally, both I and my wife rarely hear the planes and we live near some of the most vocal complainers. I'm just doing this as an exercise in understanding.
 
Wes Turner said:
OK, but if I am comparing the noise level at a fixed position for both the ear and the plane, moving the plane would not affect the calculations significnatly, no?
No. At first the plane is coming toward you, then away from you. Probably louder when going away.
 
anorlunda said:
No. At first the plane is coming toward you, then away from you. Probably louder when going away.
You do know what "fixed position" means, right?

I understand that the sound level varies as the place passes by -- Doppler and all. But at some point in its travels, the sound for someone at a fixed position on the ground is the loudest. That's the only point that matters so that's the point that the calculations are about.
 
  • #10
Wes Turner said:
That's the only point that matters so that's the point that the calculations are about.
Most of the noise from an airplane is radiated behind it, from the jet engine exhausts.

The change in orientation of the aircraft relative to the observer is often more important than the inverse square law.

When an aircraft is approaching you, it sounds quieter than when it is flying away from you.
I expect orientation will make a difference of about 10 dB.
You need to investigate the aircraft noise specifications, and include that in your model.
 
  • Like
Likes   Reactions: sysprog, sophiecentaur and Wes Turner
  • #11
Baluncore said:
Most of the noise from an airplane is radiated behind it, from the jet engine exhausts.

The change in orientation of the aircraft relative to the observer is often more important than the inverse square law.

When an aircraft is approaching you, it sounds quieter than when it is flying away from you.
I expect orientation will make a difference of about 10 dB.
You need to investigate the aircraft noise specifications, and include that in your model.
OK. I hear you. And I hear the ariplane noise getting louder as it approaches and immediately after it passes overhead. A 10 dB difference from 10° behind to 10° may be reasonable, although isn't 10 dB about a 90% reduction?

But all that will remain more or less the same. The planes will still come from the south and pass over our neighborhood going north. They will just be a little higher and/or a little to the left or right. It seems to me that the inverse square law based just on the distance is a reasonable indication of the actual noise.

Do you disagree?
 
  • #12
Wes Turner said:
Do you disagree?
You are right, but only to the first approximation.
 
  • #13
Baluncore said:
Most of the noise from an airplane is radiated behind it, from the jet engine exhausts.
There was a sports field at the end of a takeoff runway (cheap real estate?). The home team advantage was that visitors could not communicate when planes were taking off. The home team had some workaround.
 
  • #14
Wes Turner said:
I suppose I could convert it to dB provided that I had an initial dB value.
The value at the top right (overhead at 4k) value of 100% would be 0dB and all the other values would be negative dB 'cos they're less than 100%.

Wes Turner said:
If I understand dB, the reading in D15, where the sound is down to 25% of the original, would be down 6dB. Is that correct?
Yes - 25% is 0.25. I sympathise if you need to talk to non-technical neighbours.
Wes Turner said:
although isn't 10 dB about a 90% reduction?
Yes - or, better still, a ratio of 0.1. In the case of noise nuisances like this it's fair enough to use percentages but for levels and not for 'reductions'. However, your second quote demonstrates where percentages can be seriously mis-used and mis-understood. People will not / cannot always do the calculation.

Percentages are fine, when used in the context of small price reductions (and small changes in general) but it's possible to look at that "90%" you quote and mis read it as 'down to 90%'. Also, what would 'reduced by 99.9% mean (=reduced TO 0.1%) or 'reduced by 99.95%? Not a problem when we are all in the know about what you mean but it can be used (sometimes deliberately) to mis-lead a reader. Your table is fine and shows the pattern. It shows that height is very relevant near the airport. One small niggle would be that the Table is missing a proper title to say what the sound level value units are (Power or Sound pressure). The values could be very different if your calculation was one way or the other so you should state what they actually are.

I have a similar problem with expressions like 'ten times less'. We all learned fractions in school so why not 'one tenth' - or would '1/12.5' be replaced by 'twelve and a half times less?. Just an old gimmer's whinge - but relevant imo. The OP has avoided this problem.
 
