Mole balance issue with volume division

Click For Summary

Discussion Overview

The discussion revolves around the mole balance in the context of volume division in a mathematical exercise. Participants are examining the transition between equations in a problem involving spherical coordinates and questioning the reasoning behind specific divisions in the mole balance equations.

Discussion Character

  • Homework-related
  • Technical explanation
  • Debate/contested

Main Points Raised

  • Some participants inquire about the transition from one equation to another, specifically from equation 6 to equation 7, and express confusion regarding the steps taken.
  • There is a question regarding why a specific division by ##4*\pi*\Delta r## is used in one example instead of ##4*\pi*r^2*dr## as in another example.
  • Participants note that in the first problem, the surface area S(r) is not substituted with ##4\pi r^2##, while in the second problem it is, leading to questions about the consistency of the approach.
  • Some participants discuss the validity and reasoning behind factoring out the constant ##4\pi## in the equations, with differing opinions on its necessity and implications for simplification.
  • There is a request for clarification on when it is appropriate to factor out constants in mathematical expressions, indicating a desire for understanding the underlying principles rather than just procedural knowledge.

Areas of Agreement / Disagreement

Participants express confusion and seek clarification on specific steps in the problem-solving process, indicating that there is no consensus on the reasoning behind the different approaches taken in the two examples.

Contextual Notes

Participants highlight a lack of clarity regarding the assumptions made in the problems, particularly concerning the treatment of surface area and the conditions under which certain mathematical operations are performed.

williamcarter
Messages
153
Reaction score
4

Homework Statement


Capture.JPG
Capture2.JPG


Here we divide the mole balance by the volume ##4*\pi## ##*## r2##*##dr and take lim as dr->0(standard procedure)

1) How exactly he makes the transition from equation from 6 to 7?

Exercise #2(see below please)
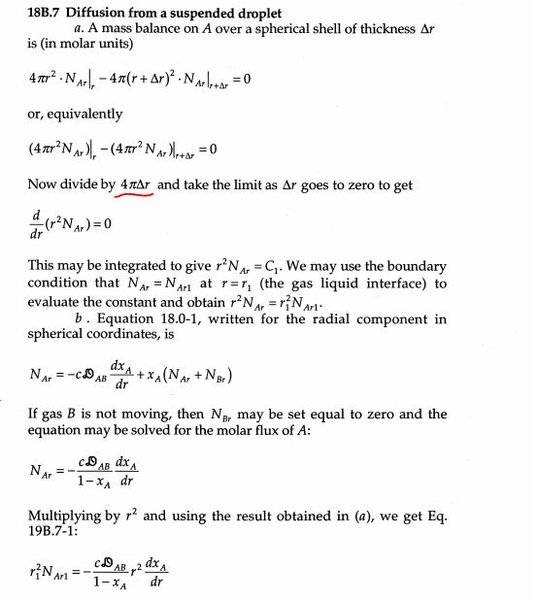
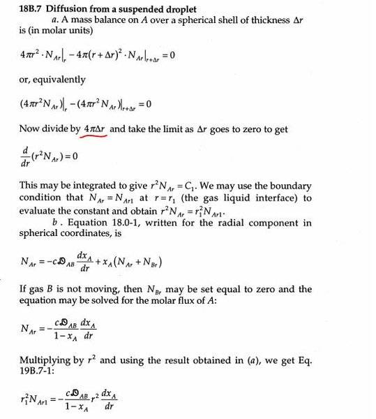
Capture3.JPG


Solution for Problem#2
Capture4.JPG


2)Why does he divide here by ##4*\pi## ##*Δr##? and not by ##4*\pi## ##*## r2##*##dr ??

Thank you very much in advance.
 
Physics news on Phys.org
williamcarter said:

Homework Statement


View attachment 195716 View attachment 195717

Here we divide the mole balance by the volume ##4*\pi## ##*## r2##*##dr and take lim as dr->0(standard procedure)

1) How exactly he makes the transition from equation from 6 to 7?
What is your problem with this?
Exercise #2(see below please)
View attachment 195718

Solution for Problem#2
View attachment 195720

2)Why does he divide here by ##4*\pi## ##*Δr##? and not by ##4*\pi## ##*## r2##*##dr ??

Thank you very much in advance.
Because the r^2 is inside the parenthesis.
 
  • Like
Likes   Reactions: williamcarter
Chestermiller said:
What is your problem with this?
I don't get exactly how he got equation 7 from 6?

Because the r^2 is inside the parenthesis.

In the first problem he didnt subsitute S(r) with 4pi*r2, he let it just S(r), but why in second problem he put it inside the ( ) as 4pi*r2?

I don't get why he divided in 2nd example just by 4pi*Δr, because I can't see the difference in procedures, between the 2 examples.
 
williamcarter said:
In the first problem he didnt subsitute S(r) with 4pi*r2, he let it just S(r), but why in second problem he put it inside the ( ) as 4pi*r2?

I don't get why he divided in 2nd example just by 4pi*Δr, because I can't see the difference in procedures, between the 2 examples.
In Eqn. 7, with ##S=4\pi r^2##, he would have:$$\frac{d(4\pi r^2)N}{dr}=0$$ Factoring out the ##4\pi## leaves: $$\frac{d(r^2N)}{dr}=0$$
 
  • Like
Likes   Reactions: williamcarter
Chestermiller said:
In Eqn. 7, with ##S=4\pi r^2##, he would have:$$\frac{d(4\pi r^2)N}{dr}=0$$ Factoring out the ##4\pi## leaves: $$\frac{d(r^2N)}{dr}=0$$
Thank you for your reply !
But why does he factor out the 4*pi? I want to understand the principle
 
williamcarter said:
Thank you for your reply !
But why does he factor out the 4*pi? I want to understand the principle
Are you saying that you don't think it is valid to factor out the 4 pi, or are you asking "why would anyone want to factor out the 4 pi?"
 
  • Like
Likes   Reactions: williamcarter
Chestermiller said:
Are you saying that you don't think it is valid to factor out the 4 pi, or are you asking "why would anyone want to factor out the 4 pi?"
I am going for the 2nd choice ''why would anyone want to factor out the 4 pi?'', how to know when to factor it out or when to leave it there?
 
williamcarter said:
I am going for the 2nd choice ''why would anyone want to factor out the 4 pi?'', how to know when to factor it out or when to leave it there?
Factoring out the constant (4 pi) simplifies the equation. It's analogous to what we do when we reduce a fraction to its least common denominator.
 
  • Like
Likes   Reactions: williamcarter
Chestermiller said:
Factoring out the constant (4 pi) simplifies the equation. It's analogous to what we do when we reduce a fraction to its least common denominator.
Thank you for your answer, but why in the first example he did not factor the 4pi out?

How to know when to factor it out and when not to?
 
  • #10
williamcarter said:
Thank you for your answer, but why in the first example he did not factor the 4pi out?

How to know when to factor it out and when not to?
I have no answer for this. It is not addressing any specific problem, so there is no one right way of doing it. It is up to the taste of the writer.
 

Similar threads

  • · Replies 16 ·
Replies
16
Views
3K
Replies
4
Views
2K
  • · Replies 1 ·
Replies
1
Views
3K
  • · Replies 7 ·
Replies
7
Views
7K
Replies
1
Views
2K
  • · Replies 2 ·
Replies
2
Views
5K
  • · Replies 2 ·
Replies
2
Views
3K
  • · Replies 4 ·
Replies
4
Views
4K
Replies
12
Views
3K
Replies
3
Views
2K