Modelling of two phase flow in packed bed (continued)

AI Thread Summary
The discussion focuses on modeling the two-phase flow of air through a packed bed, specifically addressing the complexities introduced by CO2 freezing out from the process stream. Participants explore the behavior of CO2 in a colder bed, suggesting that it may deposit temporarily before forming a solid plug, which could complicate the flow dynamics. There is a consensus on the importance of understanding thermodynamics and phase equilibria of the gas mixture before advancing the model, with recommendations to analyze vapor pressures and phase compositions. The impact of varying superficial velocities across different phases is highlighted as a significant factor that could affect the model's accuracy. Overall, the conversation emphasizes a careful and methodical approach to developing the model to account for these complexities.
  • #251
Chestermiller said:
I suggest 30 tanks, so that Δx=1 cm and so that the center of the first tank is at x = 0.5 cm and the center of the last tank is at 29.5 cm
Change made
Chestermiller said:
The locations where the temperatures are changing substantially in their model do not seem to correspond to where they are changing substantially in your model. All the variation seems to be happening closer to the inlet in your model. Is there a scaling problem on time?
The variation happening close to the inlet is something I noticed also and I did spot something yesterday on that (my post #246 from yesterday above, I'll quote it here):
casualguitar said:
In addition, one thing I have found is that the ##Q_{IB}## and ##Q_{GI}## values at the left boundary start at a few hundred and trend gradually to zero (as expected), however the internal node values of ##Q_{IB}## and ##Q_{GI}## start at a much smaller decimal value and trend to very small numbers (10^-10), suggesting that heat transfer in the inner nodes is much less.
i.e. the variation is happening closer to the inlet. Possibly suggesting I've set up the boundary conditions incorrectly

Also I don't think there's a time scaling problem. I checked the simulation length time and it equals the length of the time array for the solution, meaning that there is a 1:1 matching

Chestermiller said:
I'll let you work this geometric conversion out. But please provide the rationale and equations for the conversion that you develop. It is not simply Adz.
Will do
 
Engineering news on Phys.org
  • #252
Chestermiller said:
On second thought, surface area to volume ratio of a particle is $$\frac{4\pi r_p^2}{\frac{4}{3}\pi r_p^3}=\frac{3}{r_p}=\frac{6}{d_p}$$The particle volume per bed column volume is ##1-\epsilon##. The column volume per tank is ##A_c\Delta z##. So, the available deposition area per tank is $$\frac{6}{d_p}(1-\epsilon)A_c\Delta z$$
The units here seem to be ##mol.m^2## whereas the units in Tuinier et al are ##kg.m^3##. Is ##m^2## right here?

Also, if the above is correct then I've potentially made a mistake elsewhere -

The solid phase mass balance is:
Screenshot 2022-07-26 at 09.23.41.png

And I have defined ##a_s## (the specific surface area), as ##\frac{6}{d_p}(1-\epsilon)A_c\Delta z##. Is this incorrect? Everywhere we have ##a_s## in the model equations I have used the above

Looking into the 'all the variation happening at the inlet' issue now
 
  • #253
casualguitar said:
The units here seem to be ##mol.m^2## whereas the units in Tuinier et al are ##kg.m^3##. Is ##m^2## right here?
Remember, we decided to work in terms of moles rather than mass. This is signified by using M rather than m. Also, the subscript "I" signifies that it is averaged over tank i.
casualguitar said:
Also, if the above is correct then I've potentially made a mistake elsewhere -

The solid phase mass balance is:
View attachment 304803
In our development, ##a_s## is the surface area available for deposition in tank i.
casualguitar said:
And I have defined ##a_s## (the specific surface area), as ##\frac{6}{d_p}(1-\epsilon)A_c\Delta z##. Is this incorrect? Everywhere we have ##a_s## in the model equations I have used the above
In our development, this is correct to use. Of course, you have to be able to convert from our notation to theirs to compare the results. Are you not able to do this?
 
  • #254
Chestermiller said:
Remember, we decided to work in terms of moles rather than mass. This is signified by using M rather than m. Also, the subscript "I" signifies that it is averaged over tank i.
Yes apologies for the confusion I'm ok with the kg and mol difference however their plot here seems to have m3 in the units whereas ours has ##m^2## instead

Screenshot 2022-07-26 at 09.55.25.png

Chestermiller said:
In our development, this is correct to use. Of course, you have to be able to convert from our notation to theirs to compare the results. Are you not able to do this?
So I'm not fully clear on how to convert between yet. ##m^2## makes sense to me as we're looking for the amount of solid available for deposition. Why would they use ##m^3## here?
 
