Understanding Coordinate Transformation of a Tensorial Relation

Click For Summary

Discussion Overview

The discussion revolves around the transformation of a covariant derivative of a contravariant vector and the implications of coordinate transformations on tensorial relations. Participants explore the mathematical expressions involved, particularly focusing on whether certain terms act as differentials or multipliers in the context of tensor transformation.

Discussion Character

  • Technical explanation
  • Debate/contested
  • Mathematical reasoning

Main Points Raised

  • One participant presents the covariant derivative of a contravariant vector and questions the nature of the transformation terms, asking if they act as differentials or multipliers.
  • Another participant asserts that the transformation term is merely a number and cautions against treating it as a differential operator.
  • Some participants clarify the distinction between the covariant derivative and the tensor being discussed, emphasizing the need for careful notation.
  • Concerns are raised about extra terms appearing in calculations, with participants questioning whether these terms vanish or if there are mistakes in the derivation.
  • A suggestion is made to avoid writing derivatives with different coordinates in a way that implies they commute, proposing a clearer notation instead.
  • Participants discuss the implications of the non-commutation of partial derivatives when taken with respect to different coordinates, providing examples to illustrate the concept.
  • There is a mention of using the chain rule and the Kronecker delta to simplify expressions involving partial derivatives.

Areas of Agreement / Disagreement

Participants express differing views on the nature of the transformation terms and the validity of certain mathematical steps. The discussion remains unresolved regarding the treatment of extra terms in the derivation and the implications of non-commuting derivatives.

Contextual Notes

Participants note limitations in their calculations, such as the potential for confusion arising from reusing indices and the need for clarity in notation. There is also an acknowledgment of unresolved mathematical steps related to the vanishing of certain terms.

Arman777
Insights Author
Gold Member
Messages
2,163
Reaction score
191
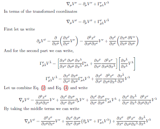
Let us suppose we have a covariant derivative of a contravariant vector such as

$$\nabla_{\mu}V^{\nu}=\partial_{\mu}V^{\nu} + \Gamma^{\nu}_{\mu \lambda}V^{\lambda}$$

If ##\Delta_{\mu}V^{\nu}## is a (1,1) Tensor, it must be transformed as

$$\nabla_{\bar{\mu}}V^{\bar{\nu}} = \frac{ \partial x^{\bar{\nu}}}{\partial x^\nu}\frac{\partial x^{\mu}}{\partial x^{\bar{\mu}}}\nabla_{\mu}V^{\nu}$$

Or

$$\nabla_{\bar{\mu}}V^{\bar{\nu}} = \frac{ \partial x^{\bar{\nu}}}{\partial x^\nu}\frac{\partial x^{\mu}}{\partial x^{\bar{\mu}}}[\partial_{\mu}V^{\nu} + \Gamma^{\nu}_{\mu \lambda}V^{\lambda}]$$

Now my question is does ##\frac{ \partial x^{\bar{\nu}}}{\partial x^\nu}\frac{\partial x^{\mu}}{\partial x^{\bar{\mu}}}## acts a differential or it acts like a multiplication on the ##[\partial_{\mu}V^{\nu} + \Gamma^{\nu}_{\mu \lambda}V^{\lambda}]## ?

So which of these expressions is true

1) $$\frac{ \partial x^{\bar{\nu}}}{\partial x^\nu}\frac{\partial x^{\mu}}{\partial x^{\bar{\mu}}}(\partial_{\mu})V^{\nu} + \frac{ \partial x^{\bar{\nu}}}{\partial x^\nu}\frac{\partial x^{\mu}}{\partial x^{\bar{\mu}}}(V^{\nu} )\partial_{\mu} + \frac{ \partial x^{\bar{\nu}}}{\partial x^\nu}\frac{\partial x^{\mu}}{\partial x^{\bar{\mu}}}(\Gamma^{\nu}_{\mu \lambda}) V^{\lambda}+ \frac{ \partial x^{\bar{\nu}}}{\partial x^\nu}\frac{\partial x^{\mu}}{\partial x^{\bar{\mu}}}(V^{\lambda})\Gamma^{\nu}_{\mu \lambda}$$

2)$$\frac{ \partial x^{\bar{\nu}}}{\partial x^\nu}\frac{\partial x^{\mu}}{\partial x^{\bar{\mu}}}\partial_{\mu}V^{\nu} + \frac{ \partial x^{\bar{\nu}}}{\partial x^\nu}\frac{\partial x^{\mu}}{\partial x^{\bar{\mu}}}\Gamma^{\nu}_{\mu \lambda}V^{\lambda}$$

In principle the correct equation need to be 1 I guess but I cannot be sure somehow.

