Understanding Drive Shaft Stress and Deflection for Optimal Performance

Click For Summary
SUMMARY

This discussion focuses on the analysis of drive shaft stress and deflection, specifically for a hollow tube design under a maximum torque of 1000 in-lb and a material with a maximum allowable stress of 10,000 psi. The load on the shaft is considered to be three times its weight (3 g's). Key considerations include the calculation of deflection, the appropriate bolt size for six bolts under the same stress requirements, and the relationship between load, length, and diameter of the shaft. The discussion emphasizes that torsional deflection is not applicable for visual representation but is crucial for understanding stress distribution.

PREREQUISITES
  • Understanding of torsional stress and shear stress in materials
  • Familiarity with hollow shaft design principles
  • Knowledge of torque calculations and their implications on shaft performance
  • Basic concepts of bolt sizing and load distribution
NEXT STEPS
  • Research "Hollow shaft torsional stress calculations" for detailed methodologies
  • Learn about "Bolt circle diameter calculations" for optimal bolt sizing
  • Study "Deflection diagrams for hollow tubes" to visualize stress distribution
  • Explore "Material properties and shear stress relationships" for better material selection
USEFUL FOR

Mechanical engineers, design engineers, and anyone involved in the design and analysis of drive shafts and torque transmission systems will benefit from this discussion.

roshan guthey
Long drive shaft of 5 inches fits into the end fitting and is rigidly attached by the bolts. Input torque is equal to output torque as we are ignoring losses from bearing. Let's assume that the load on the shaft is equal to 3*weight. (3 g's)

(looking for more conceptual understanding rather that number crunching)

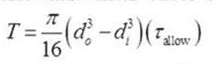
has maximum torque of let's say 1000 in-lb. with a use of material that provides max allowable stress of 10000 psi.

How would we go about drawing the deflection diagram of hallow tube?
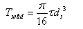
What size bolts would be needing with same stress requirement if there were 6 bolts present?What I have so far:
upload_2017-8-12_20-41-38.png


where D comes out to be 0.7985 inches. realistically speaking isn't this number is too small?

Wouldn't the the load and length affect it's diameter?

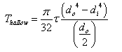
Will there is any problem if we were to create hallow shaft using equation below? But not sure what to use for first diameter. How would I draw deflection of hallow shaft?
upload_2017-8-12_20-40-57.png
 

Attachments

  • upload_2017-8-12_20-37-14.png
    upload_2017-8-12_20-37-14.png
    3.9 KB · Views: 600
Last edited by a moderator:
Engineering news on Phys.org
First, for torsional stress, the τ allowable is the maximum allowable shear stress of the material not its maximum allowable yield stress. As a general rule, the value used for maximum shear stress is 0.57 x the maximum yield stress.

The deflection of the shaft is in degrees of twisting rotation from one end of the shaft to the other (or in degrees per unit length) and is proportional to the length of the shaft but has no effect on the amount of torque stress on the shaft or a tube. The size of the bolts depends upon the bolt circle diameter on the flange on the end of the shaft.

As for "drawing the deflection" that is not really applicable for torsional deflection.

For a tubular shaft the do is the outside diameter of the tube and the di is the inside diameter of the tube.
 

Similar threads

Replies
2
Views
3K
  • · Replies 2 ·
Replies
2
Views
3K
Replies
8
Views
6K
  • · Replies 7 ·
Replies
7
Views
3K
  • · Replies 1 ·
Replies
1
Views
2K
  • · Replies 5 ·
Replies
5
Views
6K
  • · Replies 11 ·
Replies
11
Views
5K
Replies
4
Views
3K
  • · Replies 5 ·
Replies
5
Views
4K
Replies
8
Views
78K