More Experimental Evidence for MOND

  • Context: High School 
  • Thread starter Thread starter jedishrfu
  • Start date Start date
Click For Summary

Discussion Overview

The discussion centers around recent experimental evidence related to the Modified Newtonian Dynamics (MOND) theory, particularly in the context of the orbital motions of wide binary stars. Participants explore the implications of this evidence for established theories of gravity, including General Relativity and the concept of dark matter. The conversation includes critiques of media interpretations of the findings and examines the complexities of applying MOND to astrophysical observations.

Discussion Character

  • Debate/contested
  • Exploratory
  • Technical explanation
  • Conceptual clarification

Main Points Raised

  • Some participants highlight that the study of wide binaries suggests standard gravity may break down at low accelerations, aligning with MOND and challenging dark matter concepts.
  • Others reference a critique by Ethan Siegel, arguing that he fails to adequately address the complexities of the debate surrounding MOND and the implications of the External Field Effect (EFE).
  • One participant emphasizes that MOND predicts violations of the Strong Equivalence Principle, suggesting that external influences can affect gravitationally bound systems, which is a point of contention in the discussion.
  • Concerns are raised about the reliability of wide binaries as a test for MOND, with some arguing that the predictions of MOND are unclear when applied to extended objects and that the transition between Newtonian and MOND behavior is not well-constrained.
  • Another participant notes the historical context of wide binaries, questioning whether their current state accurately reflects their gravitational history and thus their suitability for testing gravitational theories.
  • Some participants express skepticism about the interpretations of the findings, suggesting that the predictions of both MOND and Newtonian dynamics are uncertain, complicating the ability to distinguish between them.

Areas of Agreement / Disagreement

Participants exhibit a range of views, with no consensus on the validity of MOND versus traditional gravitational theories. Disagreements persist regarding the interpretation of the evidence, the reliability of wide binaries as a test case, and the implications of the EFE.

Contextual Notes

Limitations in the discussion include the uncertainty surrounding the predictions of MOND and Newtonian dynamics, the influence of external factors on gravitational systems, and the historical context of the binary stars being studied. These factors contribute to the complexity of the debate and the lack of definitive conclusions.

Messages
15,705
Reaction score
10,525
TL;DR
SciTech Daily a recent paper on the orbital motion of wide binary stars shows deviations in gravity measurements that differ from either Newton or Einstein and may support MOND
https://scitechdaily.com/conclusive...heories-in-low-acceleration/?expand_article=1

A study on the orbital motions of wide binaries has uncovered evidence that standard gravity breaks down at low accelerations. This discovery aligns with a modified theory called MOND and challenges current concepts of dark matter. The implications for astrophysics, physics, and cosmology are profound, and the results have been acknowledged as a significant discovery by experts in the field.
 
Astronomy news on Phys.org
jedishrfu said:
A study on the orbital motions of wide binaries has uncovered evidence that standard gravity breaks down at low accelerations. This discovery aligns with a modified theory called MOND and challenges current concepts of dark matter. The implications for astrophysics, physics, and cosmology are profound, and the results have been acknowledged as a significant discovery by experts in the field.
Here's a much less "breathless" assessment by Ethan Siegel of this study:
https://bigthink.com/starts-with-a-bang/binary-stars-prove-modified-gravity/
 
  • Like
  • Informative
  • Skeptical
Likes   Reactions: sbrothy, jbergman, Structure seeker and 5 others
It seems that Ethan didn't bother too much to do the needed research for his last article. All he should have done is go to the Triton Station blog to get some insights about the status of the debate, like here: https://tritonstation.com/2023/05/19/commentary-on-wide-binaries/ or here: https://tritonstation.com/2023/05/18/wide-binary-weirdness/ for an older take on the matter. Instead of that, he just wildly speculates, making weird personal assumptions about why the study could be wrong. There is one which particularly shows the extent of its state of confusion about the physics he tries to write about, I quote:

As we go to very wide separations, even if your binary stars remain gravitationally bound, how are their accelerations influenced by both the presence of potentially massive Oort clouds (especially if the stars are young and massive) and by the background density of dark-and-normal matter that permeates the Milky Way? The assumption is “not at all,” but that may not be correct.
Here, he seems to forget that General Relativity is the only metric theory of gravity that MUST obey the Strong Equivalence Principle (SEP), that is: bounded gravitational systems can't be influenced by neighbouring objects. Interestingly enough, MOND predicts violations of SEP and shows that external objects do indeed influence the dynamic regime (Newtonian/Non Newtonian) of gravitationally bound systems, and that is called in MOND the External Field Effect (EFE). Actually, Chae already demonstrated in previous studies (here; https://arxiv.org/abs/2009.11525 and here: https://arxiv.org/abs/2109.04745) that the EFE was real and indicated a breakdown of the SEP, in agreement with MOND phenomenology.

By the way, it's the EFE that allowed MOND to address a rebuttal to the claim that the discovery of galaxies "without dark matter" falsified MOND since the authors making the claim ignored the EFE and thus the fact that, due to their neighbour's influence, studied galaxies were indeed still in the deep newtonian regime for MOND (=no need for Dark Matter), but I disgress.