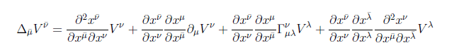
I am was doing inverse operations of these equations (showing that ##\nabla_{\bar{\mu}}V^{\bar{\nu}}## transforms as a tensor) and I have obtained something like this
1617799404871.png

1617799262293.png


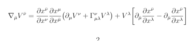
There are extra two terms which I cannot explain why are they. The only logical explanation seemed to be that the ##\frac{ \partial x^{\bar{\nu}}}{\partial x^\nu}\frac{\partial x^{\mu}}{\partial x^{\bar{\mu}}}## must act as a differential operation on ##[\partial_{\mu}V^{\nu} + \Gamma^{\nu}_{\mu \lambda}V^{\lambda}]##
 
Last edited:
Physics news on Phys.org
##\frac{ \partial x^{\bar{\nu}}}{\partial x^\nu}\frac{\partial x^{\mu}}{\partial x^{\bar{\mu}}}## is just a number and not a differential operator, so you should absolutely not 'apply Leibnitz' like you've done in option (1)!
 
  • Like
Likes   Reactions: Arman777
(2) - the differential operator is acting on ##V##.

Also, careful with ##\nabla## vs ##\Delta##.
 
  • Like
Likes   Reactions: Arman777 and etotheipi
I was doing these calculations
1617799845918.png


and the first and the last terms seems extra. Are they 0 or am I missing something in this derivation ? Thats actually why I asked this question but it seems I am doing something wrong..

As you know to show ##\nabla_{\bar{\mu}}V^{\bar{\nu}}## transforms as a tensor I need to write it as $$\nabla_{\bar{\mu}}V^{\bar{\nu}} = \frac{ \partial x^{\bar{\nu}}}{\partial x^\nu}\frac{\partial x^{\mu}}{\partial x^{\bar{\mu}}}\nabla_{\mu}V^{\nu}$$ which I cannot do at this moment
 
Although they were a little sloppy re-using the index ##\lambda## in their fourth line of equations, the working in the image looks okay? I have the feeling the first of those terms vanishes, because
$$\cancel{\frac{\partial^2 x^{\bar{\nu}}}{\partial x^{\bar{\mu}} \partial x^{\nu}} = \frac{\partial^2 x^{\bar{\nu}}}{ \partial x^{\nu} \partial x^{\bar{\mu}}} = \frac{\partial}{\partial x^{\nu}} \delta^{\bar{\nu}}_{\bar{\mu}} = 0}$$however I don't know how to show the second of those terms vanishes. Let's hope someone gives a hint! :smile:
 
Last edited by a moderator:
  • Like
Likes   Reactions: Arman777
etotheipi said:
Although they were a little sloppy re-using the index λ in their fourth line of equations,
That is my typing. I did those calculations.
etotheipi said:
however I don't know how to show the second of those terms vanishes. Let's hope someone gives a hint!
Yeah I could not see a mistake either. I am kind of stuck here
 
I suggest not writing things like
$$
\frac{\partial^2 x^{\bar \nu}}{\partial x^{\bar \mu} \partial x^\nu}
$$
with derivatives that are using different coordinates as they generally do not commute. What you want to write is instead something like
$$
\partial_{\bar \mu} \frac{\partial x^{\bar \nu}}{\partial x^\nu}
$$
as it is much clearer what is intended.

