Understanding Linear Algebra Subspaces and Matrices: A Homework Guide

Click For Summary

Homework Help Overview

The discussion revolves around a linear algebra assignment concerning subspaces and linear transformations. The original poster seeks assistance with finding a basis for a subspace \( U \subset F^3 \) and specifying a matrix \( A \) that represents a linear operator \( f: U \rightarrow F^2 \).

Discussion Character

  • Exploratory, Conceptual clarification, Problem interpretation, Assumption checking

Approaches and Questions Raised

  • Participants discuss the need to express vectors in the new basis and how to determine the matrix representation of the linear operator. There are questions about the correct interpretation of the assignment and the relationship between the bases involved.

Discussion Status

Some participants have provided guidance on formatting matrices in LaTeX and have attempted to clarify the requirements of the assignment. There is an ongoing exploration of how to approach the problem, with multiple interpretations being considered.

Contextual Notes

Participants note the language barrier faced by the original poster, which complicates understanding the mathematical concepts being discussed. There is also mention of the original poster's uncertainty about the assignment's expectations regarding the dimensionality of the vectors involved.

NicolaiTheDane
Messages
100
Reaction score
10

Homework Statement


I have an assignment for my linear algebra class, that I simply cannot figure out. Its going to be hard to follow the template of the forum, as its a rather simply problem. It is as follows:

Given the following subspace (F = reals and complex)
upload_2017-12-30_16-35-10.png


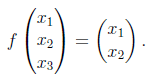
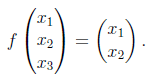
and the "linear image" (cannot translate the wording here. Image is as close as I can get),
upload_2017-12-30_16-36-57.png


a) Find a basis for the subspace U ⊂ F^3

This part is easy enough. Just setup the equation as "parametric equation" (I have no idea if this is the right term. Its what google translate gives me), and the two resulting vectors, are the vectors that span the subspace:
upload_2017-12-30_16-40-42.png


b) Specify the A matrix, which represents f: U → F^2, in terms of the found basis for U and the standardbasis (e1,e2) for F^2

This is the one I cannot figure out. Using the two basis vectors for U, I can make a matrix which does the opposite; f : F^2 → U. However the assignment here wants me to go the opposite way, and I simply cannot figure out how to do this.

Homework Equations



Listed above

The Attempt at a Solution



Not really anything, because I have no idea how to go about it. The only I have noticed I can do, is take the two basis vectors as a matrix

upload_2017-12-30_16-51-28.png


Setup another vector from the subspace U, and gauss eliminate it as such:

upload_2017-12-30_16-52-43.png

upload_2017-12-30_16-53-2.png


That [-2,3] vector, if put back through the basis vector matrix, returns the [5,2,-3], as it should. So in essence I can make it happen backwards, but like I said, that isn't the assignment, and I simply don't know where to begin.

Thanks in advance for all assistance.

P.S How the hell do setup math nicely on this forum, so I can avoid using images in the future? :)
 

Attachments

  • upload_2017-12-30_16-35-10.png
    upload_2017-12-30_16-35-10.png
    2.7 KB · Views: 431
  • upload_2017-12-30_16-36-57.png
    upload_2017-12-30_16-36-57.png
    1.8 KB · Views: 877
  • upload_2017-12-30_16-40-42.png
    upload_2017-12-30_16-40-42.png
    812 bytes · Views: 437
  • upload_2017-12-30_16-51-28.png
    upload_2017-12-30_16-51-28.png
    368 bytes · Views: 474
  • upload_2017-12-30_16-52-43.png
    upload_2017-12-30_16-52-43.png
    479 bytes · Views: 435
  • upload_2017-12-30_16-53-2.png
    upload_2017-12-30_16-53-2.png
    421 bytes · Views: 435
Physics news on Phys.org
For part b) you need to take a vector in your subspace ##U##, expressed in the new basis, and work out what ##f## looks like acting on such a vector.

I'll post something about matrices in Latex in a minute.
 
For future reference: you can format a matrix nicely as
$$A = \pmatrix{2 & 0 & -1\\0 & 2 & -1 \\ -1 & -1 & 3}$$
The instructions that do that are "\pmatrix{2 & 0 & -1\\0 & 2 & -1 \\ -1 & -1 & 3}". Note the use of '&' as a separator, not a comma, and there is only one pair of curly brackets "{ }".

Courtesy of @Ray Vickson
 
PeroK said:
For part b) you need to take a vector in your subspace ##U##, expressed in the new basis, and work out what ##f## looks like acting on such a vector.