  • #255
In addition, the difference in ##Q_{GI}## values stems from the ##\Delta T## between gas and bed at the inlet being higher than the delta T for the internal nodes:
Screenshot 2022-07-26 at 10.43.08.png

I'm not sure why this happens yet. I would have expected the blue curve to be similar to the orange and green curves. Looking into it
 
  • #256
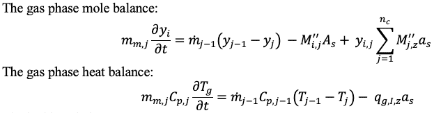
Final update (apologies). So the reason that there is more variation at the inlet is this -

The gas phase heat balance is this:
Screenshot 2022-07-26 at 10.53.27.png

When setting up this equation, I have one equation for the boundary tank (which I think is tank zero), and one equation for the other tanks.

##\dot{m}_{j-1}## is the inlet molar flow rate for tank zero (boundary tank) and ##T_{j-1}## is the inlet flow temperature.

For the rest of the system I just take the outlet flow and temperature from the previous tank and use this for the ##j-1## values.

So plotting ##T_{j-1} - T_j## for all tanks gives:
Screenshot 2022-07-26 at 11.00.23.png

which shows that there is a much larger temperature change occurring at the boundary always. Is this expected?
 
  • #257
casualguitar said:
Yes apologies for the confusion I'm ok with the kg and mol difference however their plot here seems to have m3 in the units whereas ours has ##m^2## instead

View attachment 304805

So I'm not fully clear on how to convert between yet. ##m^2## makes sense to me as we're looking for the amount of solid available for deposition. Why would they use ##m^3## here?
Yes. My bad. Their ##m_i## is supposed to be mass per unit of bed volume (actually column volume). So their ##a_s## is equal to ##\frac{6}{d_p}(1-\epsilon)##, and is the deposition surface area per unit volume of column. Our ##M_i## is supposed to be total moles of species deposited on solid surface in tank and our ##M_i^"## is the moles of species deposited per unit time per unit of deposition surface in tank. So, $$M_i=\frac{1000m_iA_c\Delta z}{W_i}$$and$$M_i^"=\frac{1000m_i^"A_c\Delta z}{W_i}$$where ##W_i## is the molecular weight of the species.
 
  • #258
casualguitar said:
Final update (apologies). So the reason that there is more variation at the inlet is this -

The gas phase heat balance is this:
View attachment 304808
When setting up this equation, I have one equation for the boundary tank (which I think is tank zero), and one equation for the other tanks.

##\dot{m}_{j-1}## is the inlet molar flow rate for tank zero (boundary tank) and ##T_{j-1}## is the inlet flow temperature.

For the rest of the system I just take the outlet flow and temperature from the previous tank and use this for the ##j-1## values.

So plotting ##T_{j-1} - T_j## for all tanks gives:
View attachment 304809
which shows that there is a much larger temperature change occurring at the boundary always. Is this expected?
What is your exact equation for tank 1?
 
  • #259
Chestermiller said:
What is your exact equation for tank 1?
By tank 1 (if we're talking about the boundary tank), then my exact equation gas phase heat balance is:
$$\frac{\partial T_g}{\partial t} = \frac{\dot{m}_{in}C_{p}(T_{in} - T_1) - q_{g,I}A_s}{m_1C_{p}}$$
where ##\dot{m}_{in}## is the inlet molar flow and ##T_{in}## is the temperature of the inlet flow, and ##m_1## is the molar holdup in tank 1

Is this reasonable?

and here is the general equation:
$$\frac{\partial T_g}{\partial t} = \frac{\dot{m}_{j-1}C_{p}(T_{j-1} - T_j) - q_{g,I}A_s}{m_1C_{p}}$$
 
  • #260
casualguitar said:
By tank 1 (if we're talking about the boundary tank), then my exact equation gas phase heat balance is:
$$\frac{\partial T_g}{\partial t} = \frac{\dot{m}_{in}C_{p}(T_{in} - T_1) - q_{g,I}A_s}{m_1C_{p}}$$
where ##\dot{m}_{in}## is the inlet molar flow and ##T_{in}## is the temperature of the inlet flow, and ##m_1## is the molar holdup in tank 1

Is this reasonable?

and here is the general equation:
$$\frac{\partial T_g}{\partial t} = \frac{\dot{m}_{j-1}C_{p}(T_{j-1} - T_j) - q_{g,I}A_s}{m_1C_{p}}$$
Looks OK
 
  • #261
Chestermiller said:
Looks OK
So the boundary condition equation is set up ok. This graph doesn't seem intuitive though (##T_{j-1}## - ##T_j## for all tanks). This delta T discrepancy is driving the higher rate of variation at the inlet:
Screenshot 2022-07-26 at 14.57.21.png

Maybe one of the heat transfer terms driving heat transfer axially through the bed is low? The ##Q_GI## term at the inlet is much higher than ##Q_GI## for the other tanks also. I don't think this is to be expected.

