Help with Mathematical Description & Calculations of Space Charge Density

Click For Summary

Homework Help Overview

The discussion revolves around the mathematical description and calculations related to space charge density in the context of electrostatics, specifically involving a point charge and its interaction with conducting surfaces. The original poster describes a scenario with a point charge and seeks assistance with the mathematical representation of space charge density and potential calculations.

Discussion Character

  • Exploratory, Conceptual clarification, Mathematical reasoning

Approaches and Questions Raised

  • Participants explore the use of delta functions to describe space charge density and question the implications of using mirror charges in the context of conducting planes. There are inquiries about the E-field lines and how to represent them graphically.

Discussion Status

Some participants have provided feedback on the clarity of the original poster's sketches and have prompted further elaboration on the mathematical work presented. There is an ongoing exploration of the concept of mirror charges and their positions, with hints offered regarding the relationship between the point charge and its reflections.

Contextual Notes

Participants note the importance of clarity in the problem statement and sketches, as well as the requirement to show work before receiving detailed help. There is a mention of forum rules regarding posting algebraic expressions, indicating a focus on proper representation of mathematical work.

Buzzer33
Messages
3
Reaction score
0
Homework Statement
leaarning
Relevant Equations
no
Guys I have Problems with this task The arrangement consists of a point charge Q at a distance (x0, y0,0) from the origin and two perfectly conductive surfaces in the (x, z) and (y, z) plane

a) Mathematical description of the space charge density p of the original and mirror charge using the delta function. Consider the perfectly conductive surfaces as infinitely extended in the respective direction and carry out reflections. b) Calculate the potential

c) Draw lines E field

Has somebody ideas for a)and b) because I am learning currently

Here the sketch to the task

https://ibb.co/zbSyb3d
 
Physics news on Phys.org
Buzzer33 said:
Homework Statement:: leaarning
Relevant Equations:: no

Guys I have Problems with this task The arrangement consists of a point charge Q at a distance (x0, y0,0) from the origin and two perfectly conductive surfaces in the (x, z) and (y, z) plane

a) Mathematical description of the space charge density p of the original and mirror charge using the delta function. Consider the perfectly conductive surfaces as infinitely extended in the respective direction and carry out reflections. b) Calculate the potential

c) Draw lines E field

Has somebody ideas for a)and b) because I am learning currently

Here the sketch to the task

https://ibb.co/zbSyb3d
Welcome to PF.

The picture of your sketch is pretty fuzzy, but it looks like it is a single point charge that is located a distance awat from two orthogonal conducting planes? If you have a better picture or can post an image of the actual problem statement, that would help.

Also, you need to show your work before we can offer tutorial help.

And what do you know about the E-field lines for a point charge above a single conducting plane? What does it mean to use a "mirror charge" image, and how does that simplify the problem?
 
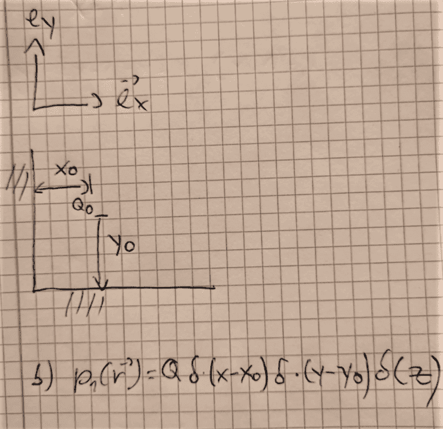
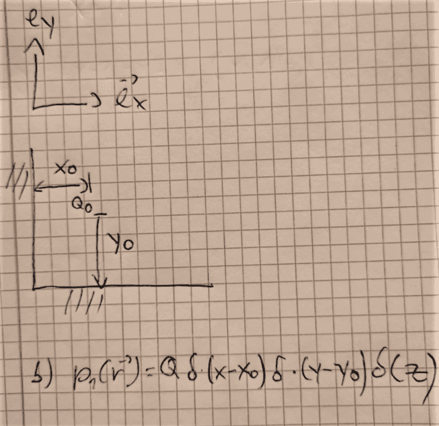
I made the sketch a little better .I haven't got a better on .

I did a little work in b) which is in the pic but don't know what to do further:-p:-p

1631819818259.png


https://ibb.co/0CqtSqY
 
Buzzer33 said:
I made the sketch a little better .I haven't got a better on .

I did a little work in b) which is in the pic but don't know what to do further:-p:-p

View attachment 289170

https://ibb.co/0CqtSqY
I can't read the LHS of the equation, but the RHS looks right for the space charge density of the point charge.
Please post algebra as typed in, not in images (per forum rules). Use LaTeX if you can. There's a guide at the link at bottom left.

What about the mirror charges? Where are they, and what are their signs?
Hint: it's very like looking at your own reflections in two mirrors at right angles.
 
  • Like
Likes   Reactions: berkeman
Last edited by a moderator:
Buzzer33 said:
Do you know how to draw line E field ?

https://ibb.co/6DxjK2W
The diagram at that link looks good. Doesn't that do it for you?
 

Similar threads

  • · Replies 1 ·
Replies
1
Views
2K
Replies
21
Views
2K
  • · Replies 15 ·
Replies
15
Views
5K
  • · Replies 9 ·
Replies
9
Views
10K
  • · Replies 8 ·
Replies
8
Views
2K
  • · Replies 6 ·
Replies
6
Views
2K
  • · Replies 2 ·
Replies
2
Views
2K
  • · Replies 6 ·
Replies
6
Views
7K
  • · Replies 3 ·
Replies
3
Views
2K
  • · Replies 22 ·
Replies
22
Views
3K