  • Like
Likes   Reactions: sysprog and Wes Turner
  • #16
sophiecentaur said:
The value at the top right (overhead at 4k) value of 100% would be 0dB and all the other values would be negative dB 'cos they're less than 100%.
I do not understand this. The 100% value in cell D7 is intended to indicate 100% of whatever the noise level is at those coordinates, in this case, 4,000' overhead and 0.0 miles to the left or right. The rest of the percentages are to indicate what the noise level would be relative to those initial conditions.

I replicated the table to do dB calculations. These are the estimated dB readings that correspond to the % readings:

1630173170669.png


Compare that to these % readings.

1630173283831.png


And these are the predicted dB readings for an initial reading of 80 dB.

1630173376763.png


It looks like it is easier to get a meaningful reduction by moving the flight path left or right than by raising the elevation. In many cases, that just means moving the noise to a different neigborhood. In our case, there is water about 1-2 miles away that leads right up to the runways.
 
  • Like
Likes   Reactions: sysprog
  • #17
  • Like
Likes   Reactions: sysprog and berkeman
  • #18
Wes Turner said:
I do not understand this. The 100% value in cell D7 is intended to indicate 100% of whatever the noise level is at those coordinates, in this case, 4,000' overhead and 0.0 miles to the left or right.
I obviously didn't make it clear enough; sorry.

100% is 1.000. Log(1) is zero so 0dB top left. You need too express / convert the percentages as decimals and then do 10log(the decimal value). The dB scale is a scale of Ratios and nothing on your (decimal) table is greater than 1. The dBs will then go from small negative values at the top left region and be more and more negative as you move right and down. (logs of numbers less than one are negative - stick with this, you'll get it.)
 
  • Like
Likes   Reactions: sysprog and Wes Turner
  • #19
sophiecentaur said:
I obviously didn't make it clear enough; sorry.

100% is 1.000. Log(1) is zero so 0dB top left. You need too express / convert the percentages as decimals and then do 10log(the decimal value). The dB scale is a scale of Ratios and nothing on your (decimal) table is greater than 1. The dBs will then go from small negative values at the top left region and be more and more negative as you move right and down. (logs of numbers less than one are negative - stick with this, you'll get it.)
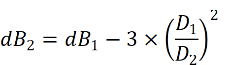
I think we are talking past each other. My % table is intended to show the relative sound levels for various increases in distance. I am not taking the log of anything in that table. It's just a simple inverse square relationship. Yes, 100% is 1.000, but it's what it is 100% of that matters. It's not the 100% itself.

That equation is:
1630181614542.png

where D1 & D2 are the line of sight distances from the ear to the planes.

In the dB table, I start with any dB level at D1 and calculate the decibel level at D2. That equation is:
1630181973406.png

Let me know if I made any errors. (I just fixed a typo.)
 

Attachments

  • 1630181772489.png
    1630181772489.png
    2.3 KB · Views: 247
  • Like
Likes   Reactions: sysprog
  • #20
Wes Turner said:
In the dB table, I start with any dB level at D1 and calculate the decibel level at D2
Then either start with a realistic dB level or start with a reference level of 0dB. Starting with a 100dB level for a plane 4000 feet overhead makes no sense to me. Do you know how loud that is?
 
  • Like
Likes   Reactions: sysprog, Wes Turner and sophiecentaur
  • #21
Wes Turner said:
And these are the predicted dB readings for an initial reading of 80 dB.
The dB figures you get for 6000' and 1 mile are 6dB less than the starting values in your tables so the basic calculations are correct, OK? If you actually knew all the characteristics of a particular plane then you could perhaps calculate 'real values' for that table but you'd need to do some actual measurements at various places (hot air balloon?) to calibrate the table.