I've checked the molar desublimation rates across the bed and they seem ok everywhere.

I messed around with the heat of vaporisations/desublimations just on the off chance they were incorrect. Currently the heat of desublimation and vaporisation are 26000 and 40650 J/mol respectively. If I just divide them both by 1000 (no particular reason other than maybe the current units are wrong), then the gas temperature levels off at a higher temperature. Still too low, but higher. Suggesting maybe that this is a value error rather than a desublimation mechanics error?

Plot of gas temperature with the heat of vaporisation/desublimation values divided by 1000:
Screenshot 2022-07-26 at 15.08.25.png

Original values:
Screenshot 2022-07-26 at 15.09.18.png
 
  • #262
Slightly more interestingly, if I divide those heat of vaporisation/desublimation values by 1000 again then we get a relatively normal looking profile (note these temperatures are degrees C):
Screenshot 2022-07-26 at 15.16.28.png


This might suggest that I haven't divided by 1000 somewhere where I should have. 1000 would come up when converting from kg to mol so maybe I haven't done that somewhere? Complete guess but will check
 
  • #263
Have you checked what the literature gives for these heats?

i’n having trouble understanding what seems wrong.
 
  • #264
If it wouldn't be too much trouble, could you please plot up the 30 tank results of temperature vs distance and CO2 deposited vs distance (with time as a secondary parameter) using the units in the Turnier paper so that we can compare directly with their paper. Thanks.
 
  • #265
casualguitar said:
By tank 1 (if we're talking about the boundary tank), then my exact equation gas phase heat balance is:
$$\frac{\partial T_g}{\partial t} = \frac{\dot{m}_{in}C_{p}(T_{in} - T_1) - q_{g,I}A_s}{m_1C_{p}}$$
where ##\dot{m}_{in}## is the inlet molar flow and ##T_{in}## is the temperature of the inlet flow, and ##m_1## is the molar holdup in tank 1

Is this reasonable?

and here is the general equation:
$$\frac{\partial T_g}{\partial t} = \frac{\dot{m}_{j-1}C_{p}(T_{j-1} - T_j) - q_{g,I}A_s}{m_1C_{p}}$$
In these equations, we use ##m_j## to represent the total number of moles of all species in tank j, and ##\dot{m}_{j}## to represent the total number of moles per unit time exiting tank j and entering tank j-1.
 
  • #266
Chestermiller said:
Yes. My bad. Their ##m_i## is supposed to be mass per unit of bed volume (actually column volume). So their ##a_s## is equal to ##\frac{6}{d_p}(1-\epsilon)##, and is the deposition surface area per unit volume of column. Our ##M_i## is supposed to be total moles of species deposited on solid surface in tank and our ##M_i^"## is the moles of species deposited per unit time per unit of deposition surface in tank. So, $$M_i=\frac{1000m_iA_c\Delta z}{W_i}$$and$$M_i^"=\frac{1000m_i^"A_c\Delta z}{W_i}$$where ##W_i## is the molecular weight of the species.
On second thought, I think we should let ##A_s## represent the deposition area available within each tank: $$A_s=\frac{6}{d_p}(1-\epsilon)A\Delta z$$and we should let ##M_i^"## represent the molar deposition rate per unit deposition area available in tank "I":$$M_i^"=\frac{1000m_i^"}{W_i}$$So $$\frac{dM_i}{dt}=M_i^"A_s$$
 
  • #267
Chestermiller said:
Have you checked what the literature gives for these heats?
Yes and the values I had originally are the literature values
Chestermiller said:
i’n having trouble understanding what seems wrong.
So the last two plots in post #261 show the temperature levelling off at a temperature that is below the inlet temperature (100C). I was pointing out in post #262 that if the heat of vaporisation/sublimation is multiplied by a factor of about 1000 then we get the correct 'temperature level off'. Obviously we can't just multiply by 1000 though so I thought maybe a factor of 1000 was missing somewhere else (possibly I hadn't converted between kg and mol properly somewhere). Just a thought though. But more importantly it shows that the desublimation/vaporisation mechanics aren't fully broken in that the gas temperature can go beyond the desublimation/vaporisation temperature

