Symmetry in Problem Solving: Understanding Quick Integrals"

  • Thread starter Thread starter Mdhiggenz
  • Start date Start date
  • Tags Tags
    Integral
Click For Summary

Homework Help Overview

The discussion revolves around understanding the manipulation of integrals involving trigonometric functions, specifically the integrals of cos²(x) and sin²(x). The original poster is preparing for the Putnam exam and is exploring problem-solving strategies that utilize symmetry in integral calculus.

Discussion Character

  • Exploratory, Conceptual clarification, Mathematical reasoning

Approaches and Questions Raised

  • Participants discuss the relationship between the integrals of cos²(x) and sin²(x) and question how to derive the factor of 1/2 in the manipulation of these integrals. There are suggestions to use trigonometric identities and symmetry properties to aid in understanding.

Discussion Status

The discussion is ongoing, with participants providing hints and exploring different interpretations of the integral manipulation. Some guidance has been offered regarding the use of symmetry and trigonometric identities, but there is no explicit consensus on the reasoning behind the factor of 1/2.

Contextual Notes

Participants note that the original problem is framed within a homework context, leading to discussions about the appropriateness of the inquiry in this forum. There are also references to specific integral limits and the nature of the problem being similar to textbook-style questions.

Mdhiggenz
Messages
324
Reaction score
1

Homework Statement



Hello guys,

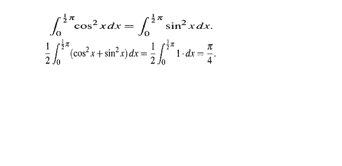
I'm studying for the Putnam, and I'm going over problem solving strategies involving symmetry. I got the symmetry portion correct, but their conclution to solving the integral is what confused me. I'm not sure how they got they got from ∫cos^2(x)dx=∫sin^2(x)dx to 1/2∫cos^2(x)+sin^2(x)dx



2vjdkc6.png



Homework Equations





The Attempt at a Solution

 
Physics news on Phys.org
What integral are you trying to calculate in the first place?
 
Use the trig identity cos^2 + sin^2 = 1 and re-write the first two integrals.

For example cos^2 = 1 - sin^2 and vice versa.
 
Still doesn't answer the question to where the 1/2 comes from
 
Mdhiggenz said:
Still doesn't answer the question to where the 1/2 comes from

This is a homework forum. You've got to show some effort.
 
And can you please give us the exact problem statement?
 
It isn't homework. I even linked you the answer lol.

The problem statement is to compute the integral 0<x<(1/2)∏ ∫cos^2(x)dx in your head.

The example wanted you to use symmetry so if you were able to picture the graph in your head you see that both cos(x) and sin(x) both are symmetric on the above interval.

So what they then do is what is shown in the first picture which I understand.

However what I don't understand is how the manipulate the first picture into the second picture.

Thanks

Higgenz
 
Hi Mdhiggenz! :smile:

Use the substitution y = π/2 - x in ∫0π/2 sin2x dx …

what do you get? :wink:

(and use that if A = B, then A = (A+B)/2)
 
Mdhiggenz said:
It isn't homework. I even linked you the answer lol.

The problem statement is to compute the integral 0<x<(1/2)∏ ∫cos^2(x)dx in your head.

The example wanted you to use symmetry so if you were able to picture the graph in your head you see that both cos(x) and sin(x) both are symmetric on the above interval.

So what they then do is what is shown in the first picture which I understand.

However what I don't understand is how the manipulate the first picture into the second picture.

Thanks

Higgenz

You had ##I=\int_{0}^{\pi/2} \cos^2x##. This is equivalent to ##I=\int_{0}^{\pi/2} \sin^2x##. Add the two.

This is the most basic stuff taught in integral calculus.
 
  • #10
Your OP may not be homework, but it was posted in a homework forum. PF has very explicit rules about what responses are permitted in homework forums. The PF administrators are very diligent about enforcing the rules and pointing out infractions. BTW, it is the folks who respond who acquire these infractions.

Hint: If your question is not homework, please post it in one of the non-homework forums.
 
  • #11
SteamKing said:
Your OP may not be homework, but it was posted in a homework forum. PF has very explicit rules about what responses are permitted in homework forums. The PF administrators are very diligent about enforcing the rules and pointing out infractions. BTW, it is the folks who respond who acquire these infractions.

Hint: If your question is not homework, please post it in one of the non-homework forums.

It actually does belong in the homework forums, even if it's not formally homework. This is a textbook-style problem. So it belongs here.
 
  • #12
Mdhiggenz said:
However what I don't understand is how the manipulate the first picture into the second picture. Higgenz

[tex]\int_0^{\pi/2}{\cos^2(x)dx}=\int_0^{\pi/2}{\sin^2(x)dx}=A[/tex]

The sum of the two integrals is 2A. But the sum of integrals is the same as the integral of the sum of the integrands. Call that I. You can integral the sum of sin2x+cos2x "in your head" - why? :-p. I=2A. What is A then?

ehild
 

Similar threads

  • · Replies 15 ·
Replies
15
Views
2K
  • · Replies 11 ·
Replies
11
Views
2K
  • · Replies 3 ·
Replies
3
Views
2K
  • · Replies 5 ·
Replies
5
Views
2K
  • · Replies 1 ·
Replies
1
Views
2K
  • · Replies 2 ·
Replies
2
Views
2K
Replies
7
Views
3K
Replies
3
Views
2K
  • · Replies 22 ·
Replies
22
Views
3K
  • · Replies 6 ·
Replies
6
Views
2K