Determine VPS, quiescent value, and resistor value

  • Thread starter Thread starter DODGEVIPER13
  • Start date Start date
  • Tags Tags
    Resistor Value
Click For Summary

Discussion Overview

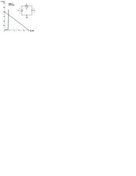
The thread discusses a homework problem involving the determination of the VPS voltage source value, resistor value, and the quiescent current (ID) in a circuit with a diode. The scope includes mathematical reasoning and conceptual clarification related to circuit analysis and load lines.

Discussion Character

  • Homework-related
  • Technical explanation
  • Conceptual clarification
  • Debate/contested

Main Points Raised

  • One participant calculates ID as approximately 1.7 mA using a graph and questions the choice of values for calculations.
  • Another participant explains the concept of a Load Line and its independence from the load attached, emphasizing the intersection with the diode's characteristic curve.
  • There is a discussion about using Ohm's law to find resistance and the implications of measuring internal resistance in practical scenarios.
  • Some participants express confusion about the relationship between Vd, Vps, and the resistor value, with varying interpretations of how to apply the equations.
  • One participant suggests that Vps can be directly read from the load line, while others question the need for further calculations.
  • There are multiple references to the resistance value of 2.5kΩ and its role in the calculations, with some participants confirming its correctness.
  • Participants discuss the potential drops in a series circuit and how to account for them in their calculations.

Areas of Agreement / Disagreement

Participants express varying levels of understanding regarding the application of the load line and the calculations involved. There is no clear consensus on the best approach to determine the values, and some participants challenge each other's reasoning without reaching a definitive agreement.

Contextual Notes

Some participants express uncertainty about the equations to use for reverse bias voltage and current, and there are unresolved questions about the assumptions made in the calculations. The discussion reflects a range of interpretations regarding the application of circuit analysis principles.

Who May Find This Useful

Students studying circuit analysis, particularly those interested in understanding load lines, diode characteristics, and the application of Ohm's law in practical scenarios.

DODGEVIPER13
Messages
668
Reaction score
0

Homework Statement


1) What is the VPS voltage source value in Volts

a) 1 b) 2 c)2.5 d)4 e) 5

2) Determine the Resistor value

a)1.75k b) 2 k e) 2.5k d)2.285 k e) 5k

3) What is the ID quiescent value approximately in mA’s?

a) 2 mA b) 1.7 mA c) 1.5 mA d) 1 mA e) 0.6 mA



Homework Equations


V=IR
Id=(Vps/R)-(Vd/R)


The Attempt at a Solution


I get Id=1.7 mA for part 3. I just found that by using the graph it looked liked 1.7 so that's what I assume is the answer. I think R can be found using the graph and ohms law Vd=5 V and I= 2 mA which gives R=2.5kΩ. What I am wondering is why do I use the farthest values here? Why don't I use the Vd and Id values are where the lines cross? Vps=RId+Vd=2.5(1.7)+.75=5v for part 1 this can be found using KVL because I had already found R, Id, and Vd.

I uploaded the entire quiz and a picture so that you could see the graph
 

Attachments

  • PhysicsforumsElectronicsQuestion1.jpg
    PhysicsforumsElectronicsQuestion1.jpg
    2.9 KB · Views: 573
  • quiz1_fa_solution.doc
    quiz1_fa_solution.doc
    446 KB · Views: 341
Last edited:
Physics news on Phys.org
The black line is called a Load Line. It depends only upon the source voltage and its series resistance. It is essentially independent of the load attached. In this case the "load" is the diode, which has its own characteristic curve (blue). Where the two intersect is the operating point of the circuit. It's a graphic way to "solve" for the operating conditions of a circuit containing nonlinear elements (like a diode).
 
What I am wondering is why do I use the farthest values here?

You don't have to use the furthest values.

Ohms law V=IR looks like the standard equation for a straight line y=mx+c where c=0 and the slope of the line m = R.

So you could calculate the slope of the line using any two points to get R.

This has real life applications because you cannot always measure the short circuit current. Imagine you wanted to measure the internal resistance of a 12V car battery. There is no way you could measure the short circuit current to get a data point at V=0. Trying to short circuit a 12V car battery is dangerous, the current could be 100's of amps and the battery terminals might melt and throw hot lead at you or worse. However you could load up the battery with some known safe currents and measure the corresponding voltage. Then plot the graph, calculate the slope, and get the internal resistance that way.
 
Ok so then that would make my logic correct by the way thanks to both of you for conceptual info?
 
R=V/I if I put in .75/1.75=.44 k ohms hmmmm what did I do wrong
 
Hey on question 4 what equations should I use I can't find an equation the equates Reverse bias voltage and reverse bias current
 
Ah ha so if the load line depends on the source and series resistance then Vd=Vps right?
 
DODGEVIPER13 said:
R=V/I if I put in .75/1.75=.44 k ohms hmmmm what did I do wrong

That would give the resistance of the diode at the operating point: the potential across the diode divided by the diode current.

To find R you want the slope of the load line at that operating point. But since the load line is a straight line, you can take the rise/run for the line using any convenient pair of points that lie on it. Its end points are very convenient indeed...
 
DODGEVIPER13 said:
Ah ha so if the load line depends on the source and series resistance then Vd=Vps right?

No, Vd is potential across the diode, which is Vp minus the drop across R. It's a series circuit, so you need to count all the potential drops.
 
  • #10
Vps=2.5Id+Vd ?
 
  • #11
DODGEVIPER13 said:
Vps=2.5Id+Vd ?

Is that "2.5" meant to be the 2.5kΩ resistance of R? If so, the equation looks fine.
 
  • #12
Well by the graph I know Id=1.7 then Vps=(2.5)(1.7) + Vd
 
  • #13
Yes the R is 2.5
 
  • #14
DODGEVIPER13 said:
Well by the graph I know Id=1.7 then Vps=(2.5)(1.7) + Vd

Sure. But I don't understand why you're agonizing over Vps. Didn't you already decide that Vps is 5V from the load line endpoint? It will not change.
 
  • #15
Oh so that's all I have to do on a problem like this is just say that 5V is Vps
 
  • #16
DODGEVIPER13 said:
Oh so that's all I have to do on a problem like this is just say that 5V is Vps

Yes, since you can read it directly off the given load line.
 
  • #17
DODGEVIPER13 said:
Oh so that's all I have to do on a problem like this is just say that 5V is Vps

Yes.

In most real life problems you would know Vps and use that to construct the load line.

This problem is slightly different in that they are asking you to work out Vps from a load line someone has already constructed.
 

Similar threads

  • · Replies 2 ·
Replies
2
Views
3K
  • · Replies 1 ·
Replies
1
Views
11K
  • · Replies 2 ·
Replies
2
Views
2K
Replies
0
Views
2K
  • · Replies 5 ·
Replies
5
Views
2K
  • · Replies 49 ·
2
Replies
49
Views
8K
Replies
1
Views
2K
  • · Replies 7 ·
Replies
7
Views
3K
Replies
7
Views
2K
Replies
16
Views
4K