Chestermiller said:
If it wouldn't be too much trouble, could you please plot up the 30 tank results of temperature vs distance and CO2 deposited vs distance (with time as a secondary parameter) using the units in the Turnier paper so that we can compare directly with their paper. Thanks.
Can do
Chestermiller said:
In these equations, we use mj to represent the total number of moles of all species in tank j, and m˙j to represent the total number of moles per unit time exiting tank j and entering tank j-1.
Should this read 'entering tank j+1'?
Chestermiller said:
On second thought, I think we should let ##A_s## represent the deposition area available within each tank: $$A_s=\frac{6}{d_p}(1-\epsilon)A\Delta z$$and we should let ##M_i^"## represent the molar deposition rate per unit deposition area available in tank "I":$$M_i^"=\frac{1000m_i^"}{W_i}$$So $$\frac{dM_i}{dt}=M_i^"A_s$$
Understood. Actually this was the representation I was using. So to convert between their CO2 solid buildup plots all that is needed is to multiply the mole values by ##\frac{W_i}{1000*A_C*dz}##?

Doing those plots now
 
Last edited:
  • #268
Here are the plots of position vs Mass of solid CO2 build up and position versus gas temperature (for a selection of times):
Screenshot 2022-07-27 at 09.18.41.png

Screenshot 2022-07-27 at 09.12.25.png


Some notes:
- The CO2 mass buildup is in the general ballpark of the Tuinier et al paper. The max buildup I see (about 120 kg/m3) is about double what the Tuinier et al paper shows
Screenshot 2022-07-27 at 09.29.32.png


- Secondly, as you said earlier the activity in the above plots seems to be concentrated at the inlet much more so than the Tuinier et al plots (unless I'm reading it incorrectly)

- Lastly the gas temperature seems to max out at about -90C which is not the case in the Tuinier paper. We initially thought this was to do with sublimation mechanics but now that we can fix this by 'dividing the heat of vaporisation/sublimation by 1000', maybe this isn't the case

I'll take a look for forgotten 'divisions by 1000'. If there's any other useful plots I could do just let me know
 
  • #269
casualguitar said:
Yes and the values I had originally are the literature values

So the last two plots in post #261 show the temperature levelling off at a temperature that is below the inlet temperature (100C). I was pointing out in post #262 that if the heat of vaporisation/sublimation is multiplied by a factor of about 1000 then we get the correct 'temperature level off'. Obviously we can't just multiply by 1000 though so I thought maybe a factor of 1000 was missing somewhere else (possibly I hadn't converted between kg and mol properly somewhere). Just a thought though. But more importantly it shows that the desublimation/vaporisation mechanics aren't fully broken in that the gas temperature can go beyond the desublimation/vaporisation temperatureCan do

Should this read 'entering tank j+1'?
Yes. My mistake.
casualguitar said:
Understood. Actually this was the representation I was using. So to convert between their CO2 solid buildup plots all that is needed is to multiply the mole values by ##\frac{W_i}{1000*A_C*dz}##?

Doing those plots now
Yes. Another mistake of mine. I misread the units as kg/m^2
 
  • #270
Chestermiller said:
Yes. My mistake.

Yes. Another mistake of mine. I misread the units as kg/m^2
Those changes had been incorporated anyway. The plots above (post #268) are the plots you mentioned earlier and use as much of the Tuinier data as possible. In places I had to make assumptions (like picking very high ##U_g## and ##U_b## values to approximate their infinite gas-solid heat transfer coefficient). Unless I've read the plots incorrectly they're not very similar yet. I'm looking into the possibility that I've forgotten to convert between kg and mol somewhere along the way

Maybe I've misunderstood again but this plot (Fig 7 in Tuinier) doesn't seem to make sense):
Screenshot 2022-07-27 at 11.29.01.png

The x-axis is time in seconds and the temperature is the outlet temperature of the packed bed. Does this not say that their temperature reaches a maximum at roughly -90C also? But surely this is at odds with Fig 6 and 5 which show the temperature going above this. Or have I misunderstood? Because fig 7 looks a lot like our time vs Tg plot (besides the time scale)
 
Last edited:
  • #271
casualguitar said:
Those changes had been incorporated anyway. The plots above (post #268) are the plots you mentioned earlier and use as much of the Tuinier data as possible. In places I had to make assumptions (like picking very high ##U_g## and ##U_b## values to approximate their infinite gas-solid heat transfer coefficient). Unless I've read the plots incorrectly they're not very similar yet. I'm looking into the possibility that I've forgotten to convert between kg and mol somewhere along the way
Those new graphs in #268 are encouraging to me. Some questions:

1. Why didn't you show temperatures from -90 to 100 C?

2. Although they use infinite U's and we use finite U's, our U's are still pretty high, as evidenced by the very small differences between the gas temperature and the bed temperature. What do our results look like using our correlations.