Back to current debate, Chae has obviously commented about the EFE in his last binary study because it is indeed a critical effect to account for since in order for a bound system to be in the MOND regime, it needs to satisfy a_ext + a_in < a_0, where a_ext is the inertial acceleration imparted on the bound system by neighbours, a_in, the system internal gravitational acceleration and a_0 the MOND acceleration. In the case of binaries, the main influence would be the Milky Way. In part 3.1 (https://iopscience.iop.org/article/10.3847/1538-4357/ace101):
The assumption of elliptical orbits is valid for stable orbits in Newtonian dynamics. In modified gravity theories of MOND, dynamics is expected to deviate only weakly from Newtonian dynamics due to the strong external field effect from the Milky Way. Moreover, in this study a rigorous and quantitative test will be carried out only for Newtonian and pseudo-Newtonian theories. Thus, the assumption of elliptical orbits will be sufficient.
So to sum it up, Ethan is using an argument that can be reformulated as: "if GR SEP/Newtonian limit are proven wrong, then GR is valid".

Another quick point about another dubious statement Ethan makes:
It’s not that someone is definitively right and someone is definitively wrong

In their conclusions, i.e. MOND valid and GR/Newton + Dark Matter wrong or the other way around, there could only be one that it is correct. Here it makes sense the final word will be brought by some sort of settlement between the experts in the field, i.e. Banik, Pittordis, Sutherland and Chae who have dedicated extensive time on the subject. If they agree on the last article methods (it seems they do since they made some sort of methodological pact at St Andrew's conf) , renew their efforts to include larger samples and get same conclusions, then it will be settled in favor of MOND and it will be one of the greatest revolution in fundamental physics in history.
 
Olorin said:
It seems that Ethan didn't bother too much to do the needed research f
Why should this be any different?
 
Why should this be any different?
:biggrin:

Maybe because he should somehow be able to learn from past mistakes and ethically questionnable behaviour? We all know too well the "Science's Buffon" reputation of Ethan precedes him in academic circles, but it is not a reason enough to not give him a door to mend it all. Still, we notice progress is making not and that should lead us to consider that, as a rule of thumb, we should avoid using his nonsensical articles as debate settlers when it comes to important scientific matters. The man has proven agains and again he's not able to reason properly, and even worse, since he 's not a professional scientist (i.e. we can't ask him to be able to formulate valid reasonings,) but just a journalist, not able to write an half decent, accurate piece of science information.
 
  • Skeptical
  • Like
Likes   Reactions: Structure seeker and Motore
Those who can't, blog. But enough about the source.

Wide binaries are not a good test. That may be at least part of the reason that different studies lead to different conclusions. Why do I say this?

1. MOND has difficulties with extended objects. I don't mean "makes wrong predictions" - I mean "makes unclear predictions". The gravitational force of one part of a star on another is well above a0, and yet you still get MONDy behavior from the star as a whole.

2. Wide binaries are not that wide. As such, the details of the transition between Newtonian and MOND behavior is important. It is not as well-constrained by rotation curves as one would like.

3. What MONDites call the External Field Effect matters here, and matters rather a lot. It is also not well constrained by rotation curves, so predictions are a bit mushy. (Remember, we are talking about 20% or smaller effects)

4. We live in a bad neighborhood. We're about at the spot where the transition from Newtonian to MOND happens, so nearby stars (the ones we have the best handle on) are in the same transition region we didn't have enough predictive power for a few paragraphs back.

5. The history of wide binaries is important and usually unknown. Procima Centauri is bound today. Was it bound 100 million years ago? We don't know. Will it be bound 100 million years from now? We don't know that either. Measuring v and r tells you about the gravitational history of your test mass, and the nature of the force law is only part of that history.

If the predictions of each model are uncertain, this isn't a good way to distinguishe between them.
 
  • Like
Likes   Reactions: vanhees71
jedishrfu said:
TL;DR Summary: SciTech Daily a recent paper on the orbital motion of wide binary stars shows deviations in gravity measurements that differ from either Newton or Einstein and may support MOND

https://scitechdaily.com/conclusive...heories-in-low-acceleration/?expand_article=1

A study on the orbital motions of wide binaries has uncovered evidence that standard gravity breaks down at low accelerations. This discovery aligns with a modified theory called MOND and challenges current concepts of dark matter.
The main issue is that multiple observations of wide binaries have produced inconsistent results.

Some see a MOND effect, some don't, some feel that the data isn't definitively enough to tell. So, we need more and better observations.

One of the multiple methodological issues is that sometime you can see only two stars of a three or more star system. This is a significant subset of the total group of two observed stars in what appear to be wide binary systems that inserts so much noise into the observation that it is difficult to determine if there is a MOND-like wide binary effect or not. There are work arounds with existing data for this problem, but there isn't a consensus regarding whether those work arounds are methodologically valid.

Also, some modified gravity theories that are not MOND do not make the same prediction as MOND does with respect to wide-binaries.
 
Last edited:
  • Like
Likes   Reactions: Davephaelon, KurtLudwig, vanhees71 and 1 other person
Olorin said:
The man has proven agains and again he's not able to reason properly, and even worse, since he 's not a professional scientist (i.e. we can't ask him to be able to formulate valid reasonings,) but just a journalist, not able to write an half decent, accurate piece of science information.
I've read just half a paragraph of an article of his on groupthink and that was all I possibly could muster to try to be patient with him. He just flatly refused to admit any possibility that like all humans, scientists can also be influenced by each other's opinions. Without any argumentation. That's not even dumb, it's worse.
 