I suggest you do the following:
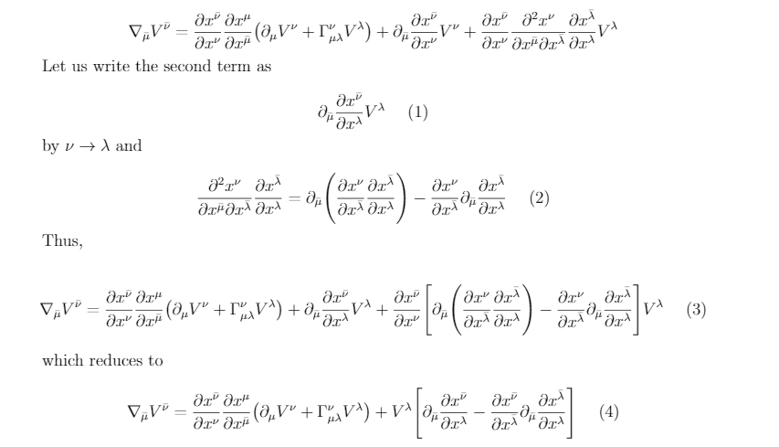
  1. Rename the dummy index ##\nu## in the first term to ##\lambda##. This will allow you to factor out ##V^\lambda## from the superfluous terms.
  2. Note that $$\frac{\partial^2 x^\nu}{\partial x^{\bar \mu} \partial x^{\bar \lambda}} \frac{\partial x^{\bar \lambda}}{\partial x^\lambda} = \partial_{\bar \mu}\left( \frac{\partial x^\nu}{\partial x^{\bar \lambda}} \frac{\partial x^{\bar \lambda}}{\partial x^\lambda} \right) - \frac{\partial x^\nu}{\partial x^{\bar \lambda}} \partial_{\bar\mu} \frac{\partial x^{\bar \lambda}}{\partial x^\lambda}$$ and go from there.
 
  • Like
  • Love
Likes   Reactions: etotheipi and Arman777
etotheipi said:
Although they were a little sloppy re-using the index ##\lambda## in their fourth line of equations, the working in the image looks okay? I have the feeling the first of those terms vanishes, because$$\frac{\partial^2 x^{\bar{\nu}}}{\partial x^{\bar{\mu}} \partial x^{\nu}} = \frac{\partial^2 x^{\bar{\nu}}}{ \partial x^{\nu} \partial x^{\bar{\mu}}} = \frac{\partial}{\partial x^{\nu}} \delta^{\bar{\nu}}_{\bar{\mu}} = 0$$however I don't know how to show the second of those terms vanishes. Let's hope someone gives a hint! :smile:
No, the derivatives do not commute, this is precisely what I warned about in #7.
 
  • Like
  • Informative
Likes   Reactions: etotheipi and vanhees71
Orodruin said:
I suggest not writing things like
$$
\frac{\partial^2 x^{\bar \nu}}{\partial x^{\bar \mu} \partial x^\nu}
$$
with derivatives that are using different coordinates as they generally do not commute. What you want to write is instead something like
$$
\partial_{\bar \mu} \frac{\partial x^{\bar \nu}}{\partial x^\nu}
$$
as it is much clearer what is intended.

I suggest you do the following:
  1. Rename the dummy index ##\nu## in the first term to ##\lambda##. This will allow you to factor out ##V^\lambda## from the superfluous terms.
  2. Note that $$\frac{\partial^2 x^\nu}{\partial x^{\bar \mu} \partial x^{\bar \lambda}} \frac{\partial x^{\bar \lambda}}{\partial x^\lambda} = \partial_{\bar \mu}\left( \frac{\partial x^\nu}{\partial x^{\bar \lambda}} \frac{\partial x^{\bar \lambda}}{\partial x^\lambda} \right) - \frac{\partial x^\nu}{\partial x^{\bar \lambda}} \partial_{\bar\mu} \frac{\partial x^{\bar \lambda}}{\partial x^\lambda}$$ and go from there.
Let me try that, thanks for the info
 
  • #10
Ah, I think I got it with the hint! @Orodruin why don't the partial derivatives with respect to different coordinates commute?
 
  • #11
I get this..
1617804625644.png

Can we eliminate ##\partial x^{\bar{\lambda}}## and write
1617804820419.png

otherwise I am stuck.
 
