Find v(x) of a mass suspended from a spring

Click For Summary

Homework Help Overview

The discussion revolves around finding the velocity function v(x) for a mass suspended from a spring, involving concepts from mechanics and differential equations. Participants are exploring the relationship between potential energy, kinetic energy, and the dynamics of a spring-mass system.

Discussion Character

  • Exploratory, Conceptual clarification, Mathematical reasoning, Problem interpretation, Assumption checking

Approaches and Questions Raised

  • Participants discuss the necessity of constants in the velocity function and the role of parameters k and m in the differential equation. There are attempts to clarify the energy conservation equation and its implications for the system's behavior.

Discussion Status

The conversation is ongoing, with participants providing guidance on the setup of the differential equation and questioning the assumptions made about energy conservation. Some participants are re-evaluating their equations and seeking confirmation on their interpretations.

Contextual Notes

There is mention of conflicting information regarding the equilibrium position of the spring and the conditions at which the mass is at rest. Participants are also addressing the implications of the spring's potential energy and kinetic energy in their equations.

spsch
Messages
111
Reaction score
21
Homework Statement
A mass (m=0.2 kg) is suspended from a spring (D/k=10 N/m)

When x = 0 (Spring is relaxed, at equilibrium), v(0) is 3 m/s.

Find v(x) as a first order differential equation.
Relevant Equations
I tried using energy conservation to check my work, but I think I messed up. I boxed in my solution. Above is me trying to verify with the conservation of energy and below is my attempt.
Hi all, I have a problem that I've been grappling with for the past 2 hours.

I was confident at first that I found the correct solution, but when I tried to verify I didn't have a constant in my v(x) function.

Here is my attempt:

I appreciate your help kind internet strangers!
 
Physics news on Phys.org
I boxed in my solution
but someone else boxed 'We value your privacy' over your picture and I don't want to give them access to my computer.
 
What also throws me off is that they gave me k and m, but I didn't need it for my solution :oops:
 
BvU said:
but someone else boxed 'We value your privacy' over your picture and I don't want to give them access to my computer.
I'm sorry, I don't understand?
 
https://www.physicsforums.com/attachments/244545
 
BvU said:
https://www.physicsforums.com/attachments/244545
I'm sorry I can't open your attachement, page not found.
 
BvU said:
https://www.physicsforums.com/attachments/244545
Do you get a cookie notification from imgur? Meaning I should repost my picture?
I try uploading it as attachment.
 

Attachments

  • IMG_20190603_172630.jpg
    IMG_20190603_172630.jpg
    70.4 KB · Views: 329
spsch said:
I'm sorry I can't open your attachement, page not found.
Don't know what went wrong:
244565
 
spsch said:
What also throws me off is that they gave me k and m, but I didn't need it for my solution :oops:
You need ##k## and ##m## in the differential equation you are supposed to set up -- at least according to your own problem statement:
Find v(x) as a first order differential equation.
 
  • Like
Likes   Reactions: spsch
  • #10
spsch said:
didn't have a constant in my v(x) function.
Please clarify: which equation and which constant do you think you are missing?
If you mean your differential equation (the one with vdv/dx) and the constant C, you would not expect that constant in that equation. The given information about the value of v at x=0 is redundant.
 
  • Like
Likes   Reactions: spsch
  • #12
haruspex said:
Please clarify: which equation and which constant do you think you are missing?
If you mean your differential equation (the one with vdv/dx) and the constant C, you would not expect that constant in that equation. The given information about the value of v at x=0 is redundant.
Hi, can you see my attachement https://www.physicsforums.com/attachments/img_20190603_172630-jpg.244546/ (i am asking because I seem not to be able to open all)

When I solve for v(x) with differential equations and when I use conservation of Energy I get two solutions that differ by a constant 9 under the square root.
 
  • #13
The function itself is also weird shouldn't v(x) eventually come to 0 when kx = mg?
 