Starting with the 100dB or 80dB figure is, as @berkeman implies, arbitrary because both those numbers are arbitrary. The thing about deciBels (and, indeed Bels) is that they are Relative numbers. One aeroplane will have a different actual noise level from another when it's at 4k and zero distance. The sort of table you are drawing up is basically intended to show how any plane's noise level will vary, relative to the 'starting point'. So the conventional (and most helpful) thing is to start with a common value of 0dB and the only reason for doing otherwise would be if you actually knew the actual noise values, in which case the dB would be relative to the 'accepted' threshold of hearing level. That's the basis of the dB in acoustics. For electrical signals, the absolute level will often be written relative to a Watt (dBW) or milliwatt (dBmW) or even microWatt (dBμ) but I guess the Sound Engineers got there first and bagged the 'absolute dB'.
 
  • Like
Likes   Reactions: sysprog and Wes Turner
  • #22
berkeman said:
Then either start with a realistic dB level or start with a reference level of 0dB. Starting with a 100dB level for a plane 4000 feet overhead makes no sense to me. Do you know how loud that is?
You make a good point. Here's the table starting at 0 dB:

1630199013143.png


That does make it easy to see the reduction.

I chose 100dB just as an example as it made it each for me to confirm the calculations.

I attended a meeting recently where some people were claiming noises close to 100dB at their homes. The airport authorities and the city reps did acknowledge readings as high as 80dB at some of their listening posts, one of which is just a couple of blocks from my home. I have never (or rarely) heard anything that loud. The music from the amphitheater 4 miles away and the stupid kids and their fireworks are much louder.

Anyway, thanks for the suggestion.
 
  • Like
Likes   Reactions: berkeman and sysprog
  • #23
sophiecentaur said:
The dB figures you get for 6000' and 1 mile are 6dB less than the starting values in your tables so the basic calculations are correct, OK?
Good to have that confirmed!

sophiecentaur said:
Starting with the 100dB or 80dB figure is, as @berkeman implies, arbitrary because both those numbers are arbitrary.
Yes, for 100dB, but not for 80dB as that was quoted in the city meeting. And I plan to convert this Excel sheet to a Google sheet so anyone can plug in whatever starting value they like.

sophiecentaur said:
The sort of table you are drawing up is basically intended to show how any plane's noise level will vary, relative to the 'starting point'.
Exactly.

sophiecentaur said:
So the conventional (and most helpful) thing is to start with a common value of 0dB and the only reason for doing otherwise would be if you actually knew the actual noise values, in which case the dB would be relative to the 'accepted' threshold of hearing level. That's the basis of the dB in acoustics.
Agreed. I appreciate the 0dB starting point suggestion. But I do have some actual (claimed) starting points as the city has placed listening posts at several places that have recorded the noise levels. If we then know the target noise level, say 40-60dB, the table will give some idea of how much corrective action will be required.

Again, thanks very much for the help.
 
  • #24
100dB for a plane at 4K sounds unlikely to me. Look up typical sound levels in dB. Don’t rely on what people are claiming.
 
  • #25
sophiecentaur said:
100dB for a plane at 4K sounds unlikely to me
Something that has bugged me for ages is the quoted "100 to 120 dB level for a jet engine sound. I have tried moderately hard to find where the measurement was actually made but can't find it. OTOH, I have read a chain saw noise quoted at a specific distance of 1m. I suspect that the sound level right behind a jet engine could be a tad more than 120dB.

I am not at all impressed that acousticians (who are the sound equivalent of RF transmission experts) are so wooly with their figures. Something that seems to be ignored in discussing sound levels is the fact that, in the presence of the ground, the same amount of sound power is restricted to just a hemisphere so you could have an instant increase of 3dB (6dB at times). Other surrounding objects can easily account for another 3 or more dB. The same will apply to the perception of sound for the air, where the local ground environment can account for similar effects. Do the effects cancel?

Sound nuisance is a very political issue so it may not be in the interests of either individuals or the authorities to have this all nailed down tightly. That would leave nothing to haggle over!
 
  • Like
Likes   Reactions: sysprog
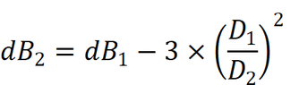
  • #26
It looks like I had an error in my formula for calculating the difference in decibel levels as a function of distance. If I understand it correctly, doubling the distance should subtract 6 dB.