3. There seems to be a time scaling issue here. Are you sure you are showing the results at the correct times? Are you using fixed time interval, or having the integrator spit out results at specified times? The time scaling factor seems to be something like 10x.
casualguitar said:
Maybe I've misunderstood again but this plot (Fig 7 in Tuinier) doesn't seem to make sense):
View attachment 304867
The x-axis is time in seconds and the temperature is the outlet temperature of the packed bed. Does this not say that their temperature reaches a maximum at roughly -90C also? But surely this is at odds with Fig 6 and 5 which show the temperature going above this. Or have I misunderstood? Because fig 7 looks a lot like our time vs Tg plot (besides the time scale)
It looks like the operating conditions for Fig.7 were a little different than for figs. 5 & 6. I wouldn't worry too much about this.
 
  • #272
Chestermiller said:
1. Why didn't you show temperatures from -90 to 100 C?
Because the temperature only rises to about -90C for some reason. I can run the simulation for much longer times but the temperature will max out at -90C

Chestermiller said:
Although they use infinite U's and we use finite U's, our U's are still pretty high, as evidenced by the very small differences between the gas temperature and the bed temperature. What do our results look like using our correlations.
I haven't added in these correlations yet given the above issue. I think we agreed earlier its better to fix that first rather than add the U correlations in and then fix. But if necessary I can add these

Chestermiller said:
3. There seems to be a time scaling issue here. Are you sure you are showing the results at the correct times? Are you using fixed time interval, or having the integrator spit out results at specified times? The time scaling factor seems to be something like 10x.
I think so anyway. So I pass t_eval to the integrator with is an array of times that I would like the solution stored at. I just store the time at each second interval. I also checked the length of the time array output by the integrator and it is the same length as the simulation time, surely indicating that there is no time scaling issue?
Screenshot 2022-07-27 at 12.29.13.png
 
  • #273
casualguitar said:
Because the temperature only rises to about -90C for some reason. I can run the simulation for much longer times but the temperature will max out at -90C
How can they not get higher than -90 C at short distances from the inlet? The stream coming in is at 100 C.
casualguitar said:
I haven't added in these correlations yet given the above issue. I think we agreed earlier its better to fix that first rather than add the U correlations in and then fix. But if necessary I can add these
Yes, please turn them on and see what we get.
casualguitar said:
I think so anyway. So I pass t_eval to the integrator with is an array of times that I would like the solution stored at. I just store the time at each second interval. I also checked the length of the time array output by the integrator and it is the same length as the simulation time, surely indicating that there is no time scaling issue?
View attachment 304868
We seem to be losing a factor of 10 elsewhere then. It's hard to imagine where, unless it is the individual tank holdup time (molar holdup divided by molar flow rate).
 
  • #274
Chestermiller said:
How can they not get higher than -90 C at short distances from the inlet? The stream coming in is at 100 C.
Exactly. However I mentioned yesterday if we scale down the heats of vaporisation/sublimation the temperature does go above -90C and reaches 100C. Obviously we can't just change those values though. But in effect by scaling these down we're actually scaling down ##Q_{GI}## and ##Q_{IB}## because these are a function of the heats of vaporisation/sublimation. I'm not sure why scaling down these values let's the temperature increase up to the inlet temperature but it does for some reason. As you say we're missing a factor of 10 somewhere (or possibly a factor greater than 10)

Chestermiller said:
Yes, please turn them on and see what we get.
Will do. This will take a bit of time

Chestermiller said:
We seem to be losing a factor of 10 elsewhere then. It's hard to imagine where, unless it is the individual tank holdup time (molar holdup divided by molar flow rate).
I agree there is a factor of 10 (or greater) lost somewhere, I'll add those ##U_g## values in anyway and see what happens
 
  • #275
I found one potential factor of 10 loss relating to the inlet molar flow

The Tuinier et al paper uses 0.27 kg/m2.s. I converted this to mol/m2.s (x1000/mW)

Now to convert to molar flow I was multiplying by ##A_C##, but is this correct? Or should I be multiplying by the actual flow area which I think would be A_c * epsilon? Including a voidage term min the inlet flow rate term makes a difference in how 'spread out' the variation is.

It doesn't help the temperature reach the inlet temperature unfortunately though but its a start
 
  • #276
No. This is always given based on the column area Ac.
 
  • #277
What do you get for the molar flow rate? Assuming a uniform temperature of 300K and a pressure of 1 atm, what do you get for the gas holdup in moles?
 
