Quantum Chemistry - Particle in a box

Click For Summary
SUMMARY

The discussion focuses on the application of the Schrödinger equation to a particle in a box scenario in quantum chemistry. Participants emphasize the importance of using LaTeX for clarity in mathematical expressions and provide references for further reading. A key conclusion drawn is that applying l'Hospital's rule leads to the probability of finding the particle in the leftmost quarter of the box being 1/4 at high energies, specifically when m approaches infinity.

PREREQUISITES
  • Understanding of the Schrödinger equation in quantum mechanics
  • Familiarity with LaTeX for mathematical notation
  • Knowledge of l'Hospital's rule for limits
  • Basic principles of quantum mechanics, particularly the particle in a box model
NEXT STEPS
  • Study the derivation of the Schrödinger equation for a particle in a box
  • Learn how to apply l'Hospital's rule in various mathematical contexts
  • Explore the implications of quantum mechanics on particle probability distributions
  • Practice using LaTeX for formatting complex equations
USEFUL FOR

Students and researchers in quantum chemistry, physicists studying quantum mechanics, and anyone interested in the mathematical foundations of quantum systems.

Amblambert
Messages
1
Reaction score
1
Homework Statement
For the particle in a box, sketch ψn(x) and ψn2(x) for n = 5. Is ψn(x) an eigenfunction of the momentum operator?

If the state of the system is ψn, what is the probability of finding the particle in the
left quarter of the box between 0 and L/4? What happens when n is large?
Relevant Equations
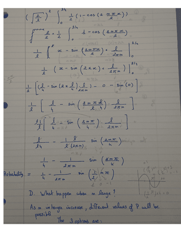
ψn = sqrt(2/l) sin (npix/l)
Here is my attempt at a solution. The thing I am not sure about is the final result of the Shrodinger equation and the n-values that are offered?

Did I make a math mistake?

Thank you so much for reading through this!
DSC_4953.JPG
DSC_4954.png
DSC_4955.png
DSC_4956.JPG
 
Physics news on Phys.org
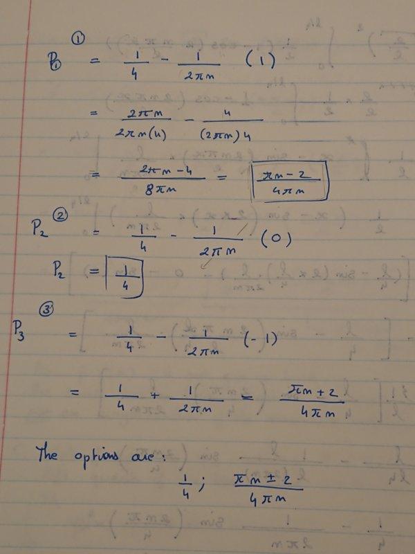
Apply l'Hospital's rule to deduce that
\begin{align*}
\lim_{m\rightarrow\infty}\frac{m\pi \pm 2}{4m\pi} &= \frac{1}{4}
\end{align*}
and conclude that the probability for finding the particle in the leftmost quarter of the box is ##1/4## at high energies (i.e. large ##m##).
 
Last edited:

Similar threads

  • · Replies 4 ·
Replies
4
Views
3K
  • · Replies 7 ·
Replies
7
Views
2K
  • · Replies 5 ·
Replies
5
Views
3K
  • · Replies 4 ·
Replies
4
Views
3K
  • · Replies 5 ·
Replies
5
Views
3K
  • · Replies 4 ·
Replies
4
Views
5K
  • · Replies 43 ·
2
Replies
43
Views
11K
  • · Replies 1 ·
Replies
1
Views
2K
  • · Replies 13 ·
Replies
13
Views
4K
Replies
10
Views
3K