Predicting Changes in Interference Patterns using Laser Interference Equations

Click For Summary

Homework Help Overview

The discussion revolves around predicting changes in interference patterns created by a laser, specifically focusing on how to achieve closer fringes using relevant equations. The original poster presents an example involving the relationship between fringe distance, wavelength, and slit separation, while seeking alternative methods to modify the interference pattern.

Discussion Character

  • Exploratory, Assumption checking, Problem interpretation

Approaches and Questions Raised

  • The original poster attempts to explore how changing the distance between the slits and the screen affects the fringe distance. They also seek a second method to alter the slit separation without using the provided example. Some participants suggest considering the distance between the slits as a variable in the equations.

Discussion Status

The discussion is ongoing, with participants providing insights and clarifications. The original poster expresses confusion about their calculations and acknowledges a realization regarding their earlier conclusions. There is an indication of productive engagement, but no explicit consensus has been reached.

Contextual Notes

The original poster mentions a struggle with deriving a second method to change the slit separation and has referenced their work document for clarity. There is a note of confusion regarding the interpretation of variables in the equations presented.

fatcats
Messages
34
Reaction score
1

Homework Statement


Imagine that you are conducting an activity with a laser to create an interference pattern. Use the appropriate equations to predict two ways (other than the way described in the following example) to change the interference pattern in order to have closer fringes. Explain your predictions.
Their example : Δx = Lλ/d
the distance between the fringes (Δx) is proportional to the wavelength (since they are both numerators). This means that increasing one will increase the other. Therefore, decreasing the wavelength will decrease the distance between the fringes. (Hint: You can use the "Thomas Young's Double-slit Experiment" simulation to verify predictions).

Homework Equations


Δx = Lλ/d
(n-1/2)λ=dx/L
(n-1/2)λ=d sintheta n

The Attempt at a Solution


x = mLλ/d
x is directly proportional to the distance from the slits to the screen. Increasing distance between the slits and the projection area will make the bands closer.

Where I am struggling is a second way to show how to alter d, without using their example. This is what I tried:

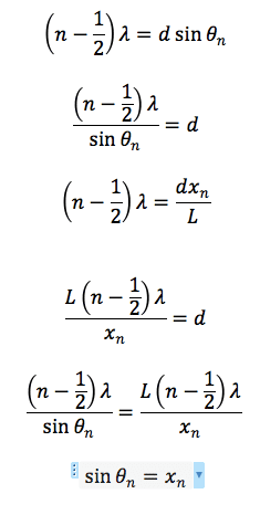
(n-1/2λ)=d sintheta n
Please see my attached work document for my work, it is very legible.
Basically I rearranged (n-1/2)λ=dx/L for D, and substituted for d (n-1/2)λ=d sintheta n, then rearranged for x. I got:

L(sintheta) = x
How does that make sense? If the angle is 90 then the distance of the fringes will be equal to the distance from the screen to the fringes? What am I doing wrong?
 

Attachments

  • Screen Shot 2018-02-04 at 6.57.01 PM.png
    Screen Shot 2018-02-04 at 6.57.01 PM.png
    5.8 KB · Views: 561
Physics news on Phys.org
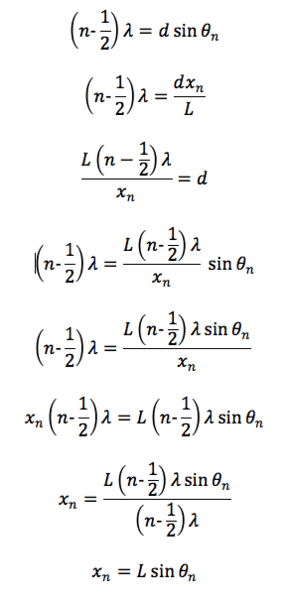
Updating my second equation because I realized it was out of order and didn't make sense anyway
I still got the same answer though.

(n-1/2λ)=d sintheta n
Basically I rearranged (n-1/2)λ=dx/L for D, and substituted for d (n-1/2)λ=d sintheta n, then rearranged for x. I got:
L(sintheta) = x
 

Attachments

  • Screen Shot 2018-02-04 at 11.11.58 PM.png
    Screen Shot 2018-02-04 at 11.11.58 PM.png
    13.7 KB · Views: 571
Perhaps you can consider distance between both slits as a variable; I think equation 3 is the one describing that relationship. the "d" in equation 3 is not distance to screen, but rather distance between both slits if I am interpreting this correctly.
 
oh my goodness I am insane and I have no idea how I missed the solution right in front of my nose. thank you for your reply. I had compared d already.

so I had the right answer earlier and for some reason late at night chose to delete it and redo it... I deleted my statement about the L variable, the distance from the slits to the screen! sorry for posting this and thanks for your time.
 

Similar threads

  • · Replies 1 ·
Replies
1
Views
3K
Replies
6
Views
7K
  • · Replies 3 ·
Replies
3
Views
1K
  • · Replies 3 ·
Replies
3
Views
2K
  • · Replies 5 ·
Replies
5
Views
4K
  • · Replies 6 ·
Replies
6
Views
1K
  • · Replies 2 ·
Replies
2
Views
2K
  • · Replies 1 ·
Replies
1
Views
3K
  • · Replies 1 ·
Replies
1
Views
1K
  • · Replies 6 ·
Replies
6
Views
5K