Trouble finding the derivative

  • Thread starter Thread starter raul_l
  • Start date Start date
  • Tags Tags
    Derivative
Click For Summary

Homework Help Overview

The discussion revolves around finding the derivative of the function y=x ln (x+\sqrt{1+x^2})-\sqrt{1+x^2}, which involves logarithmic and square root components.

Discussion Character

  • Exploratory, Mathematical reasoning

Approaches and Questions Raised

  • Participants discuss the challenges posed by the logarithmic part of the function and question the derivative of the square root component. There are attempts to clarify the signs in the derivative calculations.

Discussion Status

The conversation is ongoing, with participants providing insights into specific parts of the derivative and questioning each other's reasoning. There is no explicit consensus yet, but some guidance has been offered regarding the derivative of the square root function.

Contextual Notes

Participants are navigating potential misunderstandings regarding signs in their calculations and the complexity introduced by the logarithmic function.

raul_l
Messages
105
Reaction score
0
Hi

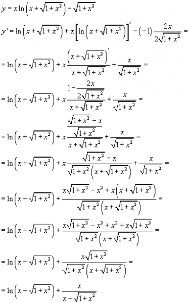
I'm having trouble finding the derivative of this function.

[tex]y=x ln (x+\sqrt{1+x^2})-\sqrt{1+x^2}[/tex]

This is what I've tried so far, but I seem to be getting nowhere.
 

Attachments

  • eq.gif
    eq.gif
    17.1 KB · Views: 497
Physics news on Phys.org
Hi raul!
The nasty part of this is, of course the logarithm part, and possibly rearranging the expression you get afterwards.

For starters:
What is the derivative wrt. x of [itex]\sqrt{1+x^{2}}[/itex]?
 
[tex]-\frac{x}{\sqrt{1+x^2}}[/tex] ?
 
Why the minus sign??
 
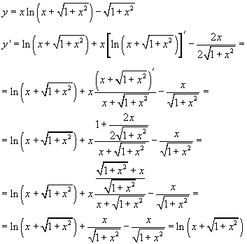
Right, no minus sign there.. my bad.

However, now I get [tex]\ln(x+\sqrt{1+x^2})[/tex]
Is this correct?
 

Attachments

  • eq.gif
    eq.gif
    3.6 KB · Views: 563

Similar threads

  • · Replies 2 ·
Replies
2
Views
2K
  • · Replies 14 ·
Replies
14
Views
2K
  • · Replies 4 ·
Replies
4
Views
2K
Replies
9
Views
2K
Replies
16
Views
2K
  • · Replies 7 ·
Replies
7
Views
1K
  • · Replies 7 ·
Replies
7
Views
2K
Replies
4
Views
2K
  • · Replies 4 ·
Replies
4
Views
2K
  • · Replies 6 ·
Replies
6
Views
2K