I'll post something about matrices in Latex in a minute.

I have no doubts about what they want (I think). The problem is I don't know how. If its simple, I an example would be much appreciated.
 
NicolaiTheDane said:
I have no doubts about what they want (I think). The problem is I don't know how. If its simple, I an example would be much appreciated.

What is ##f(s, t)##? For an arbitrary vector ##(s, t)## in your basis for ##U##.
 
PeroK said:
What is ##f(s, t)##? For an arbitrary vector ##(s, t)## in your basis for ##U##.

I don't understand what you are asking. I haven't ever learned anything from the teacher trick of being asked leading questions back. I need to see the solution, or an example, so I can find my mistake. I realize that is atypically, but that is how i learn unfortunately.

P.S also remember I'm working with a language barrier, which makes it even harder to try to take hints.
 
NicolaiTheDane said:
I don't understand what you are asking. I haven't ever learned anything from the teacher trick of being asked leading questions back. I need to see the solution, or an example, so I can find my mistake. I realize that is atypically, but that is how i learn unfortunately.

P.S also remember I'm working with a language barrier, which makes it even harder to try to take hints.

We can't do your homework for you on this forum. Your English is good enough that I don't see that as the biggest problem.

Do you want to continue in the "physics forums" style of leading questions?
 
PeroK said:
We can't do your homework for you on this forum. Your English is good enough that I don't see that as the biggest problem.

Do you want to continue in the "physics forums" style of leading questions?

My english might be good enough to converse, but to understand what you mean when it comes to math, its completely different. I totally understand how from your perspective that might seem odd, but never the less that is how it is. I cannot will myself to understand what your saying, simply because you think my English is good enough. However that is my problem, I'm the one needing help.

As for continuing; ofc. I just don't know what to do from here. This might sound silly to you, but I just don't. Your question isn't making me think outside the square I have created for myself over the passed several hours of being stuck on this one. Maybe I have misunderstood something.

Am I correct in assuming, that if the assignment was asking for ##f: \mathbb{F}^{3} \rightarrow \mathbb{F}^{2}##,
where ##f\pmatrix{x_{1} \\ x_{2} \\ x_{3}} = \pmatrix{x_{1} \\ x_{2}}## then the following would be my A matrix $$A = \pmatrix{1 & 0 & 0 \\ 0 & 1 & 0}$$

As this would take a 3 dimensional vector, and put out a 2 dimensional vector, where the third coordinate is simply removed.

Also as I understand it, it wants me to take something, as expressed in the U basis in 3 dimensions and output it into the standardbasis in 2 dimensions? Because if so, I don't understand how. The U basis is 2 dimensional. So how can I take a 3 dimensional vector, expressed in the U basis to begin with? I can take a 3 dimensional vector, expressed in the standardbasis, which is within the U subspace, but that doesn't appear to be, what the assignment wants.
 
NicolaiTheDane said:
and the "linear image" (cannot translate the wording here. Image is as close as I can get),
View attachment 217617

The function ##f## is a "linear operator", so that's my guess at the proper translation.
b) Specify the A matrix, which represents f: U → F^2, in terms of the found basis for U and the standardbasis (e1,e2) for F^2


By convention, the matrix representation of a linear operator ##f## in a given basis is the matrix ##M## that satisifes:
##f(v) = Mv##
where the components of ##v## are those appropriate for the given basis. (i.e. The "matrix representation" employs matrix multiplication to implement the linear operator).

So my interpretation of the question is that its words pose two problems. These are:

1) Find the matrix ##M_a## that represents ##f## in the standard basis

2) Find the matrix ##M_b## that represents ##f## in the basis
##b_1 = \begin{bmatrix} 2 \\ -1 \\ 0 \end{bmatrix}, b_2 = \begin{bmatrix}3 \\ 0 \\ -1 \end{bmatrix}##.

However, perhaps you textbook is asking about a single matrix ##M## that somehow involves both bases.
What, precisely, is your interpretation of the question?

P.S How the hell do setup math nicely on this forum, so I can avoid using images in the future? :)

https://www.physicsforums.com/threads/how-to-use-latex-on-physics-forums.902358/

Straightfoward LaTex is somewhat verbose and tedious to write, but it's worth investing time to learn about it since it has applications outside of this particular forum. There are probably sophisticated ways to write LaTex concisely - I've never studied them.
 