  • #14
spsch said:
When I solve for v(x) with differential equations and when I use conservation of Energy I get two solutions that differ by a constant 9 under the square root.
I was misled by the layout of your working. I thought you were comparing the boxed equation half way down with the final one.
Right at the start I see you have ##\frac 12kx^2=mgh+\frac 12mv^2##.
Please explain the basis of this equation and what h represents there.
Soon after, you quietly dropped the minus sign in ##\sqrt{-2gh}##.
spsch said:
shouldn't v(x) eventually come to 0 when kx = mg?
Why? If that condition arises it would then be static.
 
  • Like
Likes   Reactions: spsch
  • #15
haruspex said:
I was misled by the layout of your working. I thought you were comparing the boxed equation half way down with the final one.
Right at the start I see you have ##\frac 12kx^2=mgh+\frac 12mv^2##.
Please explain the basis of this equation and what h represents there.
Soon after, you quietly dropped the minus sign in ##\sqrt{-2gh}##.

Why? If that condition arises it would then be static.
Hi Haruspex.
Yes, I'm sorry the layout is bad I see that now. I had the work on another sheet and I actually thought it would be more clear this way.

The above is me trying to verify my solution by using conservation of energy.

This is what I thought:
At the middle where v is at it's maximum and x = 0 there is only potential energy mgh (or mgy) and the kinetic energy which is at it's maximum there.
On the way down the spring force works against the kinetic energy and gravity, i.e. pulls the mass up.

if we say that h= 0 where kx = mg then all the energy there, at the bottom so to say is(1/2)*k*x^2
##\frac 12kx^2##. So all of the potential energy and kinetic energy turned into potential spring energy.I dropped the minus sign because g is negative (-)(-) = (+), but I've wondered about whether I made a mistake here myself already, I actually dreamt about it.I thought at the bottom v should be zero for a short time and reverse. I was imagining it.
 
  • #16
spsch said:
I thought at the bottom v should be zero for a short time and reverse. I was imagining it
I don't think you imagine it:
Animated-mass-spring-faster.gif

(picture from Wikipedia)

Please confirm that you are searching for a first-order differential equation for ##v##, as your post #1 indicated...

(because usually we deal with this harmonic oscillator as a second-order differential equation in ##x##)
 
  • Like
Likes   Reactions: spsch
  • #17
Hi BvU

Thank you for replying.

This is exactly what I was imagining it to look like (your gif animation).

I am looking for first-order differential equation.

The exact problem is two parts, a and b.

a) Find a 1st Order differential Equation Expression for v(x).

b) Solve the Equation you found for v(x)

it's from an old swiss high school physics exam.
 
  • #18
spsch said:
At the middle where v is at it's maximum and x = 0
There is an apparent conflict in the given information. It says "When x = 0 (Spring is relaxed, at equilibrium)", but the equilibrium position (with the mass attached) is not with the spring relaxed.
Anyway, I'll assume it means equilibrium.
But your energy equation is still wrong. The total energy is constant. Rewrite the equation to express that.
 
  • #19
haruspex said:
There is an apparent conflict in the given information. It says "When x = 0 (Spring is relaxed, at equilibrium)", but the equilibrium position (with the mass attached) is not with the spring relaxed.
Anyway, I'll assume it means equilibrium.
But your energy equation is still wrong. The total energy is constant. Rewrite the equation to express that.
Hi Haruspex,
I am sorry!
It actually only says at x=0 where the spring is relaxed v = 3 m/s. Assumed that this must be equilibrium and attempted to translate.

There is a diagram with it. I attached a screenshot.

I will redo the equation and see if I can get the two to mean the same thing!

thank you very much.

there also is a hint with a = v*dv/dx, which is why I went with kx-mg=mv*dv/dx
 

Attachments

  • Untitled-1.jpg
    Untitled-1.jpg
    34.9 KB · Views: 328
  • #20
spsch said:
It actually only says at x=0 where the spring is relaxed v = 3 m/s.
Ok, but try to write the energy conservation equation now.
 