  • Skeptical
Likes   Reactions: Motore
Vanadium 50 said:
1. MOND has difficulties with extended objects. I don't mean "makes wrong predictions" - I mean "makes unclear predictions". The gravitational force of one part of a star on another is well above a0, and yet you still get MONDy behavior from the star as a whole.
That's like saying the outer dynamics of an atom nucleus isn't affected by the strong force and yet its inner dynamics are.
Vanadium 50 said:
2. Wide binaries are not that wide. As such, the details of the transition between Newtonian and MOND behavior is important. It is not as well-constrained by rotation curves as one would like.
It's not difficult to see that something like MOND and unlike dark matter is at play here, and immediately when MOND began Milgrom acknowledged the issue with the transition from Newtonian to MOND (and we still need a FUNDAMOND theory).
Vanadium 50 said:
3. What MONDites call the External Field Effect matters here, and matters rather a lot. It is also not well constrained by rotation curves, so predictions are a bit mushy. (Remember, we are talking about 20% or smaller effects)
Indeed, the EFE is mentioned as also playing a role in the article. It's a unique prediction of MOND, while the exact formulae and details are less clear as you say. You could also be happy there's still more to explore.
Vanadium 50 said:
4. We live in a bad neighborhood. We're about at the spot where the transition from Newtonian to MOND happens, so nearby stars (the ones we have the best handle on) are in the same transition region we didn't have enough predictive power for a few paragraphs back.
That's great to know: the study not only confirms MOND but also gives the info we need to constrain the transition! Regardless of your arguments the 5 sigma remains 5 sigma.
Vanadium 50 said:
5. The history of wide binaries is important and usually unknown. Procima Centauri is bound today. Was it bound 100 million years ago? We don't know. Will it be bound 100 million years from now? We don't know that either. Measuring v and r tells you about the gravitational history of your test mass, and the nature of the force law is only part of that history.
They measured accelerations, not velocities. Accelerations in one timeframe give in theory exact predictions in MOND, independent from history. It only applies to dark matter that in order to know where the dark matter is, we must know more about the history. That's also a nice feature of MOND.
 
  • Skeptical
  • Sad
Likes   Reactions: jbergman and weirdoguy
  • #10
@Structure seeker virtually none of that is correct. One of the problems with the arms race to keep PF free of misinformation is that it takes way longer to carefully correct misinformation as it does to post it in the first place. "The only winning move is not to play".

One thing, however, is particularly egregious. "They measured accelerations, not velocities." That is nonsense at so many levels. Chae didn't measure anything at all - he's comparing Gaia data to a set of simulations. However, the underlying data from Gaia didn't measure accelerations either - it measured proper motoin, which is related to velocity, particular transverse velocity. But most of all, Chae says right in the bleeping paper that by "acceleration" he means v2/r. You don't have to go far - it's in the abstract!
 
Last edited:
  • Like
Likes   Reactions: russ_watters, jbergman, vanhees71 and 4 others
  • #11
We have reopened this thread.

@Structure seeker be aware that while MOND is found in the professional scientific literature, it is still much less widely accepted than dark matter. Furthermore, it is common for proponents of MOND to overstate the actual claims made in the professional scientific literature. In particular, when making claims about MOND you, specifically, should post references to the professional scientific literature supporting the particular claims you are making.
 
  • Like
Likes   Reactions: pjwetzel, vanhees71, berkeman and 1 other person
  • #12
Structure seeker said:
the EFE is mentioned as also playing a role in the article
I'm unclear on exactly how this External Field Effect is supposed to work. From what I can gather, an acceleration ##g_{ext}## is estimated based on the density of surrounding matter--it is larger where surrounding matter is denser, smaller when surrounding matter is less dense. But at least to a first approximation, the acceleration due to surrounding matter should be zero, because the surrounding matter is expected to be distributed roughly equally in all directions around the galaxy of interest. The potential in the region occupied by the galaxy of interest should be deeper (i.e., more negative) if surrounding matter is denser, but the potential is not the same as the acceleration.
 
  • Like
Likes   Reactions: vanhees71
  • #13
PeterDonis said:
I'm unclear on exactly how this External Field Effect is supposed to work.
Then you understand it. :smile:

There are sort of two of these. One is the action of one part of a self-gravitating system on another part, and the other is violations of the SEP for a self-gravitating system in an external gravitational field. There is also the question of whether MOND is modifying gravity or inertia. The predictions are the same (it's just a question of what you put on the left side or right side of the equation) but the explanations are different.

I consider this the weakest part of the MOND idea. MOND asks us to believe that a star as a whole exhibits MONDy behavior because it is far from the galactic center, and so g < a0, but the internal gravity of the star is a lot bigger - like a trillion times bigger. Put another way, if the sun were in the MOND regime (it's sort of transitional) only a kilogram or so if its mass would be cleanly subject to MOND.

In short, individual stars act MONDy and it's not clear that or why they should. The EFE is an explanation, but (IMHO) not a very satisfactory one.
 
  • Like
Likes   Reactions: vanhees71 and russ_watters
  • #14
Vanadium 50 said:
One is the action of one part of a self-gravitating system on another part
But this is part of standard GR, no need to invent another theory for it.

Vanadium 50 said:
the other is violations of the SEP for a self-gravitating system in an external gravitational field.
This is the part I was asking about--it looks to me like by "external gravitational field" they mean "net acceleration due to gravity due to nearby external masses", but as I said, at least to a first approximation there should be zero net acceleration due to gravity due to nearby external masses. So I don't understand where they're even getting the claimed source for this effect from.
 
  • Like
Likes   Reactions: vanhees71
  • #15
Vanadium50 said:
[...] individual stars act MONDy and it's not clear that or why they should. The EFE is an explanation, but (IMHO) not a very satisfactory one.

Well, I think it's reasonable. Here's why...

Firstly, the (too-)frequent misstatements about the MOND law boil down to something like this: $$\mu(|a|/a_0) \, a^r ~=~ F^r ~=~ -\,\frac{GM}{r^2} ~,$$where ##\mu## is an "inertia-side" interpolation function. This was shown to be rubbish (by Felten -- soon after Milgrom's initial papers) because, among other things, it violates Newton's 3rd law. You know: the one about how if a body "1" exerts a (vector) force F on body "2", acting along the imaginary line between them, then body "2" exerts a (vector) force -F on body "1" (i.e., in the reverse direction). Without Newton's 3rd law, one no longer has conservation of total momentum of the system as a whole!

