Find ##\frac{dh}{dt}## in the problem involving related change.

  • Thread starter Thread starter chwala
  • Start date Start date
  • Tags Tags
    Change
Click For Summary
SUMMARY

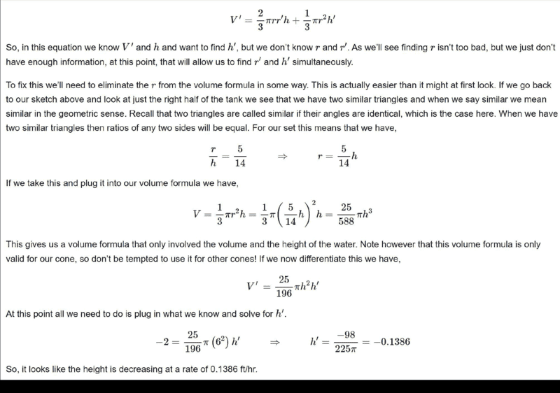
The discussion focuses on finding the rate of change of height, ##\frac{dh}{dt}##, in a related rates problem involving a cone's volume. The solution utilizes implicit differentiation, leading to the equation ##\frac{dV}{dt} = \frac{dV}{dh} \cdot \frac{dh}{dt} + \frac{dV}{dr} \cdot \frac{dr}{dt}##. By substituting the relationship ##r = \frac{5}{14}h##, the final result for ##\frac{dh}{dt}## is calculated as ##-0.1386##. The discussion emphasizes the importance of expressing volume as a function of a single variable for simplification.

PREREQUISITES
  • Understanding of implicit differentiation
  • Familiarity with related rates in calculus
  • Knowledge of cone volume formula, ##V = \frac{1}{3}\pi r^2 h##
  • Ability to manipulate derivatives and apply chain rule
NEXT STEPS
  • Study implicit differentiation techniques in calculus
  • Learn how to derive related rates problems involving geometric shapes
  • Explore the relationship between volume and dimensions in cones
  • Practice solving problems using the chain rule in calculus
USEFUL FOR

Students and educators in calculus, particularly those focusing on related rates and implicit differentiation, as well as anyone looking to enhance their problem-solving skills in geometric applications.

chwala
Gold Member
Messages
2,840
Reaction score
428
Homework Statement
See attached
Relevant Equations
Related change- differentiation.
Find the problem here with solution. My interest is on part (a) only.
1656942385703.png
Solution;

1656942543621.png


1656942579508.png


The steps to solution are very much clear...the author made use of implicit differentiation. Now, would i be right to have;

##\dfrac{dV}{dt}=\dfrac{dV}{dh}\cdot \dfrac{dh}{dt}+ \dfrac{dV}{dr}\cdot \dfrac{dr}{dt}##

##-2=\dfrac{1}{3}π×\left[\dfrac{5}{14} h\right]^2\dfrac{dh}{dt}+\dfrac{2}{3}π ×\left[\dfrac{5}{14} h\right]h\dfrac{dr}{dt}##

We know that ##r=\dfrac{5}{14} h,## therefore ##\dfrac{dr}{dt}=\dfrac{5}{14}\dfrac{dh}{dt}##

##-2=\dfrac{1}{3}π×4.5918\dfrac{dh}{dt}+\dfrac{2}{3}π×12.857×\left[\dfrac{5}{14} h\right]h\dfrac{dr}{dt}##

##-2=4.8084\dfrac{dh}{dt}+9.6170\dfrac{dh}{dt}##

##-2=14.4254 \dfrac{dh}{dt}##

##\dfrac{dh}{dt}=-0.1386##

Your thoughts...i hope i did not just go round and round on the implicit approach...but hey that's how i think on this.
 
Last edited:
Physics news on Phys.org
chwala said:
The steps to solution are very much clear...the author made use of implicit differentiation. Now, would i be right to have;
##\dfrac{dv}{dt}=\dfrac{dv}{dh}\cdot \dfrac{dh}{dt}+ \dfrac{dv}{dr}\cdot \dfrac{dr}{dt}##
##-2=\dfrac{1}{3}π\cdot \left[\dfrac{5}{14} h\right]^2⋅\dfrac{dh}{dt}+\dfrac{2}{3}π\cdot \left[\dfrac{5}{14} h\right]⋅h⋅\dfrac{dr}{dt}##
Certainly volume V is a function of both r and h, but due to the fact that every vertical cross-section of the cone is a triangle, it's much more convenient (and a lot easier) to treat r as a linear function of h (or vice versa), which makes V a function of a single variable.

Later edit: Another problem with your approach is that you're given neither dr/dt nor dh/dt. In what I described in the previous paragraph, the text you quoted actually gives the linear relationship between h and r; namely, ##r = \frac 5{14}h##. By replacing r in the equation for V for the cone, V can be written as a function of h alone.

Nits:
  • Your total derivative above, ##\dfrac{dv}{dt}## should be written in terms of the partial derivatives of volume with respect to r and h respectively. That is, in terms of ##\frac{\partial V}{\partial r}## and ##\frac{\partial V}{\partial h}##, not as ordinary derivatives.
  • Stylewise, V is traditionally used for volume while v (lowercase) is used for velocity.
 
Last edited:
  • Like
Likes   Reactions: chwala
Hey @Mark44 ...i've been busy marking scripts as an Examiner. Hope all well...
 
Last edited:

Similar threads

  • · Replies 24 ·
Replies
24
Views
2K
  • · Replies 8 ·
Replies
8
Views
1K
  • · Replies 2 ·
Replies
2
Views
2K
Replies
8
Views
2K
  • · Replies 24 ·
Replies
24
Views
3K
  • · Replies 3 ·
Replies
3
Views
2K
Replies
2
Views
1K
  • · Replies 4 ·
Replies
4
Views
1K
  • · Replies 4 ·
Replies
4
Views
2K
  • · Replies 7 ·
Replies
7
Views
2K