Distribution Difference of Two Independent Random Variables

Click For Summary

Homework Help Overview

The discussion revolves around finding the probability density function (PDF) of the difference of two independent random variables, specifically Z = X - Y, where X and Y are uniform random variables on the interval (0,1). Participants explore the cumulative distribution function (CDF) and the convolution approach to derive the PDF.

Discussion Character

  • Exploratory, Mathematical reasoning, Problem interpretation, Assumption checking

Approaches and Questions Raised

  • Participants discuss starting with the CDF and drawing graphical representations to understand the relationship between X and Y. There are attempts to derive the PDF through convolution and integration limits, with some questioning the correctness of their derived expressions.

Discussion Status

Some participants express uncertainty about their calculations and the validity of their results, particularly regarding the integration limits and the properties of probability density functions. Others provide guidance on evaluating the limits and suggest drawing diagrams to clarify the integration regions.

Contextual Notes

Participants note that the problem involves independent random variables and that the PDF of the sum of two random variables is known, which may aid in finding the PDF of their difference. There is also mention of the need to consider the properties of uniform distributions in the context of the problem.

izelkay
Messages
115
Reaction score
3

Homework Statement


Z = X - Y and I'm trying to find the PDF of Z.

Homework Equations


Convolution

The Attempt at a Solution



Started by finding the CDF:
Fz(z) = P(Z ≤ z)

P(X - Y ≤ z)

So I drew a picture

jXF8OPD.png

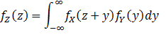
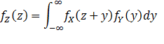
So then should Fz(z) be:
L3ergX2.png

since, from my graph, it looks as though Y can go from negative infinity to positive infinity, and X can go from negative infinity on the left but is bounded by z+y on the right

then should the pdf be:
Edit: sorry I forgot to include the fact that, because fx and fy are independent, f(x,y) = fxfy in the following derivation
lTE7FtX.png

?
 
Last edited:
Physics news on Phys.org
izelkay said:

Homework Statement


Z = X - Y and I'm trying to find the PDF of Z.

Homework Equations


Convolution

The Attempt at a Solution



Started by finding the CDF:
Fz(z) = P(Z ≤ z)

P(X - Y ≤ z)

So I drew a picture

jXF8OPD.png

So then should Fz(z) be:
L3ergX2.png

since, from my graph, it looks as though Y can go from negative infinity to positive infinity, and X can go from negative infinity on the left but is bounded by z+y on the right

then should the pdf be:
Edit: sorry I forgot to include the fact that, because fx and fy are independent, f(x,y) = fxfy in the following derivation
lTE7FtX.png

?

What is your question?
 
Your approach looks reasonable. Is there something you are particularly worried about?
 
Oh yes, sorry I was wondering if what I arrived at for the PDF of the difference of two independent random variables was correct.
proxy.php?image=http%3A%2F%2Fi.imgur.com%2FlTE7FtX.png

I tried Googling but all I could find was the pdf of the sum of two RVs, which I know how to do already.
 
Yes, it looks ok. You should note that if you know the pdf of the sum and the pdf of the negative of a distribution (i.e., if you know how the the distribution of ##Y##, what is the distribution of ##-Y##), then you can use these two to obtain the distribution of ##X-Y##.
 
  • Like
Likes   Reactions: izelkay
Orodruin said:
Yes, it looks ok. You should note that if you know the pdf of the sum and the pdf of the negative of a distribution (i.e., if you know how the the distribution of ##Y##, what is the distribution of ##-Y##), then you can use these two to obtain the distribution of ##X-Y##.
I'm going to modify the problem a little bit, can you tell me if I do it right/wrong?

X and Y are two independent random variables, each of which are uniform on (0,1). Find the pdf of Z = X - Y

Using my result from above, the pdf of Z is given by:
s%3A%2F%2Fwww.physicsforums.com%2Fproxy.php%3Fimage%3Dhttp%253A%252F%252Fi.imgur.com%252FlTE7FtX.png

X ~ U(0,1) and Y ~ U(0,1)

The pdf of fx(x) and fY(y) are both 1 on (0,1) and 0 otherwise.

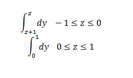
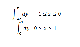
z goes from -1 to 1 because of X - Y right?

For -1 ≤ z ≤ 0
fy is uniform only on (0,1) so my integral limits should be z+1 to z

For 0 ≤ z ≤ 1 I wouldn't need to change the limits here, just from 0 to 1

So then the pdf of X - Y is:

R2EM2LA.png

Is this correct?
 
izelkay said:
I'm going to modify the problem a little bit, can you tell me if I do it right/wrong?