Therefore, one must work carefully with center-of-mass and relative coordinates, as usual in the 2-body Kepler problem and similar situations, and only apply the ##\mu## to the CoM and Rel eqns separately. (This can't be done consistently at the start because the transformation from original coordinates to CoM and Rel becomes a nonlinear mess.)

Since there is no net force acting on the center of mass, ##a_{cm}## equals 0 and one can simply divide out the ##\mu## factor from the CoM equation of motion.

In this MI (modified inertia) formulation one still works with the usual Poisson equation for the Newtonian gravitational potential ##\Phi##. Hence one can still add the potentials from different sources, since those equations remain linear. It's only when you plug the total ##\nabla\Phi## into the MOND-modified version of Newton's 2nd law that weird non-Keplerian orbital features emerge.

Now consider a star (or indeed a wide binary) orbiting somewhere near the outer region of a spiral galaxy. The centre-of-mass of the star experiences none of the field sourced by the star's matter, but it does experience the field ##\nabla\Phi_G## sourced by the rest of the mass in the galaxy. Matter further out in the star feels the (vector) sum of ##\nabla\Phi_G##, and the ##\nabla\Phi_S## sourced by matter deeper within the star.

Therefore, for much of the matter in a star, ##|\nabla\Phi_S|## vastly exceeds ##a_0## as it dwarfs ##\nabla\Phi_G##, so MOND says we should see Newtonian/Einsteinian behaviour for the matter in a star, considered in terms of relative coordinates applicable within the star.
But the center-of-mass of the star continues to feel ##\nabla\Phi_G## which is at, or well below, ##a_0##. Hence the star as whole behaves in MONDian fashion with respect to its orbit within the galaxy.

A similar argument applies to binary systems, where each member of the binary is regarded as an atomic body. But now, for "wide binaries", where the inter-star field is weak, below ##a_0##, one should start to see MONDian behaviour appear in the relative orbits of the binaries. Unfortunately, this is complicated by the fact that the total field felt by each member of the binary includes a contribution from ##\nabla\Phi_G## of the galaxy (oriented towards the galactic centre). Hence the earlier decomposition of the simpler 2-body problem into CoM and Rel coordinates no longer works cleanly because the galactic background field must be taken into account, and one has (at least) a 3-body-like problem (or 2-body in a weak background field).

[Compare the above with the related situation that occurs when working with the Schwarzschild-DeSitter metric in GR. At some point the expansionary (repulsive) deSitter part of the metric dominates the usual Schwarschild attraction, but the detail is inconveniently nonlinear and messy near the transition radius.]

HTH.
 
Last edited:
  • Like
Likes   Reactions: Davephaelon, ohwilleke and vanhees71
  • #16
So in short, for small ##r## or big acceleration modifying gravity is not needed (the ##1/r## contribution is small compared to the ##1/r^2## contribution). Thus MOND (simply from the math) applies numerically not to the interior of a star but very much so for objects distant enough from the star.

The EFE comes from distant mass and gives more or less the same vector addition (but slightly tilted) to acceleration for the two stars in a wide binary. If the forces between the binary are small enough, it's reasonable that this gives a slight additional attraction between the stars. The problem isn't therefore that the EFE is vague, mathematically it's well-defined and possible to calculate given enough data.
 
  • #17
PeterDonis said:
This is the part I was asking about--it looks to me like by "external gravitational field" they mean "net acceleration due to gravity due to nearby external masses", but as I said, at least to a first approximation there should be zero net acceleration due to gravity due to nearby external masses. So I don't understand where they're even getting the claimed source for this effect from.
An example may help. Imagine a disk-galaxy.

In the central part of the galaxy, the acceleration on local stars towards the center of the galaxy from the Newtonian gravitational pull of the galaxy exceeds a0 and there are no MOND effects of any kind on stars in that part of the galaxy.

Beyond that ring, the acceleration on local stars towards the center of the galaxy from the pre-MOND Newtonian gravitational pull of the galaxy is below a0 and MOND has the effect of increasing the acceleration on local stars towards the center of the galaxy to a0.

If wide binary stars were in a void in deep space, isolated from any nearby galaxies that could create an external field effect, and at a distance where their Newtonian gravitational pull on each other was 0.1 a0, MOND would predict that their gravitational pull on each other would produce a gravitational acceleration of a0.

Suppose that at a particular radius out from the center of the galaxy, the pre-MOND Newtonian gravitational pull of the galaxy is 0.5 a0. Then, at that radius out, roughly speaking, MOND effects between wide binary stars won't exceed 0.5 a0, even if the gravitational pull of one wide binary star on another is only 0.1 a0.

The wide binary stars that are being studied for MOND effects are in parts of the Milky Way in where the the pre-MOND Newtonian gravitational pull of the galaxy is less than a0, but not negligible, so there is a significant External Field Effect that needs to be accounted for.
 
  • Like
Likes   Reactions: KurtLudwig
  • #18
PeterDonis said:
But this is part of standard GR
First, MOND is not GR. I would argue that it may not even be a field theory, especially in the Modified Inertia formulation. If you try and make it "Just like GR except for..." you will do no better than QM popularizations attempting more or less the same thing with QM.

There's not even an Eotvos-like experiment in the MOND regime.