  • Like
Likes   Reactions: spsch
  • #21
haruspex said:
Ok, but try to write the energy conservation equation now.
Thank you, I am, I'm trying to figure out where I'm implying that it isn't constant. I had thought of the way that I wrote it that it expresses that the total energy is constant.
:-S.
 
  • #22
spsch said:
Thank you, I am, I'm trying to figure out where I'm implying that it isn't constant. I had thought of the way that I wrote it that it expresses that the total energy is constant.
:-S.
You have spring PE on one side and KE on the other, both positive. E.g. both can increase with no change to the GPE.
 
  • Like
Likes   Reactions: spsch
  • #23
haruspex said:
You have spring PE on one side and KE on the other, both positive. E.g. both can increase with no change to the GPE.
Hello Haruspex,

Thank you very much for your help.
I gave it a lot of thought, and by myself, I still didn't quite get what's wrong.

But by your hint, I think I may have figured out what the right equation is.
I rewrote it and uploaded it as an attachment, together with a drawing which attempts to explain my thinking in how I got the first equation.
Would you mind checking if the new equation is correct?

I changed h to be A-x, where A is the amplitude.

I am sorry if I'm a bit slow, I haven't had formal schooling, and I found that I sometimes taught myself things the wrong way when it's way too late. But that's why I also really appreciate the help, like having a teacher!
 

Attachments

  • IMG_20190604_152232.jpg
    IMG_20190604_152232.jpg
    65.8 KB · Views: 340
  • #24
spsch said:
Hello Haruspex,

Thank you very much for your help.
I gave it a lot of thought, and by myself, I still didn't quite get what's wrong.

But by your hint, I think I may have figured out what the right equation is.
I rewrote it and uploaded it as an attachment, together with a drawing which attempts to explain my thinking in how I got the first equation.
Would you mind checking if the new equation is correct?

I changed h to be A-x, where A is the amplitude.

I am sorry if I'm a bit slow, I haven't had formal schooling, and I found that I sometimes taught myself things the wrong way when it's way too late. But that's why I also really appreciate the help, like having a teacher!
It's rather hard to follow your working without some explanation. Don't worry about the amplitude for now. That is a "boundary condition" we can plug in later if appropriate.
You are defining x as displacement from spring’s relaxed position. I'll assume up is positive.
At x, you have that the elastic PE (EPE) is ##\frac 12kx^2## and that the KE is ##\frac 12mv^2##
What is the GPE (relative to x=0)? So what expression do you get for the total energy at x?

Next, plug in the known values at x=0 to find the value of that constant energy.
 
  • Like
Likes   Reactions: spsch
  • #25
spsch said:
Hi all, I have a problem that I've been grappling with for the past 2 hours.

I was confident at first that I found the correct solution, but when I tried to verify I didn't have a constant in my v(x) function.
In your Original Post you had the following .
244602

So that first line refers to the total energy at ##x=0##, at which location the spring is unstretched. The gravitational potential here is referenced to some other point by ##h##.

The second line appears to be the total energy at some value of ##x## at which the gravitational potential is zero and the velocity, ##v##, is also zero. Since the gravitational potential here is zero, this must be a distance, ##h## below ##x=0## and ##h## must be positive, i.e. it must be that at this location ##x=-h##.

Thus the gravitational potential at an arbitrary location is given by ##mg(x+h)##.
 
Last edited:
  • Like
Likes   Reactions: spsch
  • #26
Thank you haruspex, I think I see my mistake thanks to you and sammy, i'll try to rewrite it now.
 
  • #27
haruspex said:
It's rather hard to follow your working without some explanation. Don't worry about the amplitude for now. That is a "boundary condition" we can plug in later if appropriate.
You are defining x as displacement from spring’s relaxed position. I'll assume up is positive.
At x, you have that the elastic PE (EPE) is ##\frac 12kx^2## and that the KE is ##\frac 12mv^2##
What is the GPE (relative to x=0)? So what expression do you get for the total energy at x?