  • #10
NicolaiTheDane said:
My english might be good enough to converse, but to understand what you mean when it comes to math, its completely different. I totally understand how from your perspective that might seem odd, but never the less that is how it is. I cannot will myself to understand what your saying, simply because you think my English is good enough. However that is my problem, I'm the one needing help.

As for continuing; ofc. I just don't know what to do from here. This might sound silly to you, but I just don't. Your question isn't making me think outside the square I have created for myself over the passed several hours of being stuck on this one. Maybe I have misunderstood something.

Am I correct in assuming, that if the assignment was asking for ##f: \mathbb{F}^{3} \rightarrow \mathbb{F}^{2}##,
where ##f\pmatrix{x_{1} \\ x_{2} \\ x_{3}} = \pmatrix{x_{1} \\ x_{2}}## then the following would be my A matrix $$A = \pmatrix{1 & 0 & 0 \\ 0 & 1 & 0}$$

As this would take a 3 dimensional vector, and put out a 2 dimensional vector, where the third coordinate is simply removed.

Also as I understand it, it wants me to take something, as expressed in the U basis in 3 dimensions and output it into the standardbasis in 2 dimensions? Because if so, I don't understand how. The U basis is 2 dimensional. So how can I take a 3 dimensional vector, expressed in the U basis to begin with? I can take a 3 dimensional vector, expressed in the standardbasis, which is within the U subspace, but that doesn't appear to be, what the assignment wants.

You have the correct ##A## matrix for ##f##. But, that matrix needs the input vector to be expressed in the normal basis. What the assignment wants is the matrix when the input vector is expressed in the new basis for ##U##.

Let's take a vector ##u \in U##. We can express this as:

##u = (s, t)_B## or ##u = (x_1, x_2, x_3)##

(I'll use this notation for now because it's easier than writing column vectors. I've used a subscript ##B## so it's clear which basis a vector is being expressed in.)

##u## is the same vector in both cases, so we know that:

##f(u) = f(s, t)_B = f(x_1, x_2, x_3) = (x_1, x_2)##

We can see from this that ##A## must be a 2x2 matrix. All we really need now is a relationship between ##(s, t)_B## and ##(x_1, x_2)##.

Can you see what that relationship is?
 
  • #11
NicolaiTheDane said:
The U basis is 2 dimensional. So how can I take a 3 dimensional vector, expressed in the U basis to begin with?

##U## is a 2 dimensional (2D) subspace (of a 3 dimensional vector space). ##U## can, therefore, be spanned by two basis vectors (as you have already done). The mapping from ##U## to ##\mathbb{R}^2## is simply a mapping from one 2D space to another.

Your question about the vectors in ##U## being "3 dimensional vectors" is an interesting one. This highlights that it's not actually the vectors that have a dimension but the vector space that has a dimension. Consider, for example, unit vectors along the x-, y- and z- axes in ##\mathbb{R}^3##. Are they three dimensional vectors? No. They are simply vectors. Each axis is a 1D subspace. It's only when you take all three axes together that you get a 3D vector space.

So, although we quite often talk about "3D vectors", vectors themselves don't actually have a dimension. Only the vector space has a dimension.
 
Last edited:
  • #12
Stephen Tashi said:
The function ##f## is a "linear operator", so that's my guess at the proper translation.

By convention, the matrix representation of a linear operator ##f## in a given basis is the matrix ##M## that satisifes:
##f(v) = Mv##
where the components of ##v## are those appropriate for the given basis. (i.e. The "matrix representation" employs matrix multiplication to implement the linear operator).

So my interpretation of the question is that its words pose two problems. These are:

1) Find the matrix ##M_a## that represents ##f## in the standard basis

2) Find the matrix ##M_b## that represents ##f## in the basis
##b_1 = \begin{bmatrix} 2 \\ -1 \\ 0 \end{bmatrix}, b_2 = \begin{bmatrix}3 \\ 0 \\ -1 \end{bmatrix}##.

However, perhaps you textbook is asking about a single matrix ##M## that somehow involves both bases.
What, precisely, is your interpretation of the question?
https://www.physicsforums.com/threads/how-to-use-latex-on-physics-forums.902358/

Straightfoward LaTex is somewhat verbose and tedious to write, but it's worth investing time to learn about it since it has applications outside of this particular forum. There are probably sophisticated ways to write LaTex concisely - I've never studied them.