One could call the EFE the Internal Field Effect (do we name it by what matters or what should matter but doesn't) or what it probably should be called: the Superposition Effect. Fields don't superpose in MOND like they do everywhere else - that's why I said its not really a field theory.

What are we asked to believe?
  • We can't test MOND on the bench because g >> a0.
  • Stars behave MONDy even though their surface gravity >> a0 (and typically is > g)
  • The gravitational tug of planets on stars is Newtonian (six planets tug on the sun with much more than a0; Mars and Neptune just a bit more)
  • Binary stars, however, tug on their partners in a fully MONDy manner. Unless, of course, they don't, in which case they go on the exceptions list.
I would argue this is a mess. It is perhaps less messy with modified inertia than modified gravity.

Note that I am not complaining that MOIND is not GR, which is the usual complaint.
 
  • Skeptical
  • Like
Likes   Reactions: strangerep and fresh_42
  • #19
Vanadium 50 said:
The gravitational tug of planets on stars is Newtonian (six planets tug on the sun with much more than a0; Mars and Neptune just a bit more)
It's a good argument, I think. Asteroids and pluto and such probably tug less than a0, although I did no calculations.

Perhaps the radius inverse instead of inverse squared makes this effect unnoticable? The factor is 4 or 5 light hours versus (##365×4,25##) light days for proxima centauri. So the effect is then around ##365×24=8760## times smaller.

Oh and for references of this: Alexandre Deur, the 2D matter distribution gives the ##1/r## SI-term for gravitons. See http://dispatchesfromturtleisland.blogspot.com/p/deurs-work-on-gravity-and-related.html?m=1 paragraph of disk-like masses
 
Last edited:
  • #20
Vanadium 50 said:
The gravitational tug of planets on stars is Newtonian (six planets tug on the sun with much more than a0; Mars and Neptune just a bit more)
Not quite.

On average, Mars is about 1.52 AU from the Sun, Ceres is 2.8 AU from the Sun, and Neptune is about 30 AU from the Sun. Pluto's average distance from the Sun is about 5.9 billion km (about 39 AU), although it is quite far from a circular orbit, so sometimes it is quite a bit further and sometimes it is somewhat closer.

In Modified Newtonian Dynamics (MOND), there is one experimentally determined physical constant:

a0 = 1.2 x 10-10 ms-2

This constant is the characteristic acceleration due to a gravitational field, above which ordinary Newtonian gravity applies and below which an enhanced gravitational field strength leading to flat rotation curves in spiral galaxies is present in MOND.

How big is a0 in reference to something understandable?

In Newtonian gravity, the gravitational field of the Sun alone falls to that strength at a distance of about 1,052 billion km a.k.a. about 1015 meters, which is about 7000 astronomical units (AU) (to slightly more precision it is 7032 AU). An AU, which is 149.6 million km, which is the average distance of the Earth from the Sun. Equivalently, this is about 1/9th of the light year from the Sun. This 7000 AU threshold is confirmed by MOND specialist Stacy McGaugh here.

This is about 180 times the average distance of Pluto from the Sun. The 7032 AU threshold is about 59 times more distant from the Sun that the heliosphere, which is a functional definition of where the solar system ends and deep interstellar space begins, that is about 18 billion km (120 astronomical units) from the Sun.

As of February 2018, Voyager 1, the most distant man made object from Earth, was about 21 billion km from Earth (about 140 AU), and Voyager 2, the second most distant man made object from Earth is about 17 billion km from Earth (about 114 AU). Both were launched 43 years ago in 1977. These probes (which will run about of power around the year 2025), will reach this distance from the Sun about 2000 years from now in around 4000 CE.

So, due to the external field effect from the Sun, MOND-ian gravitational effects shouldn't be visible anywhere in the solar system, unless you have a very odd interpolation function.

This was confirmed experimentally when the "Pioneer anomaly" was debunked when it was explained by some very slight acceleration effects related to the design of the Pioneer mission probes:

The Pioneer anomaly, or Pioneer effect, was the observed deviation from predicted accelerations of the Pioneer 10 and Pioneer 11 spacecraft after they passed about 20 astronomical units (3×109 km; 2×109 mi) on their trajectories out of the Solar System. The apparent anomaly was a matter of much interest for many years but has been subsequently explained by anisotropic radiation pressure caused by the spacecraft's heat loss.

Both Pioneer spacecraft are escaping the Solar System but are slowing under the influence of the Sun's gravity. Upon very close examination of navigational data, the spacecraft were found to be slowing slightly more than expected. The effect is an extremely small acceleration towards the Sun, of (8.74±1.33)×10−10 m/s2, which is equivalent to a reduction of the outbound velocity by 1 km/h over a period of ten years. . . .

By 2012, several papers by different groups, all reanalyzing the thermal radiation pressure forces inherent in the spacecraft, showed that a careful accounting of this explains the entire anomaly; thus the cause is mundane and does not point to any new phenomenon or need to update the laws of physics.
Likewise, no MOND effect is observed in any of our Solar system's planets, including dwarf planet Pluto, whose dynamics have been measured quite precisely.

You are welcome to check my math (which would have to be off by two orders of magnitude for there to be MOND effects on the planets and dwarf planets of our solar system). Some of the relevant physical constants (especially Newton's constant times the mass of the Sun which is 1.3271 * 1020 meters3/seconds2, and the gravitational constant a.k.a. Newton's constant 𝐺, which is 6.67430(15) × 10-11 m3 kg-1 s-2) can be found here.

GM/r2 for the mass of the Sun at 1015 meters from the Sun is 1.3271 * 1020 meters3/seconds2 divided by (1.052*1015 meters)2 = 1.2 * 10-10 ms-2 which is equal to a0 which is 1.2 * 10-10 ms-2 at the two significant digit precision to which a0 is known.