  • #278
Chestermiller said:
What do you get for the molar flow rate? Assuming a uniform temperature of 300K and a pressure of 1 atm, what do you get for the gas holdup in moles?
I was about to comment in relation to this. Printing the reynolds numbers at each position results in values around Re = 100, which are possibly quite low

For a molar flux of 0.27kg/m2.s as used in Tuinier et al, I get a molar flow of 0.0085mol/s, which gives a gas holdup of 0.0012 mol at a temperature of 300K and 1 atm. Does this seem reasonable?

Also I've implemented the variable ##U_g## values. They do change the plots slightly (not too much). Also printing out these ##U_g## values gives values in the range of about 20 to 60 W/m2.K

Here are the plots for non-constant ##U_g##:
Screenshot 2022-07-27 at 16.54.51.png
Screenshot 2022-07-27 at 16.55.00.png


Edit: I missed the molar flow rate question.

So the inlet flow is 0.0085mol/s. In the first tank this actually increases up to 0.01 mol/s and stays at about this value throughout the simulation. In the other tanks it also does an initial jump up to 0.01mol/s but then gradually tails off down to about 0.005 mol/s which is more what I would have expected, indicating I've possibly set this up incorrectly at the boundary
 
Last edited:
  • #279
casualguitar said:
I was about to comment in relation to this. Printing the reynolds numbers at each position results in values around Re = 100, which are possibly quite low

For a molar flux of 0.27kg/m2.s as used in Tuinier et al, I get a molar flow of 0.0085mol/s, which gives a gas holdup of 0.0012 mol at a temperature of 300K and 1 atm. Does this seem reasonable?
The molar flow rate seems reasonable, but not the holdup. I get a superficial column volume of 289 cc, and, assuming a void fraction of 0.32, I get a column void volume of 92.4 cc = 0.0924 liters. From the ideal gas law at 1 atm and 300 K, I get a molar density of 0.041 moles/liter. So, for a molar holdup, I get 0.0038 moles. So for a mean residence time of the gas, I get 0.0038/.0085 = 0.45 seconds. This is way less than the times we are seeing in our calculations for a temperature wave to travel through the bed, so the solid bed must be having a substantial effect of the speed of temperature waves through the column. Apparently, in our model, the waves are slowed much more than in the Turnier model.
 
  • #280
Chestermiller said:
This is way less than the times we are seeing in our calculations for a temperature wave to travel through the bed, so the solid bed must be having a substantial effect of the speed of temperature waves through the column. Apparently, in our model, the waves are slowed much more than in the Turnier model.
I've calculated the molar holdup by saying that:

$$m_j = \frac{P}{RT_g}A_C*\delta z*\epsilon$$
Chestermiller said:
This is way less than the times we are seeing in our calculations for a temperature wave to travel through the bed,
If these times were increased, is it correct to say that we would see the temperature variation 'spread out' across the bed rather than be concentrated at the inlet?
 
  • #281
Chestermiller said:
The molar flow rate seems reasonable, but not the holdup
If the molar flow is ok, and the molar holdup is dependent on the molar flow, surely this means the bug is in the molar holdup equation itself (rather than in any question that feeds the molar holdup equation)?
 
  • #282
casualguitar said:
I've calculated the molar holdup by saying that:

$$m_j = \frac{P}{RT_g}A_C*\delta z*\epsilon$$

If these times were increased, is it correct to say that we would see the temperature variation 'spread out' across the bed rather than be concentrated at the inlet?
The value I calculated was for the entire column, not 1 tank. Our values should differ by a factor of 30. Your value was 0.0012 for a single tank, and mine would be 0.00012 moles for a single tank, a factor of 10 lower. I've checked my number, and it seems correct. please check yours.
 
  • #283
casualguitar said:
If the molar flow is ok, and the molar holdup is dependent on the molar flow, surely this means the bug is in the molar holdup equation itself (rather than in any question that feeds the molar holdup equation)?
Your molar holdup equation looks correct.
 
  • #284
Chestermiller said:
The value I calculated was for the entire column, not 1 tank. Our values should differ by a factor of 30. Your value was 0.0012 for a single tank, and mine would be 0.00012 moles for a single tank, a factor of 10 lower. I've checked my number, and it seems correct. please check yours.
Heres the exact molar holdup calculation:
Screenshot 2022-07-29 at 13.00.39.png

And here's the output:
Screenshot 2022-07-29 at 13.01.47.png


Other values:
Bed length = 3m
Bed diameter = 0.035m
n = 30
dz = bed length/n

Possibly the most likely different value is the bed diameter. Are you also using 0.035m?
 