  • #12
etotheipi said:
Ah, I think I got it with the hint! @Orodruin why don't the partial derivatives with respect to different coordinates commute?
Because the commutation of the partial derivatives requires that the derivatives are taken with respect to independent variables. This is easiest to see in one dimension with coordinates ##x## and ##y##, respectively:
$$
\frac{d}{dx} \frac{df}{dy} = \frac{d}{dx}\left(\frac{dx}{dy} \frac{df}{dx}\right)
= \frac{dx}{dy} \frac{d^2 f}{dx^2} + \frac{df}{dx} \frac{d}{dx} \frac{dx}{dy}
= \frac{d}{dy} \frac{df}{dx} + \frac{df}{dx} \frac{dy}{dx} \frac{d^2 x}{dy^2}.
$$
In other words, the commutator of the derivatives is non-zero if the second derivative of the coordinate transformation is non-zero.

Edit: For the general n-dimensional case you will have to add a lot of indices, but the general idea remains the same.
 
  • Love
Likes   Reactions: etotheipi
  • #13
Arman777 said:
I get this..
View attachment 281074
Can we eliminate ##\partial x^{\bar{\lambda}}## and write
View attachment 281075
otherwise I am stuck.
That's just applying ##\partial x^{\bar\nu}/\partial x^{\bar \lambda} = \delta^{\bar\nu}_{\bar \lambda}## (alternatively, the chain rule).
 
  • #14
Orodruin said:
That's just applying ##\partial x^{\bar\nu}/\partial x^{\bar \lambda} = \delta^{\bar\nu}_{\bar \lambda}## (alternatively, the chain rule).
I see. Since $$\partial_{\bar{\mu}}(\frac{\partial x^{\bar{\lambda}}}{\partial x^{\lambda}})\frac{\partial x^{\bar{\nu}}}{\partial x^{\bar{\lambda}}}$$ I thought we may not apply it here. So the problem is solved I guess. Thank you all for the help

Note: For instance if I not write ##\delta^{\bar{\nu}}_{\bar{\lambda}}## and just cancel is it wrong?
 
  • #15
Arman777 said:
I see. Since $$\partial_{\bar{\mu}}(\frac{\partial x^{\bar{\lambda}}}{\partial x^{\lambda}})\frac{\partial x^{\bar{\nu}}}{\partial x^{\bar{\lambda}}}$$ I thought we may not apply it here. So the problem is solved I guess. Thank you all for the help
If that is what you got then you got something different from me. I would expect both of the derivatives to be acted upon by the ##\partial_{\bar\mu}##. Can you post your work?
 
  • Like
Likes   Reactions: etotheipi
  • #16
Orodruin said:
If that is what you got then you got something different from me. I would expect both of the derivatives to be acted upon by the ##\partial_{\bar\mu}##. Can you post your work?
1617806521657.png
 
  • #17
Right, sorry. It is still using that ##\partial x^{\bar \nu}/\partial x^{\bar\lambda} = \delta^{\bar\nu}_{\bar\lambda}##, which is a constant that can be freely moved inside the derivative. It is, however, not using the chain rule.
 
  • Like
Likes   Reactions: Arman777
  • #18
Orodruin said:
Right, sorry. It is still using that ##\partial x^{\bar \nu}/\partial x^{\bar\lambda} = \delta^{\bar\nu}_{\bar\lambda}##, which is a constant that can be freely moved inside the derivative. It is, however, not using the chain rule.
Okay then, nice.
 
Last edited:

Similar threads

  • · Replies 3 ·
Replies
3
Views
1K
  • · Replies 1 ·
Replies
1
Views
1K
  • · Replies 4 ·
Replies
4
Views
2K
  • · Replies 2 ·
Replies
2
Views
3K
  • · Replies 3 ·
Replies
3
Views
4K
  • · Replies 9 ·
Replies
9
Views
2K
  • · Replies 38 ·
2
Replies
38
Views
3K
  • · Replies 7 ·
Replies
7
Views
1K
  • · Replies 7 ·
Replies
7
Views
3K
  • · Replies 16 ·
Replies
16
Views
2K