See also #25 below, discussing the impact of the External Field Effect of the Milky Way galaxy itself on expected MOND effects in the vicinity of 200-300 parsecs of Earth where the GAIA wide binary data that is analyzed in these papers gives rise to. This would mute or eliminate MOND effects even beyond this 7032 AU distance from our Sun where MOND effects would otherwise be expected to be seen.
 
Last edited:
  • #21
To be clear, most of the rotation curves come from gas, not stars. A theory where MOND describes gas but not star behavior has troubles and is probably excluded, but despite what popularizations on the inetrwebs tell you, most data is gas.

Yes, you can patch up MOND by turning it from a 1-parameter theory to a 2-parameter theory - a0 and range or possibly a0 and composition, but at some point someone will say the word "epicycles." If the point of MOND is its simplicity, making it more complicated will not help it.

Ceres' and Pluto's acceleration is below a0.
 
  • #22
ohwilleke said:
An example may help.
I don't see how any of your post relates to how the claimed External Field Effect works in the papers that were referenced earlier in the thread.
 
  • #23
Vanadium 50 said:
Ceres' and Pluto's acceleration is below a0.
Not true. See #20.

The point about most a galaxy's mass being mostly gas, however, is mostly correct.

I seen estimates that somewhere from as little as 10% to as much as 40% (both which are less than 50%) of the mass of the Milky Way (a pretty typical galaxy), that is not inferred dark matter, comes from stars.

Sagittarius A* (the supermassive black hole at the center of the Milky Way) has a mass equal to about 1/10,000th of the mass of the stars in the Milky Way.

(As an aside, there is a moderately strong correlation between the size of a galaxy's central black hole and the galaxy's total mass despite the fact that the mass of a galaxy's central black hole is generally minuscule in magnitude relative to the mass of the galaxy itself, or even the galaxy's stars. It isn't entirely clear why this correlation is as strong as it appears to be. Often, it is assumed that it has something to do with the galaxy mass assembly process, which has similarities for all galaxies.)

Some of the galaxy's mass is made up of stellar and intermediate sized black holes and white dwarf stars and brown dwarfs (which are arguably not stars) that we can't see directly with our existing telescopes.

Some of the galaxy's mass is interstellar gas and dust. This is probably most of the rest, but that isn't a definitive measurement and is mostly based upon a process of elimination estimate.

Very little of of the mass of the galaxy (a fraction of a percent of the mass of its stars) is in planets and asteroid sized bodies that are not stars (only about half of which are associated with stars and the rest of which are just big lumps of ordinary matter floating around in empty space).

But the exact make up of the non-stellar, ordinary non-dark matter in the Milky Way is not well resolved or accounted for. See also, e.g., here and here.
 
Last edited:
  • #24
Structure seeker said:
If the forces between the binary are small enough, it's reasonable that this gives a slight additional attraction between the stars
WRONG! Sorry.
 
  • #25
PeterDonis said:
I don't see how any of your post relates to how the claimed External Field Effect works in the papers that were referenced earlier in the thread.
Here is how Stacy McGaugh explained how the EFE works in the papers referenced:
mwsmalltolarge_youarehere.png

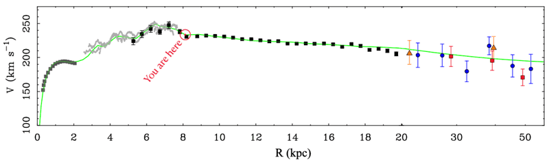
The RAR-based model rotation curve of the Milky Way extrapolated to large radii (note the switch to a logarithmic scale at 20 kpc!) for comparison to the halo stars of Bird et al (2022) and the globular clusters of Watkins et al (2019). The location of the solar system is noted by the red circle. . . .
Gaia is great for identifying binaries, and space is big. There are thousands of wide binaries within 200 pc of the sun where Gaia can obtain excellent measurements. That’s not a big piece of the galaxy – it is a patch roughly the size of the red circle in the rotation curve plot above – but it is still a heck of a lot of stars. A signal should emerge, and a number of papers have now appeared that attempt this exercise. And ooooo-buddy, am I confused. Frequent readers will have noticed that it has been a long time between posts. There are lots of reasons for this, but a big one is that every time I think I understand what is going on here, another paper appears with a different result.

OK, first, what do we expect? Conventionally, binaries should show Keplerian behavior whatever their separation. Dark matter is not dense enough locally to have any perceptible impact. In MOND, one might expect an effect analogous to the flattening of rotation curves, hence higher velocities than predicted by Newton. And that’s correct, but it isn’t quite that simple.

In MOND, there is the External Field Effect (EFE) in which the acceleration from distant sources can matter to the motion of a local system. This violates the strong but not the weak Equivalence Principle. In MOND, all accelerative tugs matter, whereas conventionally only local effects matter.

This is important here, as we live in a relatively high acceleration neighborhood that is close to a0. The acceleration the sun feels towards the Galactic center is about 1.8 a0. This applies to all the stars in the solar neighborhood, so even if one finds a binary pair that is widely separated enough for the force of one star on another to be less than a0, they both feel the 1.8 a0 of the greater Galaxy. A lot of math intervenes, with the net effect being that the predicted boost over Newton is less than it would have been in the absence of this effect. There is still a boost, but its predicted amplitude is less than one might naively hope.
rar2016_youarehere.png

The location of the solar system along the radial acceleration relation is roughly (gbar, gobs) = (1.2, 1.8) a0. At this acceleration, the effects of MOND are just beginning to appear, and the external field of the Galaxy can affect local binary stars.