Honestly I'm not sure at all. 99% of the time I cannot do an assignment, its because I simply don't understand what assignment is asking me to do. I find reading math notation very confusing, and Copenhagen University is notoriously inconsistent in use of notation from subject to subject. Basically my understanding is that it makes a matrix, which takes a 3 dimensional vector, as expressed in a 2 dimensional coordinate system (this is where I'm getting lost), and output a 2 dimensional vector, which is basically the 3 dimensional vector expressed in the standard basis, with the 3 coordinate removed.

PeroK said:
You have the correct ##A## matrix for ##f##. But, that matrix needs the input vector to be expressed in the normal basis. What the assignment wants is the matrix when the input vector is expressed in the new basis for ##U##.

Let's take a vector ##u \in U##. We can express this as:

##u = (s, t)_B## or ##u = (x_1, x_2, x_3)##

(I'll use this notation for now because it's easier than writing column vectors. I've used a subscript ##B## so it's clear which basis a vector is being expressed in.)

##u## is the same vector in both cases, so we know that:

##f(u) = f(s, t)_B = f(x_1, x_2, x_3) = (x_1, x_2)##

We can see from this that ##A## must be a 2x2 matrix. All we really need now is a relationship between ##(s, t)_B## and ##(x_1, x_2)##.

Can you see what that relationship is?

Alright so my understanding of what needs to be done is correct. However after that you lose me. ##u = (s, t)_B## or ##u = (x_1, x_2, x_3)## being the same makes no sense to me.

Example: given ##\pmatrix{5 \\ 2 \\ -3}## which is part of U, but is described in the standard basis ##\mathbb {R}^{3}##.
Its coordinates in the U basis is ##\pmatrix{2 \\ -3}##, that is the linear combination ##2*v_{1}+(-3)*v_{2}##

Now yes, these two describe the same vector, just in different basis, and if that is what you mean by them being the same, then alright. This still leaves me with the fact, that the question to me, seem to be asking for a matrix, which takes the ##\pmatrix{2 \\ -3}##, and exports ##\pmatrix{5 \\ 2}##. But if that is true, then I'm not inputting a 3 dimensional vector, but a 2 dimensional one. This is where I'm stuck, because I simply cannot reconcile what the assignment asking me to do, with what I'm getting to. Idd as you say, this transformation can be done, by using a 2x2 matrix, by combining the A matrix I wrote, with the basis matrix for U. I simply cannot understand how reading the assignment text, I'm suppose to understand it as being what it wants. I see it asking for a vector with 3 elements, described in the U basis, and as we can both agree, this doesn't make since.

I'd love to it, if you could tell me how this seems obvious to you, so that I don't get stuck on formulation in the future. Also as for the 2x2 matrix, if we disregard the fact that I cannot understand the assignment text, I say the matrix I'm looking for is $$\pmatrix{1 & 0 & 0 \\ 0 & 1 & 0}*\pmatrix{-2 & -3 \\ 1 & 0 \\ 0 & 1}=\pmatrix{-2 & -3 \\ 1 & 0}$$

PeroK said:
##U## is a 2 dimensional (2D) subspace (of a 3 dimensional vector space). ##U## can, therefore, be spanned by two basis vectors (as you have already done). The mapping from ##U## to ##\mathbb{R}^2## is simply a mapping from one 2D space to another.

Your question about the vectors in ##U## being "3 dimensional vectors" is an interesting one. This highlights that it's not actually the vectors that have a dimension but the vector space that has a dimension. Consider, for example, the x-, y- and z- axes in ##\mathbb{R}^3##. Are they three dimensional vectors? No. They are simply vectors. Each axis is a 1D subspace. It's only when you take all three axes together that you get a 3D vector space.

So, although we quite often talk about "3D vectors", vectors themselves don't actually have a dimension. Only the vector space has a dimension.

Maybe calling the vectors "X dimensional" is incorrect. Its merely my way of trying to convey what I mean :)
 
Last edited:
  • Like
Likes   Reactions: PeroK
  • #13
NicolaiTheDane said:
Now yes, these two describe the same position, just in different basis, and if that is what you mean by them being the same, then alright.

Yes, exactly. They are the same vector. Any vector can be expressed in an infinite number of bases. One of the important things when learning linear algebra is to separate the concept of the vector itself from the vector expressed in a certain basis.

NicolaiTheDane said:
Maybe calling the vectors "X dimensional" is incorrect. Its merely my way of trying to convey what I mean :)

It's probably a good idea to stop thinking of the vectors themselves as having a dimension. Each vector is simply a single vector.
 