I believe the correct equation is:
1630317489140.png

Here's a new table with what I believe are the correct values using that equation. Column C has been named D_0 and column D has been named D_1. The @ sign is Excel's new way of selecting the cell from a range that is on the same row or column. The second parameter of the Log function is the base (2).

1630316334142.png


The first set in blue are all factors of 2, which should be a change of 6 dB. The next set in green are all factors of 4, which should be a change of 12 dB. The next set in light orange are equal, so no change in dB.

The next set are from the city table.

The last line (row 40) is interesting. Sophie commented that my caluclations were correct because the value I showed at 4,000' and 1 mile was -6 dB. Those parameters are for a right triangle with sides of 4000 and 5280. That makes the hypotenuse 7992.396 (=sqrt(4000^2 + 5280^2), which is just close enough to 8000 to return a 6 dB result. If I had shown another decimal place, it would have been 5.99 as in the table above.

That changes the values in my larger table a bit.

1630317084384.png

Now we see the value in H37 as -5.99 dB. I added the 8000' row (38) so we could see that at 8000' and 0 miles, the distance is exactly double and the table shows -6 dB.

I believe these values are now correct. Please let me know if you see any errors.

Thanks
 
  • #27
Where did you get that formula for calculating dB? You may have read someone’s workaround for a particular case but why not use the formula with log base ten?
look at Wiki for all you need to know about deciBels and for the right formula.

I’m not being difficult or elitist here.
 
  • Like
Likes   Reactions: Wes Turner
  • #28
dB1 = dB0 - 6.0206 * Log2( D0 / D1 )
Now change the base from 2 to 10.
dB1 = dB0 - 20 * Log10( D0 / D1 )
 
  • Like
Likes   Reactions: Wes Turner
  • #29
Baluncore said:
dB1 = dB0 - 6.0206 * Log2( D0 / D1 )
Now change the base from 2 to 10.
dB1 = dB0 - 20 * Log10( D0 / D1 )
We all know how to change the bases of logarithms but, apart from in Maths exams, is there any point? There are more steps in the calculation and I still question where the OP found this method and why he chose to use it. Does it get anyone anywhere useful?
Wes Turner said:
I believe the correct equation is:
1630317489140-png.png

Here's a new table with what I believe are the correct values
It's a 'correct' version. But why bother? It's only re-arranging the basic formula by using log base 2 instead of log base 10, introducing an error because 6dB is not the exact value and you have to introduce another term in your formula.
Wes Turner said:
The last line (row 40) is interesting. Sophie commented that my caluclations were correct because the value I showed at 4,000' and 1 mile was -6 dB.
I used the percentage table you showed just above it and I read the value in that cell as 25%, which is 6dB lower than the start cell in all your dB tables. Hardly surprising and it checks out.

Your tables would be handy for getting a rough idea of how distance and height is likely to affect what you hear but, the angle changes a lot (reducing as the plane goes further away) so it would be risky to quote those values in a dispute because they are very approximate and could affect your credibility. If more detailed evidence is available then that's what you should quote publicly.
 
  • Like
Likes   Reactions: Wes Turner
  • #30
I believe that Alexander Graham Bell found that a sound appears half as loud when it is one tenth the power. This is one Bel or 10 decibels. So a 10dB reduction will sound half as loud.
By increasing the distance about three times, the aeroplane will sound half as loud.
 
  • Like
Likes   Reactions: Wes Turner

Similar threads

  • · Replies 7 ·
Replies
7
Views
4K
Replies
4
Views
3K
  • · Replies 5 ·
Replies
5
Views
3K
  • · Replies 80 ·
3
Replies
80
Views
7K
  • · Replies 12 ·
Replies
12
Views
2K
  • · Replies 1 ·
Replies
1
Views
2K
Replies
19
Views
3K
  • · Replies 2 ·
Replies
2
Views
3K
Replies
3
Views
5K
Replies
1
Views
4K