Probability: pair of random variables

Click For Summary

Homework Help Overview

The discussion revolves around a probability problem involving a pair of random variables and the calculation of conditional probabilities. Participants are examining the setup and integration bounds for a specific part of the problem, particularly focusing on the correct formulation of the numerator and denominator in the context of joint and marginal probabilities.

Discussion Character

  • Exploratory, Mathematical reasoning, Assumption checking

Approaches and Questions Raised

  • Participants discuss the correct application of the formula for conditional probability and the necessity of using double integrals for the denominator. There are attempts to clarify the integration bounds and the structure of the integrals involved in the problem.

Discussion Status

Some participants have provided guidance on the correct setup for the integrals and have pointed out potential errors in the original approach. There is acknowledgment of the need for further verification of the integral bounds, and while some participants agree on the final answer for part (d), there is no explicit consensus on the correctness of parts (a) to (c).

Contextual Notes

Participants are working under the constraints of homework rules, which may limit the information they can share or the methods they can use. There is an ongoing discussion about the integration limits and the splitting of constants in the probability density functions.

ashah99
Messages
55
Reaction score
2
Homework Statement
Problem shown below. Various topics related to the joint pdf and RVs
Relevant Equations
Equations used are shown in working attempt below.
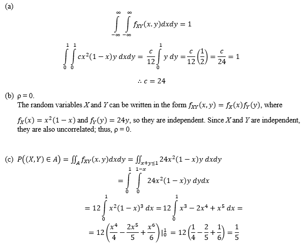
Hello all, I would like to check my understanding and get some assistance with last part of the following question, please.
For part (d), would I use f(x | y) = f(x, y) / f(y) ?

Problem statement:
1662330843900.png


My attempt at a solution, not too confident in my set-up for part (d). I drew a sketch of the region of integration.

1662330860401.png

1662330930606.png
 
Physics news on Phys.org
Your approach is broadly correct, with a few glitches in implementation.

The denominator in the last line must be a double integral, otherwise you can't get a value for it. You need to integrate over the rectangle ##[0,1]\times [0,0.5]##.
You need to break the numerator into two separate integrals: one covering the square on the left and one covering the triangle on the right.

One does not write, as in your central expression on the last line:
$$\frac{f_{XY}(X+Y\leq 1, Y\leq 0.5)}
{f_Y(Y\leq 0.5)}$$
You should write something like
$$\frac{Pr(X+Y\leq 1\wedge Y\leq 0.5)}
{Pr(Y\leq 0.5)}$$
where the ##Pr## indicates 'probability of' and ##\wedge## means 'and'.
 
andrewkirk said:
Your approach is broadly correct, with a few glitches in implementation.

The denominator in the last line must be a double integral, otherwise you can't get a value for it. You need to integrate over the rectangle ##[0,1]\times [0,0.5]##.
You need to break the numerator into two separate integrals: one covering the square on the left and one covering the triangle on the right.

One does not write, as in your central expression on the last line:
$$\frac{f_{XY}(X+Y\leq 1, Y\leq 0.5)}
{f_Y(Y\leq 0.5)}$$
You should write something like
$$\frac{Pr(X+Y\leq 1\wedge Y\leq 0.5)}
{Pr(Y\leq 0.5)}$$
where the ##Pr## indicates 'probability of' and ##\wedge## means 'and'.

Thank you for the pointers. I very well could still be off on the integral bounds, but if I understood your reply correctly, I get an answer of 0.5875.

1662386991772.png
 
That's right. Note that you could have written the numerator as
$$\int_0^{1/2}\int_0^{1-y} f(x,y)\,dx\,dy.$$ Your original attempt just had the limits wrong. What @andrewkirk probably had in mind was
$$\int_0^{1/2}\int_0^{1/2} f(x,y)\,dy\,dx + \int_{1/2}^1 \int_0^{1-x} f(x,y)\,dy\,dx$$ The first integral is the square, and the second integral is the triangular region.
 
vela said:
That's right. Note that you could have written the numerator as
$$\int_0^{1/2}\int_0^{1-y} f(x,y)\,dx\,dy.$$ Your original attempt just had the limits wrong. What @andrewkirk probably had in mind was
$$\int_0^{1/2}\int_0^{1/2} f(x,y)\,dy\,dx + \int_{1/2}^1 \int_0^{1-x} f(x,y)\,dy\,dx$$ The first integral is the square, and the second integral is the triangular region.

Thank you for your explanation and the integral bounds that you proposed are more intuitive. Do you agree with the final answer for (d)? Also, are my answers for parts (a) - (c) correct? I realize that I have to split the constant c=24 between FX(x) and fY(y) such that both would integrate to 1, i.e. fX (x) = 12x^2(1-x) and fY(y) = 2y.
 
I got the same answer for (d). The rest looks good as well.
 

Similar threads

  • · Replies 2 ·
Replies
2
Views
1K
  • · Replies 1 ·
Replies
1
Views
2K
  • · Replies 1 ·
Replies
1
Views
1K
Replies
2
Views
2K
Replies
2
Views
2K
  • · Replies 30 ·
2
Replies
30
Views
5K
Replies
9
Views
2K
  • · Replies 4 ·
Replies
4
Views
3K
  • · Replies 1 ·
Replies
1
Views
2K
  • · Replies 5 ·
Replies
5
Views
2K