Centroid of Composite Bodies - Statics of Rigid Bodies

  • Context: Engineering 
  • Thread starter Thread starter Nova_Chr0n0
  • Start date Start date
  • Tags Tags
    Centroid Statics
Click For Summary
SUMMARY

The discussion focuses on locating the centroid of composite bodies, specifically addressing the calculation of the centroid coordinates (x̄, ȳ) for a given shaded area. The user initially computed ȳ as 1.386 inches and x̄ as -1.175 inches but encountered discrepancies with online solutions. The error was identified as neglecting the impact of the quarter circles removed from the areas during the centroid calculations, leading to incorrect centroid positions for the composite shapes.

PREREQUISITES
  • Understanding of centroid calculations for composite shapes
  • Familiarity with geometric area formulas, including triangles and circles
  • Knowledge of statics principles in rigid body analysis
  • Ability to perform area subtraction in composite geometry
NEXT STEPS
  • Review the formulas for calculating centroids of composite bodies
  • Study the effects of hollow areas on centroid positions in composite shapes
  • Practice solving problems involving centroids of complex geometric figures
  • Explore software tools for visualizing and calculating centroids in engineering applications
USEFUL FOR

Students and professionals in engineering, particularly those specializing in statics and mechanics, as well as anyone involved in the design and analysis of composite structures.

Nova_Chr0n0
Messages
16
Reaction score
3
Homework Statement
Locate the centroid (x̄,ȳ) of the shaded area.
Relevant Equations
Formulas for Centroid of Composite Bodies
1698042147756.png
1698042973332.png
1698043116611.png

The figure and formulas is shown above. My strategy of cutting the areas/shapes is shown below:
1698042252346.png

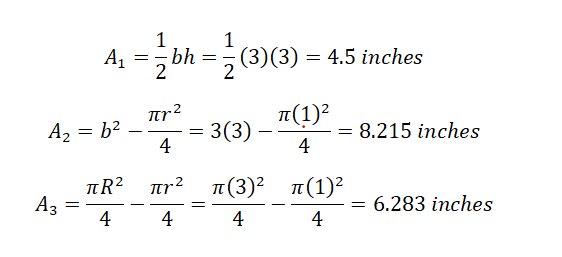
Area 1 = Area of Triangle
Area 2 = Area of the square - Area of the quarter circle
Area 3 = Area of the larger quarter circle - Area of the smaller quarter circle

Computing for the areas, I got:
1698042494429.png


Now I will solve for ȳ
1698042762082.png


Now my problem is, when I've tried to search for the answers in the internet, ȳ = 1.386 or 1.39 inches. I've got the x̄ right which is x̄=-1.175 or -1.18 inches. I cannot find my mistake here, can someone enlighten me? The solutions I've found on the internet used this cutted areas.
1698043377121.png
 
Physics news on Phys.org
Nova_Chr0n0 said:
Homework Statement: Locate the centroid (x̄,ȳ) of the shaded area.
Relevant Equations: Formulas for Centroid of Composite Bodies

View attachment 334022View attachment 334031View attachment 334032
The figure and formulas is shown above. My strategy of cutting the areas/shapes is shown below:
View attachment 334025
Area 1 = Area of Triangle
Area 2 = Area of the square - Area of the quarter circle
Area 3 = Area of the larger quarter circle - Area of the smaller quarter circle

Computing for the areas, I got:
View attachment 334026

Now I will solve for ȳ
View attachment 334030

Now my problem is, when I've tried to search for the answers in the internet, ȳ = 1.386 or 1.39 inches. I've got the x̄ right which is x̄=-1.175 or -1.18 inches. I cannot find my mistake here, can someone enlighten me? The solutions I've found on the internet used this cutted areas.
View attachment 334034
You appear to have forgotten about the quarter circles taken out in the ##\bar y## computation for each area with regards to the component centroids.
 
  • Like
Likes   Reactions: Nova_Chr0n0 and Lnewqban
The posted math does not match the actual geometry of the composite body.

Calculated values of y of the centroid for A2 and A3 are less than the actual values, as those correspond to solid square and quarter of circle of reduced area (after substracting hollow areas).

The hollow areas at the bottom of those shapes make the resultant centroid to relocate to a higher position than for the solid shape.
 
  • Informative
Likes   Reactions: Nova_Chr0n0

Similar threads

  • · Replies 2 ·
Replies
2
Views
3K
Replies
3
Views
3K
  • · Replies 27 ·
Replies
27
Views
4K
  • · Replies 7 ·
Replies
7
Views
10K
  • · Replies 6 ·
Replies
6
Views
5K
  • · Replies 7 ·
Replies
7
Views
5K
Replies
11
Views
5K
  • · Replies 2 ·
Replies
2
Views
4K
  • Poll Poll
  • · Replies 6 ·
Replies
6
Views
9K
  • · Replies 12 ·
Replies
12
Views
5K