Kronecker Delta & Levi Civita manipulation

Click For Summary

Homework Help Overview

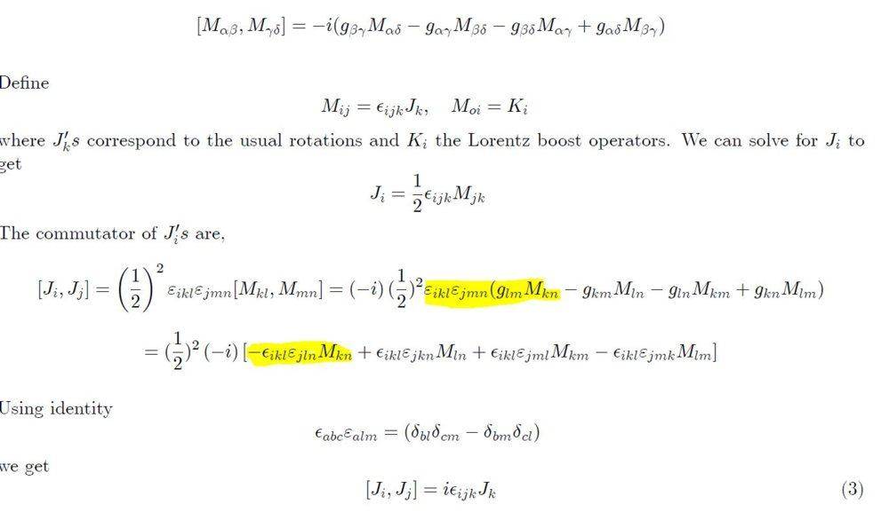
The discussion revolves around the manipulation of the Kronecker delta and Levi-Civita symbols within the context of tensor calculus, specifically in Minkowski space. Participants are examining the implications of index conventions and identities related to these mathematical constructs.

Discussion Character

  • Conceptual clarification, Assumption checking, Mixed

Approaches and Questions Raised

  • Participants explore the correctness of expressions involving the Levi-Civita symbol and the Kronecker delta, questioning the sign changes and the validity of index usage. There is also discussion about the implications of using lower indices and the conventions of the Minkowski metric.

Discussion Status

The conversation is ongoing, with some participants expressing confusion over the conventions used and the correctness of the original expressions. There are indications of productive dialogue, as participants clarify misunderstandings and explore the implications of their assumptions.

Contextual Notes

There is mention of potential errors in copying expressions and the need to verify the conventions of the Minkowski metric being used. Some participants reflect on their understanding of contravariant and covariant indices, noting discrepancies in their recollections of lectures.

MichaelAlexDavM
Messages
9
Reaction score
1
Homework Statement
I know what I need to do but I am stuck on one of the steps
Relevant Equations
Levi-civita and Kronecker delta identities
εikl εjmngkmMkn =

εikl εjknMkn = (in book it changed sign to -εikl εjknMkn - Why? )

By identity
εikl εnjkMln = (δinδkj - δijδkn)Mkn = ?

I then get ..

Mji - δij Mnn ( is this correct ?)

There 's more to the question but if can get this part right, I should be able to complete the rest.
 

Attachments

  • Homework help.JPG
    Homework help.JPG
    35.6 KB · Views: 512
Physics news on Phys.org
MichaelAlexDavM said:
Homework Statement:: I know what I need to do but I am stuck on one of the steps
Relevant Equations:: Levi-civita and Kronecker delta identities

εikl εjmngkmMkn =

εikl εjknMkn = (in book it changed sign to -εikl εjknMkn - Why? )
Oops I had not read carefully. What you wrote as the first expression can't be right! Note that you have three indices "k", which is incorrect. Check what the correct answer is.
 
Last edited:
  • Like
Likes   Reactions: MichaelAlexDavM
nrqed said:
This is a bit confusing because normally using the metric should raise or lower the indices, but here all your indices are downstairs, so I am not sure what the convention is, here. Yes, those steps are correct.

Thanks very much, I have just finished that part of the question and it worked out. I was not confident of what I was doing but I am now.

The fact that there were only lower indices confused me too, I vaguely remember my lecturer saying because its Minkowski space, contravariant and covariant are the same, might have heard that wrong though.
 
MichaelAlexDavM said:
Thanks very much, I have just finished that part of the question and it worked out. I was not confident of what I was doing but I am now.

The fact that there were only lower indices confused me too, I vaguely remember my lecturer saying because its Minkowski space, contravariant and covariant are the same, might have heard that wrong though.
AH ok. But the very first expression you wrote was incorrect, right? It had three times the index "k".
 
OP,

Go back and look at your expressions carefully, from the beginning, you've made errors in copying from the problem.
 
MichaelAlexDavM said:
I vaguely remember my lecturer saying because its Minkowski space, contravariant and covariant are the same, might have heard that wrong though.
I'd guess you misheard. They're not the same in general.

What convention is your lecturer using for the Minkowski metric? Is it diag##(-,+,+,+)## or diag##(+,-,-,-)## ?
 
strangerep said:
I'd guess you misheard. They're not the same in general.

What convention is your lecturer using for the Minkowski metric? Is it diag##(-,+,+,+)## or diag##(+,-,-,-)## ?
Now I see that the contravariant and covariant metric tensor are not the same. x0 = x0 and xa = - xa with the (+,-,-,-) metric we used. The same lecturer also teaches classical mechanics and it was during this class, when I think he said there is no difference between the contravariant and covariant indices. He may have mentioned flat space and I took this to mean (without thinking about it enough) Minkowski space.
These are basic mistakes I am making and I am quite sure I have no natural talent for this subject but I still love it.
Thanks for your knowledge, now I understand a little more.
 
Minkowski space is flat, so he probably didn't say flat space, I would bet that he said Euclidean space.
 
  • Like
Likes   Reactions: MichaelAlexDavM

Similar threads

Replies
1
Views
4K
  • · Replies 8 ·
Replies
8
Views
5K
  • · Replies 3 ·
Replies
3
Views
5K
  • · Replies 1 ·
Replies
1
Views
5K
  • · Replies 6 ·
Replies
6
Views
4K
  • · Replies 2 ·
Replies
2
Views
3K
  • · Replies 2 ·
Replies
2
Views
3K
  • · Replies 3 ·
Replies
3
Views
2K
  • · Replies 2 ·
Replies
2
Views
2K
Replies
27
Views
18K