  • #285
casualguitar said:
Heres the exact molar holdup calculation:
View attachment 304982
And here's the output:
View attachment 304983

Other values:
Bed length = 3m
Bed diameter = 0.035m
n = 30
dz = bed length/n

Possibly the most likely different value is the bed diameter. Are you also using 0.035m?
Their bed length is 0.3 m, not 3m.
 
  • #286
Chestermiller said:
Their bed length is 0.3 m, not 3m.
Whoops my mistake. I changed that and now yes I'm getting 0.00012 moles also for a single tank

Here are the plots with the correct bed length:
Screenshot 2022-07-29 at 14.35.44.png

Screenshot 2022-07-29 at 14.36.28.png


What I noticed was that this 'max levelling off temperature' of around -85C is not constant. If I zoom in:
Screenshot 2022-07-29 at 14.37.25.png

The temperature at the inlet seems to actually slightly decrease over time

These plots are definitely quite a bit closer to the Tuinier plots though. The main things that are not the same are the temperature profiles near the inlet (not sure why the temperature doesn't increase further than -86C, and also possible the max mass deposition in our simulation being about double what is seen in Tuinier et al
 
  • #287
This looks much better. Please cut the calculated results off at 200 sec so we don't get distracted from their results.

Please run a calculation with the mass transfer totally turned off (k=0). This should tell us a lot about the temperature profile issues.
 
  • #288
Chestermiller said:
This looks much better. Please cut the calculated results off at 200 sec so we don't get distracted from their results.

Please run a calculation with the mass transfer totally turned off (k=0). This should tell us a lot about the temperature profile issues.
Temperature plot for k=0, much closer to Tuinier et al again:
Screenshot 2022-07-29 at 15.43.17.png


The temperatures near the inlet are now very close to the Tuinier values. We just don't have the constant temperature phase change section yet. Would we expect to have this though for k=0?
 
  • #289
casualguitar said:
Temperature plot for k=0, much closer to Tuinier et al again:
View attachment 304988

The temperatures near the inlet are now very close to the Tuinier values. We just don't have the constant temperature phase change section yet. Would we expect to have this though for k=0?
Yes. This is about what I expected to see. The speed at which the profiles are advancing along the bed is on the order that I expected. How do the bed temperature profiles compare?
 
  • #290
Chestermiller said:
Yes. This is about what I expected to see. The speed at which the profiles are advancing along the bed is on the order that I expected. How do the bed temperature profiles compare?
Those plots above are with ##U_g## being calculated (non-constant), and the values are between 20 and 50 W/m2.K. ##U_b## has a constant value of 20 W/m2.K. Here are the temperature profiles for gas and bed:
Screenshot 2022-07-29 at 19.42.31.png
Screenshot 2022-07-29 at 19.44.34.png


To get closer to the Tuinier simulation I'll change the U_b value to a very high number. The output temperature profiles with very high ##U_b## are below. The temperature increases faster (as expected) and the temperature profiles are more similar than with the smaller heat transfer coefficient:
Screenshot 2022-07-29 at 19.46.41.png

Screenshot 2022-07-29 at 19.46.52.png


Note: all of these plots are with ki = 0!
 
  • #291
casualguitar said:
Those plots above are with ##U_g## being calculated (non-constant), and the values are between 20 and 50 W/m2.K. ##U_b## has a constant value of 20 W/m2.K. Here are the temperature profiles for gas and bed:
View attachment 305015View attachment 305016

To get closer to the Tuinier simulation I'll change the U_b value to a very high number. The output temperature profiles with very high ##U_b## are below. The temperature increases faster (as expected) and the temperature profiles are more similar than with the smaller heat transfer coefficient:
View attachment 305017
View attachment 305018

Note: all of these plots are with ki = 0!
Why is the abscissa 0 to 29? Why isn't it 1 to 30? Also, let's plot the points at the coordinates of the center of the tank in cm: 0.5, 1.5, ...,29.5.

It seems like there is something wrong with the mass transfer description in the model. We seem to be getting much high heat releases from the desublimation than Tunier. Try scaling back the k's in the model until we get a better match with Tunier. Keep track of the scale down factor.
 
  • #292
what is your logic for shutting off the water vaporization and CO2 desublimation when the amount of deposited liquid and CO2 goes to zero?
 
  • #293
Chestermiller said:
Why is the abscissa 0 to 29? Why isn't it 1 to 30? Also, let's plot the points at the coordinates of the center of the tank in cm: 0.5, 1.5, ...,29.5.
Thats just because I'm plotting from n=0 rather than n=1, its still 30 tanks but just shifted by one index. I should be able to change it but the output will be the same

To get these centre points I guess I should average adjacent points i.e.
$$T = \frac{T_j + T_{j-1}}{2}$$
Chestermiller said:
Try scaling back the k's in the model until we get a better match with Tunier. Keep track of the scale down factor.
So are you saying to start with the k values I was using previously and keep dividing by say 10 for example until we see similar solid mass buildup profiles?

