LT & Translation Symmetry: Problem Analysis

Click For Summary

Discussion Overview

The discussion revolves around the concepts of Lorentz transformations, boosts, and translation symmetry within the context of Minkowski space. Participants analyze the distinctions between these transformations and their implications in theoretical physics, particularly in relation to the Poincaré group.

Discussion Character

  • Technical explanation
  • Debate/contested

Main Points Raised

  • Some participants assert that the transformations referred to as "Lorentz transformations" are actually boosts, which differ from space and time translations.
  • There is a suggestion that the original post does not accurately quote the full Lorentz transformation equations but instead references length contraction and time dilation.
  • One participant elaborates on the full symmetry group of Minkowski space, describing it as the proper orthochronous Poincaré group and detailing its mathematical structure and properties.
  • Participants discuss the mathematical formulation of the transformations and the group product, emphasizing the relationship between boosts and translations.

Areas of Agreement / Disagreement

Participants express differing views on the classification of transformations and whether the original post accurately represents Lorentz transformations. There is no consensus on the interpretation of the transformations discussed.

Contextual Notes

Some limitations include the potential misunderstanding of terminology related to Lorentz transformations and boosts, as well as the complexity of the mathematical formulations presented. The discussion does not resolve these terminological and conceptual ambiguities.

HaoBoJiang
Messages
5
Reaction score
2
TL;DR
Does Lorentz transformation have the symmetry of time and space translation? Why?
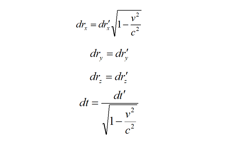
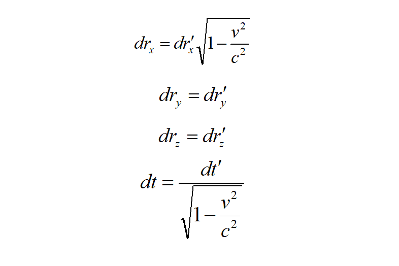
As we all know, for the reference frame S' and S of relative motion, according to Lorentz transformation, we can get
As we all know, for the reference frame S' and S of relative motion, according to Lorentz transformation, we can get​
As we all know, for the reference frame S' and S of relative motion, according to Lorentz transformation, we can get
 

Attachments

  • ST.png
    ST.png
    4.1 KB · Views: 241
Physics news on Phys.org
@HaoBoJiang first of all, please use the PF LaTeX feature to post equations:

https://www.physicsforums.com/help/latexhelp/

We do not allow equations posted as images, since they cannot be quoted in replies.

Second, the transformations you are calling "Lorentz transformations" are different transformations from space and time translations. The transformations you are calling "Lorentz transformations" are more precisely called "boosts". Boosts are not translations, so of course you should not expect them to have the properties of translations.

The full group of Lorentz transformations contains boosts and spatial rotations, but not translations. If you add space and time translations, you get a larger group called the Poincare group.
 
  • Like
Likes   Reactions: Orodruin and berkeman
PeterDonis said:
Second, the transformations you are calling "Lorentz transformations" are different transformations from space and time translations. The transformations you are calling "Lorentz transformations" are more precisely called "boosts". Boosts are not translations, so of course you should not expect them to have the properties of translations.
I don’t know if I would say that he quoted boosts. It looks as if he has just quoted length contraction and time dilation.
 
Orodruin said:
I don’t know if I would say that he quoted boosts. It looks as if he has just quoted length contraction and time dilation.

Yes, you're right, the actual equations given in the OP are not the full Lorentz transformation (boost) equations.
 
The full symmetry group of Minkowski space as an affine pseudo-Euclidean space is the group ##\text{ISO}(1,3)^{\uparrow}##, i.e., the proper orthochronous Poincare group (I leave out the non-continuously connected parts, including time reversal and space reflections). They are the semidirect product of the proper orthochronous Lorentz group, represented by ##\mathrm{R}^{4 \times 4}## matrices, ##{\Lambda^{\mu}}_{\nu}## fulfilling
$$\eta_{\mu \nu} {\Lambda^{\mu}}_{\rho} {\Lambda^{\nu}}_{\sigma} =\eta_{\rho
\sigma}, \quad \mathrm{det} \hat{\Lambda}=+1, \quad {\Lambda^0}_{0} \geq 1.$$
with the pseudo-metric components ##(\eta_{\mu \nu})=\mathrm{diag}(1,-1,-1,-1)##, and translations ##x^{\mu} \rightarrow x^{\mu}+a^{\mu}## with ##a^{\mu}=\text{const}.##

The group element is ##(\hat{\Lambda},a)##, acting on the spacetime components as
$$(\hat{\Lambda}, a) \boldsymbol{x}=\hat{\Lambda} \boldsymbol{x} +a.$$
The group product thus is given by
$$(\hat{\Lambda}_2,a_2)(\hat{\Lambda}_1,a_1)=(\hat{\Lambda}_2 \hat{\Lambda}_1,a_2+\hat{\Lambda}_2 a_1).$$
 

Similar threads

  • · Replies 7 ·
Replies
7
Views
2K
  • · Replies 9 ·
Replies
9
Views
2K
  • · Replies 7 ·
Replies
7
Views
3K
Replies
3
Views
2K
  • · Replies 35 ·
2
Replies
35
Views
2K
  • · Replies 37 ·
2
Replies
37
Views
5K
  • · Replies 5 ·
Replies
5
Views
2K
  • · Replies 14 ·
Replies
14
Views
3K
  • · Replies 15 ·
Replies
15
Views
2K
  • · Replies 34 ·
2
Replies
34
Views
4K