X and Y are two independent random variables, each of which are uniform on (0,1). Find the pdf of Z = X - Y

Using my result from above, the pdf of Z is given by:
s%3A%2F%2Fwww.physicsforums.com%2Fproxy.php%3Fimage%3Dhttp%253A%252F%252Fi.imgur.com%252FlTE7FtX.png

X ~ U(0,1) and Y ~ U(0,1)

The pdf of fx(x) and fY(y) are both 1 on (0,1) and 0 otherwise.

z goes from -1 to 1 because of X - Y right?

For -1 ≤ z ≤ 0
fy is uniform only on (0,1) so my integral limits should be z+1 to z

For 0 ≤ z ≤ 1 I wouldn't need to change the limits here, just from 0 to 1

So then the pdf of X - Y is:

R2EM2LA.png

Is this correct?

No, it cannot possibly be correct, because you would have f(z) = -1 for -1 < z < 0 and f(z) = 1 for 0 < z < 1. That kind of f cannot be a probability density function.

You need to go back and evaluate the limits more carefully; in cases like this, drawing an x,y diagram of the integration region would be helpful.
 
  • Like
Likes   Reactions: izelkay
Ray Vickson said:
No, it cannot possibly be correct, because you would have f(z) = -1 for -1 < z < 0 and f(z) = 1 for 0 < z < 1. That kind of f cannot be a probability density function.

You need to go back and evaluate the limits more carefully; in cases like this, drawing an x,y diagram of the integration region would be helpful.
I don't have much practice drawing integration regions of density functions and I wouldn't know where to start with this one besides drawing the box with vertices (0,0), (0,1), (1,0), (1,1).

I think I found another way to look at it though:

If -1 ≤ z ≤ 0,

If I want fx(z+y) to be 1, I need to shift the bounds by +1, and then I'll need z+y+1 ≥ 0 , or y ≥ -1-z

So
JuURESd.png


Then on 0 ≤ z ≤ 1,

I need z+y ≤ 1, or y ≤ 1 - z

So
do0sH.png


Then all together this is:

1 + z , -1 ≤ z ≤ 0
1 - z , 0 ≤ z ≤ 1

I got the same answer as here: http://www.math.wm.edu/~leemis/chart/UDR/PDFs/StandarduniformStandardtriangular.pdf
but I'm not sure my process is correct because my bounds are a little different than theirs, and I don't know how they computed the cdf
 
izelkay said:
I don't have much practice drawing integration regions of density functions and I wouldn't know where to start with this one besides drawing the box with vertices (0,0), (0,1), (1,0), (1,1).

I think I found another way to look at it though:

If -1 ≤ z ≤ 0,

If I want fx(z+y) to be 1, I need to shift the bounds by +1, and then I'll need z+y+1 ≥ 0 , or y ≥ -1-z

So
JuURESd.png


Then on 0 ≤ z ≤ 1,

I need z+y ≤ 1, or y ≤ 1 - z

So
do0sH.png


Then all together this is:

1 + z , -1 ≤ z ≤ 0
1 - z , 0 ≤ z ≤ 1

I got the same answer as here: http://www.math.wm.edu/~leemis/chart/UDR/PDFs/StandarduniformStandardtriangular.pdf
but I'm not sure my process is correct because my bounds are a little different than theirs, and I don't know how they computed the cdf

You already drew part of the diagram in Post #1. You just need to add the boundary lines x = 0, x = 1, y = 0, y = 1 and you are done---that's your drawing!

You say you "don't know how they computed the cdf". Well, you claimed before that you know how to compute the cdf of a SUM, and that is all you need to do.

If ##Z = X-Y## then ##S = Z+1## has the form ##S = X + (1-Y) = X + Y'##, where ##X## and ##Y' = 1-Y## are independent and ##\rm{U}(0,1)## random variables. Thus, ##S## is the sum of two uniforms, and has a well-known, widely-documented triangular density:
[tex]f_S(s) = \begin{cases} s, & 0 < s < 1\\ 2-s, & 1 < s < 2\\<br /> 0 & \rm{elsewhere}<br /> \end{cases}[/tex]
Now just shift the graph of ##f_S(s)## one unit to the left, and that would be your density of ##Z##: ##f_Z(z) = f_S(1+z), \; -1 < z < 1##.
 
Last edited:
  • Like
Likes   Reactions: izelkay

Similar threads

  • · Replies 2 ·
Replies
2
Views
1K
Replies
9
Views
3K
Replies
2
Views
2K
  • · Replies 2 ·
Replies
2
Views
2K
Replies
7
Views
2K
  • · Replies 7 ·
Replies
7
Views
2K
  • · Replies 3 ·
Replies
3
Views
2K
  • · Replies 2 ·
Replies
2
Views
2K
  • · Replies 7 ·
Replies
7
Views
2K
  • · Replies 6 ·
Replies
6
Views
2K