  • #14
In terms of finishing the question, there is a big clue in what you have already done:

NicolaiTheDane said:
This part is easy enough. Just setup the equation as "parametric equation" (I have no idea if this is the right term. Its what google translate gives me), and the two resulting vectors, are the vectors that span the subspace:
upload_2017-12-30_16-40-42-png.png
 

Attachments

  • upload_2017-12-30_16-40-42-png.png
    upload_2017-12-30_16-40-42-png.png
    812 bytes · Views: 447
  • #15
PeroK said:
Yes, exactly. They are the same vector. Any vector can be expressed in an infinite number of bases. One of the important things when learning linear algebra is to separate the concept of the vector itself from the vector expressed in a certain basis.
It's probably a good idea to stop thinking of the vectors themselves as having a dimension. Each vector is simply a single vector.

It doesn't seem to be what is limiting my thinking. I'll try to keep that in mind.

PeroK said:
In terms of finishing the question, there is a big clue in what you have already done:

Do you mean what I have done. Combining the matrices? (sorry I ended up editing my last post, instead of posting another reply, so you might have missed it)
 
  • #16
NicolaiTheDane said:
Do you mean what I have done. Combining the matrices?

You could solve this by multiplying matrices. In general, that is what you would do. But, in this case, the mapping ##f## is very simple, so one of the matrices is effectively an identity matrix. Look again at:

NicolaiTheDane said:
This part is easy enough. Just setup the equation as "parametric equation" (I have no idea if this is the right term. Its what google translate gives me), and the two resulting vectors, are the vectors that span the subspace:
upload_2017-12-30_16-40-42-png.png

The relationship between ##x_1, x_2## and ##s, t## is there. Almost in matrix form.
 

Attachments

  • upload_2017-12-30_16-40-42-png.png
    upload_2017-12-30_16-40-42-png.png
    812 bytes · Views: 386
  • #17
PeroK said:
You could solve this by multiplying matrices. In general, that is what you would do. But, in this case, the mapping ##f## is very simple, so one of the matrices is effectively an identity matrix. Look again at:
The relationship between ##x_1, x_2## and ##s, t## is there. Almost in matrix form.

Ahh you want to argue, that I can simply leave out the bottom row, because lower part of the matrix, describing x2 and x3 are an identity matrix?
 
  • #18
NicolaiTheDane said:
Ahh you want to argue, that I can simply leave out the bottom row, because lower part of the matrix, describing x2 and x3 are an identity matrix?

It's not so much an argument as simply rewriting that equation as:

##\pmatrix{x_1 \\ x_2 \\ x_3} = \pmatrix{-2 & -3 \\1 & 0 \\ 0 & 1} \pmatrix{s \\ t}##

Which reduces to:

##\pmatrix{x_1 \\ x_2} = \pmatrix{-2 & -3 \\1 & 0} \pmatrix{s \\ t}##

Which is what you were looking for!

PS I've just looked at your edit and you've already got that. Yes, multiplying by the original matrix you had is correct. It's just in this case the matrix:

##\pmatrix{1 & 0 & 0 \\ 0 & 1 & 0}##

Simply has the effect of removing the third row.
 
  • Like
Likes   Reactions: NicolaiTheDane
  • #19
PeroK said:
It's not so much an argument as simply rewriting that equation as:

##\pmatrix{x_1 \\ x_2 \\ x_3} = \pmatrix{-2 & -3 \\1 & 0 \\ 0 & 1} \pmatrix{s \\ t}##

Which reduces to:

##\pmatrix{x_1 \\ x_2} = \pmatrix{-2 & -3 \\1 & 0} \pmatrix{s \\ t}##

Which is what you were looking for!

PS I've just looked at your edit and you've already got that. Yes, multiplying by the original matrix you had is correct. It's just in this case the matrix:

##\pmatrix{1 & 0 & 0 \\ 0 & 1 & 0}##

Simply has the effect of removing the third row.

I see! I still a bit confused on the assignment formulation, but it makes sense if that is disregarded :)
 

Similar threads

  • · Replies 4 ·
Replies
4
Views
3K
  • · Replies 15 ·
Replies
15
Views
3K
Replies
8
Views
2K
Replies
15
Views
3K
  • · Replies 1 ·
Replies
1
Views
3K
  • · Replies 10 ·
Replies
10
Views
2K
  • · Replies 5 ·
Replies
5
Views
7K
  • · Replies 15 ·
Replies
15
Views
2K
  • · Replies 4 ·
Replies
4
Views
2K
  • · Replies 1 ·
Replies
1
Views
1K