Next, plug in the known values at x=0 to find the value of that constant energy.
It took me an awful many attempts, but I think I almost got it now. I am so grateful. Posting in a few!
 
  • #28
SammyS said:
In your Original Post you had the following .
View attachment 244602
So that first line refers to the total energy at ##x=0##, at which location the spring is unstretched. The gravitational potential here is referenced to some other point by ##h##.

The second line appears to be the total energy at some value of ##x## at which the gravitational potential is zero and the velocity, ##v##, is also zero. Since the gravitational potential here is zero, this must be a distance, ##h## below ##x=0## and ##h## must be positive, i.e. it must be that at this location ##x=-h##.

Thus the gravitational potential at an arbitrary location is given by ##mg(x+h)##.
Thank you! I think I have found a solution now! And it seems to verify my differential.
 
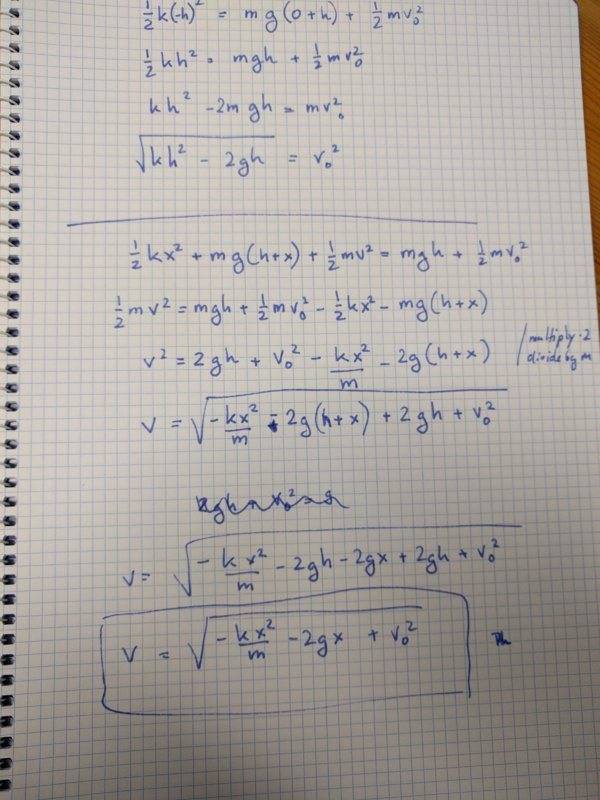
  • #29
I think this is it? I graphed it and it looks like what I imagined the graph to be like that there are two zeros (when spring is all the way up and when it is all the way at -h).

There is a discrepancy with the negative sign to my differential though.

should kx-mg = ma actually be -kx-mg = ma?

Does this otherwise look correct?

Thank you so much, really!
 

Attachments

  • IMG_20190605_091929.jpg
    IMG_20190605_091929.jpg
    68.1 KB · Views: 336
  • #30
spsch said:
I think this is it? I graphed it and it looks like what I imagined the graph to be like that there are two zeros (when spring is all the way up and when it is all the way at -h).

There is a discrepancy with the negative sign to my differential though.

should kx-mg = ma actually be -kx-mg = ma?

Does this otherwise look correct?

Thank you so much, really!
Don't worry about h and v0 yet. Start with the general condition as in post #24. If it is at x above the relaxed position and moving upwards at speed v:
What is the spring PE?
What is the KE?
What is the GPE (relative to x=0)?
What is the total?
 
  • Like
Likes   Reactions: spsch

Similar threads

Replies
29
Views
3K
  • · Replies 10 ·
Replies
10
Views
2K
Replies
3
Views
2K
  • · Replies 31 ·
2
Replies
31
Views
3K
Replies
2
Views
959
Replies
2
Views
2K
Replies
5
Views
5K
Replies
1
Views
1K
Replies
26
Views
3K
Replies
2
Views
2K