Inequality quick question context cauchy fresnel integral

Click For Summary

Homework Help Overview

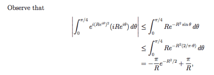
The discussion revolves around an inequality related to the Cauchy-Fresnel integral, specifically focusing on a second inequality that the original poster finds challenging. The problem involves trigonometric functions and their behavior within a specified interval.

Discussion Character

  • Exploratory, Mathematical reasoning, Assumption checking

Approaches and Questions Raised

  • The original poster questions the origin of the constant ##2/\pi## in the inequality and considers bounding ##\sin \theta## for ##\theta## between ##0## and ##\pi/4##. They also reflect on the implications of approximating ##\sin \theta## as ##\theta## for small angles.
  • Another participant proposes a transformation and attempts to prove the inequality by analyzing the behavior of a derived function and its first derivative, noting its monotonicity.
  • Further discussion includes concerns about a sign error in the proof and the need to verify the behavior of the first derivative across the interval.

Discussion Status

The conversation is ongoing, with participants exploring various approaches to the inequality. Some have provided insights into the monotonicity of functions involved, while others express uncertainty about their conclusions and seek further validation of their reasoning.

Contextual Notes

Participants are working under the constraints of homework guidelines, which may limit the depth of their explorations. There is also an acknowledgment of potential errors in reasoning that require careful consideration.

binbagsss
Messages
1,291
Reaction score
12

Homework Statement



please see attached, I am stuck on the second inequality.

Homework Equations



attached

The Attempt at a Solution



I have no idea where the ##2/\pi## has come from, I'm guessing it is a bound on ##sin \theta ## for ##\theta## between ##\pi/4## and ##0## ?

I know ##sin \theta \approx \theta ## for small ##\theta## so we could bound it to ##\pi/4## since ##sin ## increases in this range ## 0, \pi /4 ##, however that would be a stronger approximation , loosing the actual integration over ##\theta ## which is clearly not what has been done.

Many thanks in advance.
 

Attachments

  • ahem.png
    ahem.png
    10.1 KB · Views: 490
Physics news on Phys.org
I think I managed to prove it. Let ## x=\frac{\pi}{4}-x' ##. Starting with ## sin(\frac{\pi}{4}-x') \geq \frac{\frac{\pi}{4}-x'}{\frac{\pi}{2}} ## ==>> (This must be proven to be the case), This leads to ## cos(x')-sin(x')-\sqrt{2}(\frac{1}{2}-(\frac{2}{\pi})x') \geq 0 ## for ## 0<x'< \frac{\pi}{4} ##. The function (on the left side of the second inequality) can be shown to be monotonically decreasing from ## 1 -\frac{\sqrt{2}}{2} ## to ## 0 ## as ## x' ## goes from ## 0 ## to ## \frac{\pi}{4} ## by looking at the first derivative. You can try to work through what I did and see if you agree. ## \\ ## Editing: I found a sign error when I took the derivative=scratch the proof=it is incomplete at present... ## \\ ## Additional editing: A little algebra on the derivative shows it indeed is monotonically decreasing=the proof appears to work. The proof of the first derivative being less than zero on the interval ## 0<x'< \frac{\pi}{4} ## has one step to it that may not be so obvious, but I believe it works. I would be happy to show you a couple of the steps if you get stuck.
 
Last edited:
Charles Link said:
The function (on the left side of the second inequality) can be shown to be monotonically decreasing from ## 1 -\frac{\sqrt{2}}{2} ## to ## 0 ## as ## x' ## goes from ## 0 ## to ## \frac{\pi}{4} ## by looking at the first derivative.
mmm okay thanks.

I am stuck on making the final conclusion from what has been done,
 
The first derivative is constantly negative over the interval and at the very right (## x'=\frac{\pi}{4} ##) the function has the value zero. The function is thereby positive for the interval ## 0<x'< \frac{\pi}{4} ##. The first derivative is ## f'(x')=-sin(x')-cos(x')+2 \sqrt{2}/\pi ##. To show this is less than zero over the interval ## 0<x'< \frac{\pi}{4} ##, it helps to see that ## sin(x')+cos(x')=\sqrt{2} cos(x'-\frac{\pi}{4}) ##. Then the point ## x'=0 ## is the point of most concern, because that is where ## cos(x'-\frac{\pi}{4}) ## has its minimum value on the interval ## 0<x'<\frac{\pi}{4} ##..
 

Similar threads

  • · Replies 5 ·
Replies
5
Views
2K
  • · Replies 2 ·
Replies
2
Views
2K
  • · Replies 13 ·
Replies
13
Views
2K
Replies
32
Views
4K
Replies
9
Views
2K
  • · Replies 5 ·
Replies
5
Views
4K
  • · Replies 4 ·
Replies
4
Views
1K
  • · Replies 6 ·
Replies
6
Views
3K
  • · Replies 2 ·
Replies
2
Views
2K
  • · Replies 5 ·
Replies
5
Views
2K