Chestermiller said:
what is your logic for shutting off the water vaporization and CO2 desublimation when the amount of deposited liquid and CO2 goes to zero?
I'm passing a function to the integrator in which the ODEs are set up. Inside this function I've also got an if statement that just says if the solid/liquid deposited goes under 0, then set it equal to zero. So I don't think I've shut it off per se but just stopped the mass from taking a negative value
 
  • #294
casualguitar said:
Thats just because I'm plotting from n=0 rather than n=1, its still 30 tanks but just shifted by one index. I should be able to change it but the output will be the same

To get these centre points I guess I should average adjacent points i.e.
$$T = \frac{T_j + T_{j-1}}{2}$$
No. you plot T1 and x=0.5 cm, T2 at x=1.5 cm, ..., T30 at x = 29.5 cm
casualguitar said:
So are you saying to start with the k values I was using previously and keep dividing by say 10 for example until we see similar solid mass buildup profiles?
yes
casualguitar said:
I'm passing a function to the integrator in which the ODEs are set up. Inside this function I've also got an if statement that just says if the solid/liquid deposited goes under 0, then set it equal to zero. So I don't think I've shut it off per se but just stopped the mass from taking a negative value
What is set to zero, the deposition rate or the amount deposited? You need to shut the deposition rate off.
 
Last edited:
  • #295
Chestermiller said:
What is set to zero, the deposition rate or the amount deposited? You need to shut the deposition rate off.
I turned the deposition rate off also. So now if the solid mass deposited goes below zero, both deposition rate and the amount deposited are set to zero. This did not change the plots. I think the reason the plots are unchanged is that the amount and rate are set to zero before ##\dot{m}_j## is actually calculated
Chestermiller said:
yes
Doing this currently (the scale down of ##k_i##)
 
  • #296
casualguitar said:
I turned the deposition rate off also. So now if the solid mass deposited goes below zero, both deposition rate and the amount deposited are set to zero. This did not change the plots. I think the reason the plots are unchanged is that the amount and rate are set to zero before ##\dot{m}_j## is actually calculated

Doing this currently (the scale down of ##k_i##)
k_i/100000:
Screenshot 2022-07-30 at 22.12.28.png

ki/10000:
Screenshot 2022-07-30 at 22.16.02.png

ki/1000:
Screenshot 2022-07-30 at 22.31.05.png

ki/100:
Screenshot 2022-07-30 at 22.37.56.png

Actually at ki/100 the gas temperature was still visually basically the same, however the bed temperature profile did start to show some hint of a constant temperature section:
Screenshot 2022-07-30 at 22.38.46.png
 
  • #297
Just splitting these up as there is a memory limit:
ki/10:
Screenshot 2022-07-30 at 22.47.28.png

Screenshot 2022-07-30 at 22.47.55.png
Screenshot 2022-07-30 at 22.48.12.png

Unusual behaviour here for the bed temperature.

So it seems like the real scaledown factor is somewhere between 10 and 100? I'm basing this on the max amount of solid deposited on the MCO2 plots. It does seem to be fairly close to 100 though. I'll post all of the ki/100 plots (Tg, Tb, MCO2)
 
  • #298
ki/100:

MCO2:
Screenshot 2022-07-30 at 22.59.25.png

Zoomed in on the relevant section:
Screenshot 2022-07-30 at 23.00.14.png


Tb:
Screenshot 2022-07-30 at 23.00.36.png


Tg:
Screenshot 2022-07-30 at 23.00.49.png


Note: the legend doesn't seem to show up on some plots. It is the same legend for all plots
 
  • #300
Chestermiller said:
Try k/30
k/30:
Screenshot 2022-07-31 at 13.54.20.png

Screenshot 2022-07-31 at 13.55.27.png


Screenshot 2022-07-31 at 13.55.18.png

Here is a plot of the rate of desublimation of CO2 for the same selection of times:
Screenshot 2022-07-31 at 14.54.08.png


The MCO2 plot seems to suggest that there are two plugs of CO2 moving through the bed rather than one. However the dM_CO2_dt plot doesn't suggest this
 

Attachments

  • Screenshot 2022-07-31 at 14.09.53.png
    Screenshot 2022-07-31 at 14.09.53.png
    17.2 KB · Views: 104
  • Screenshot 2022-07-31 at 14.53.14.png
    Screenshot 2022-07-31 at 14.53.14.png
    20.2 KB · Views: 102
Back
Top