One of the first papers to address this is Hernandez et al (2022). They found a boost in speed that looks like MOND but is not MOND. Rather, it is consistent with the larger speed that is predicted by MOND in the absence of the EFE. This implies that the radial acceleration relation depicted above is absolute, and somehow more fundamental than MOND. This would require a new theory that is very similar to MOND but lacks the EFE, which seems necessary in other situations. Weird.

A thorough study has independently been made by Pittordis & Sutherland (2023). I heard a talk by them over Zoom that motivated the previous post to set the stage for this one. They identify a huge sample of over 73,000 wide binaries within 300 pc of the sun. Contrary to Hernandez et al., they find no boost at all. The motions of binaries appear to remain perfectly Keplerian. There is no hint of MOND-like effects. Different.

OK, so that is pretty strong evidence against MOND, as Indranil Banik was describing to me at the IAU meeting in Potsdam, which is why I knew to tune in for the talk by Pittordis. But before I could write this post, yet another paper appeared. This preprint by Kyu-Hyun Chae splits the difference. It finds a clear excess over the Newtonian expectation that is formally highly significant. It is also about right for what is expected in MOND with the EFE, in particular with the AQUAL flavor of MOND developed by Bekenstein & Milgrom (1984).

So we have one estimate that is MOND-like but too much for MOND, one estimate that is straight-laced Newton, and one estimate that is so MOND that it can start to discern flavors of MOND.
Thus, our solar system and its vicinity is entirely within the External Field Effect of the Milky Way since the Newtonian acceleration of the Milky Way on the Sun is about 1.8 times a0, so we wouldn't actually expect to see a MOND effect even at much more than 7032 AU from the Sun, even if MOND is correct. But, some of the GAIA wide binaries which are being studied are 200-300 parsecs further from the center of the Milky Way than our Sun which some MOND effects are expected to start to appear with some reasonable interpolation functions between the Newtonian regime and the MOND regime.

So, a MOND effect that is only partially reduced by the EFE of the Milky Way might be observable in these wide binaries if one can measure their motion precisely enough and confirm with enough confidence that they really are wide binaries and aren't actually systems of three or more stars.

On the other hand, since the wide binaries observed by GAIA are so close to the a0 threshold of MOND, the details of the particular interpolation function between the Newtonian and MOND regimes used in a particular operationalization of MOND (something the Milgrom recognized was a fairly arbitrary detail of his phenomenological theory at the outset in 1983) matter a great deal to determine the predicted MOND effect in this wide binaries and that means that even a negative result could just imply that the particular operationalization of MOND used is using the wrong interpolation function.

We can't yet make detailed observations of meaningful sample sizes (which are necessary to overcome the uncertainties in the experimental measurement) of wide binary stars (that have exact two stars and not three or more) in places where the external field effect is expected to be negligible and any MOND effect on them would be unmistakable in any operationalization of MOND.

McGaugh also shared some of the exchanges between the authors of the papers at the May 2023 "MOND at 40" conference which he attended, in a post written after the one quoted above. He concludes that post as follows:
This is how the science sausage is made. As yet, there is no consensus.

popcorn_colbert.gif
 
Last edited:
  • #26
Structure seeker said:
Oh and for references of this: Alexandre Deur, the 2D matter distribution gives the ##1/r## SI-term for gravitons. See http://dispatchesfromturtleisland.blogspot.com/p/deurs-work-on-gravity-and-related.html?m=1 paragraph of disk-like masses
Deur's Analysis As Applied To Wide Binary Stars

In Deur's analysis, the self-interaction term between wide binaries produces a negligible effect even for wide binary stars not subject to a significant external field effect in a MOND analysis. The gravitational fields of a single star are too small for the self-interactions of these fields to be discernible, even though the two point-like matter sources have a geometry that maximizes the second order self-interaction effect.

In his analysis it takes a system with a scale on the order of a galaxy for the field generated to be big enough for the second order self-interaction of the ordinary matter system's gravitational field to be big enough to be measurable.

Full disclosure: Deur does not directly make the observation that I describe above.

Instead, I have used a formula from his work, GM/sizesystem, which is a function of the mass of the system and its characteristic length. He claims that this formula estimates the strength of the self-interaction effect in the system and can be used to determine when a system should exhibit discernible second order gravitational self-interaction effects, with the value of this formula for a typical galaxy exhibiting MOND effects being 10-3.

My calculations are spelled out here, where I consider a range of separation distances, star masses, and effects attributable to the pair of point masses-like geometry and plug those into his formula. I conclude that the self-interaction effect in wide binary systems should be 100,000 to 250 times weaker than in a typical spiral galaxies like the Milky Way. With the most realistic parameters and assuming a strong enhancement from the point-mass geometry of the system, it would probably be about 2,500 times weaker than in the typical spiral galaxy case. Given the limited precision of astronomy observations and the background noise of uncertainty in the Newtonian gravitational value, this would not be discernible with current telescope technology.

The Interpolation Function In Deur's Analysis

Deur's analysis also does provide a very simple interpolation function that flows from the underlying theory rather than simply being an arbitrary function fit to the data as it is in MOND.

In Deur's analysis, the first order Newtonian gravitational pull of the galaxy on a point mass (neglecting strong field GR effects that don't apply) weakens according to the usually 1/r2 formula.

The second order gravitational field self-interaction effect (which he sees as a non-perturbative weak field effect arising from plain old General Relativity, which he asserts critics have failed to rule out because they used only perturbative methods to analyze the weak field GR effect), meanwhile, has a 1/r term multiplied by a physical constant that should be possible to determine in principle at least merely from Newton's constant and the geometry of the matter distribution.

