How do I compute jerk in 2D space for a mouse tracking task?

Click For Summary

Homework Help Overview

The discussion revolves around computing jerk in a 2D space for a mouse tracking task, focusing on the kinematics involved in analyzing movement data. The original poster is attempting to derive formulas for velocity, acceleration, and jerk while working with MATLAB, expressing uncertainty about the application of various formulas in a two-dimensional context.

Discussion Character

  • Exploratory, Conceptual clarification, Assumption checking

Approaches and Questions Raised

  • The original poster describes their calculations for displacement, velocity, and acceleration, and seeks clarification on how to accurately compute jerk. They express confusion over the applicability of different jerk formulas in a 2D scenario and question whether their understanding of the variables is correct.

Discussion Status

Some participants have provided insights regarding the relationship between 1D and 2D kinematics, suggesting that principles from one dimension can be adapted to two dimensions. There is acknowledgment of the potential for confusion stemming from different contexts in which jerk is discussed, such as in arm movements, but no consensus has been reached on the specific formulas or their applicability.

Contextual Notes

The original poster notes their limited background in physics and calculus, which may affect their interpretation of the formulas. There is mention of potential issues with data precision and the impact of differentiation on error propagation.

YoYojimbo
Messages
2
Reaction score
0
Hi everyone,

I am a graduate student in psychology and am working on a research project where I am trying to derive the kinematics of a mouse tracking task. I am currently writing a MATLAB script to do this, and I believe my equations for velocity and acceleration are correct, but I have very little background in physics/calculus and am having difficulty computing the 3rd derivative of position, jerk. I know this forum is for high school/undergraduate level students, but I believe this question is too simple to post in the other forum.

1. Homework Statement

I have calculated the euclidean distances between all xy samples and determined the sum of the euclidean distances to determine displacement for the entire movement and the displacement between each pair of xy coordinates.

With displacement:
I have calculated the average velocity with the formula "sum of euclidean distance/total time of movement.

I have calculated the velocity profile using the the euclidean distances between each pair of xy coordinates divided by the sample rate (the time between each sample, so .5ms).
In regards to calculating acceleration, I have used the same formulas as above, but replaced displacement with velocity (the rate of change of velocity)

However, in regards to jerk (the rate of change of acceleration), I am trying to make sure I am calculating this correctly. I keep finding different formulas, but I am not certain all of them apply to 2D kinematics. If jerk is the rate of change of acceleration, am I wrong in thinking it can be calculated by acceleration divided by the time between each xy coordinate pairs?

I think my main issue is digesting the formulas. I have read quite a bit about calculating the derivatives of position, but with my limited understanding of physics, it is difficult to determine if the formulas are applicable to above mentioned 2D coordinate plane situation.

I really appreciate the any advice/help anyone can offer!

Best
 
Last edited by a moderator:
Physics news on Phys.org
The only difference between 2D and "1D" Kinematics is you have x and y components. So anything that applies to 1 dimension should easily apply to 2 with the help of a little trig and geometry. What different formulas are your getting?
 
Hi,

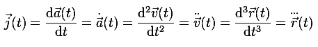
Thank you for the reply! I am using the following formulas.
upload_2015-1-30_11-2-5.png

upload_2015-1-30_11-2-26.png

upload_2015-1-30_11-2-45.png


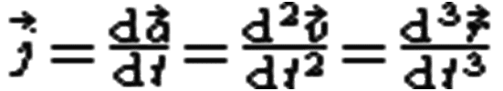
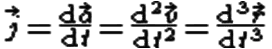
Here are the jerk formulas
upload_2015-1-30_11-3-18.png

I assume this is the same as above
upload_2015-1-30_11-6-34.png

Those are the formulas I have found. The rest of the confusion comes from journal articles talking about jerk of arm movements. I am not sure if that is applicable to my situation. Does it seem like my thinking about the variables is correct?

Thank you.
 

Attachments

  • LeighJam.png
    LeighJam.png
    1.3 KB · Views: 574
YoYojimbo said:
Hi,

Thank you for the reply! I am using the following formulas.
View attachment 78416
View attachment 78417
View attachment 78418

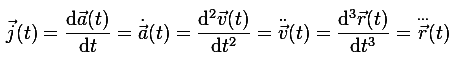
Here are the jerk formulas
View attachment 78419
I assume this is the same as above
View attachment 78421
Those are the formulas I have found. The rest of the confusion comes from journal articles talking about jerk of arm movements. I am not sure if that is applicable to my situation. Does it seem like my thinking about the variables is correct?

Thank you.
That all looks ok, though I advise caution when dealing with real data. Each step in the differentiation chain can turn small errors into larger ones. You could apply some smoothing, but if overdone that will understate the values. You need to be aware of the precision of the original data and what that says about the answers.
You mention conflicting information regarding jerk of arms, but don't indicate what the conflict is. Is it possible those are not using "jerk" in this formal sense?
 

Similar threads

  • · Replies 9 ·
Replies
9
Views
4K
  • · Replies 10 ·
Replies
10
Views
3K
  • · Replies 5 ·
Replies
5
Views
3K
  • · Replies 1 ·
Replies
1
Views
2K
  • · Replies 4 ·
Replies
4
Views
3K
Replies
15
Views
3K
  • · Replies 10 ·
Replies
10
Views
3K
  • · Replies 5 ·
Replies
5
Views
3K
  • · Replies 14 ·
Replies
14
Views
22K
Replies
1
Views
3K