In this analysis, the MOND constant a0 simply reflects the point where the magnitude of the second order effect becomes comparable in magnitude to the first order Newtonian gravitational pull of the galaxy when the matter in the galaxy is distributed in an idealized disk shape with a proportionally typical amount of concentration of ordinary matter towards the center of the galaxy.

Non-Disk Shaped Systems In Deur's Analysis

The functional form of the second order effect changes, and its magnitude decline in Deur's analysis of the matter distribution becomes more spherically symmetric.

The functional form of the second order effect changes, and its magnitude increases in Deur's analysis, when the matter distribution begins to approximate two galaxy sized point sources.
 
Last edited:
  • #27
ohwilleke said:
This explanation just seems like a bunch of handwaving and misstatements. For example:

"In MOND, all accelerative tugs matter, whereas conventionally only local effects matter."

No, that's not correct. Even in the Newtonian approximation, all "accelerative tugs" matter--in a Newtonian inertial frame centered on the Milky Way galaxy, you have to include the "accelerative tugs" from the entire Milky Way in order to properly model the motion of the solar system. If you just include "local effects", as if the Milky Way exerted no gravity on the solar system, you would get the wrong answer. Or, to put it another way, the solar system orbits the center of the Milky Way, and that requires that "all accelerative tugs matter", not just local ones.

In GR terms, the spacetime geometry is the result of all the stress-energy present, not just "local" stress-energy.

I realize that all this is a description in ordinary language, and ordinary language is often a poor tool for describing physics; whereas the actual MOND predictions are made using math. Is there a reference that goes through the actual math of the "External Field Effect" in detail?
 
  • #28
Structure seeker said:
WRONG! Sorry.

Ceres:

[tex]g = \frac{GM}{r^2}[/tex]
[tex]g = \frac{(6.67 \times 10^{-11})(9.1 \times 10^{20})}{(400 \times 10^{9})^2} \approx 0.003 a_0[/tex]

Pluto is left as an exercise for the student.
 
  • #29
Vanadium 50 said:
Ceres:

[tex]g = \frac{GM}{r^2}[/tex]
[tex]g = \frac{(6.67 \times 10^{-11})(9.1 \times 10^{20})}{(400 \times 10^{9})^2} \approx 0.003 a_0[/tex]

Pluto is left as an exercise for the student.
It isn't the mass of Ceres that is relevant. It is the mass of the Sun. The Sun's gravitational pull on Ceres far exceeds a0, and since Ceres is within a gravitational field that exceeds a0, MOND predicts that the gravitational interaction is entirely Newtonian.

If this weren't the case, all low mass objects would be subject to MOND-like behavior even though high mass objects would not be. So, for example, a cube-sat sized probe bound for Venus would experience MOND-like gravity, even though neither Earth nor Venus would. We know, however, for example, from the Pioneer probes, that this isn't what happens.
 
Last edited:
  • #30
PeterDonis said:
This explanation just seems like a bunch of handwaving and misstatements. For example:

"In MOND, all accelerative tugs matter, whereas conventionally only local effects matter." . . . I realize that all this is a description in ordinary language, and ordinary language is often a poor tool for describing physics; whereas the actual MOND predictions are made using math.
As I read what McGaugh is trying to say, in language that makes sense to people not familiar with general relativity, he is saying that as a consequence of the external field effect in MOND, the strong equivalence principle (i.e. the principle that: "The outcome of any local experiment (gravitational or not) in a freely falling laboratory is independent of the velocity of the laboratory and its location in spacetime") is violated in MOND, even though it is not violated in GR. Many articulations of the strong equivalence principle make the "local" v. "external" distinction that he is referencing.
PeterDonis said:
Is there a reference that goes through the actual math of the "External Field Effect" in detail?
Milgrom discusses it generally at Scholarpedia with references including Milgrom, 1983a; Bekenstein & Milgrom, 1984; Milgrom, 2014, and Milgrom, 2022 (modified inertia), for which citations and links are as follows:
The Scholarpedia article also notes in a discussion that includes the wide binary papers being discussed in this thread that:
The detailed dependence on the specific MOND theory (e.g., Milgrom, 2014) is particularly important when gex∼a0, where the departure of MOND from Newtonian dynamics is small, but possibly not negligible. This fact is relevant, e.g., for suggested tests in small systems in the Milky way, not far from the sun, where the galactic acceleration, gex=(1.5−2)a0. For example, the study of dynamics perpendicular to the galactic disc, or that using wide binaries (Hernandez, Jimenez & Allen, 2012; Pittordis & Sutherland, 2018; Banik & Zhao, 2018; Chae, 2023). These are expected to depart only a little from Newtonian behavior; but exactly how little depends strongly on the MOND formulation.

Milgrom, 2022 showed that in the framework of `modified-inertia' formulations of MOND, the strength of the EFE, and, in particular, its application to dynamics in the Galaxy, near the sun, can be quite different from what is predicted in the framework of `modified-gravity' formulations.
 
Last edited:

Similar threads

  • · Replies 1 ·
Replies
1
Views
2K
  • · Replies 1 ·
Replies
1
Views
3K
  • · Replies 14 ·
Replies
14
Views
5K
  • · Replies 11 ·
Replies
11
Views
5K
  • · Replies 2 ·
Replies
2
Views
3K
  • · Replies 6 ·
Replies
6
Views
2K
  • · Replies 3 ·
Replies
3
Views
3K
  • · Replies 19 ·
Replies
19
Views
6K
  • · Replies 14 ·
Replies
14
Views
5K
  • · Replies 72 ·
3
Replies
72
Views
11K