Proper free-body diagram for a shaft experiencing multiple torques

Click For Summary

Homework Help Overview

The discussion revolves around drawing a proper free-body diagram (FBD) for a shaft subjected to multiple torques. Participants are examining the relationships between torque, shear stress, and the structural integrity of the shaft, particularly in sections CD and DE.

Discussion Character

  • Exploratory, Assumption checking, Mathematical reasoning

Approaches and Questions Raised

  • Participants discuss the correctness of their FBDs and calculations, questioning the values used for the polar moment of inertia (J) and the maximum allowable shear stress. There are attempts to derive relationships between the torques and shear stresses in different sections of the shaft.

Discussion Status

Some participants have reworked their calculations and drawn torque diagrams, leading to a better understanding of the internal shear stresses. There is ongoing exploration of the implications of varying the unknown torque (T1) and how it affects the overall system. Guidance has been offered regarding the application of the right-hand rule and the constraints on torque magnitudes.

Contextual Notes

Participants are working under the assumption that the maximum allowable shear stress is 60 MPa, and there is a discussion about the constraints on the torques based on equilibrium conditions. The exact constraints on the maximum torque (Tmax) are being clarified, with emphasis on the need to express these constraints algebraically.

Qube
Gold Member
Messages
461
Reaction score
1
Homework Statement
Draw a FBD, determine the largest torque, T1, and find shear stresses in CD and DE
Relevant Equations
Method of sections, static equilibrium
shear stress=Tc/J
1601854246923.png


I wish to draw a proper free-body diagram for this shaft. However, my FBD does not agree with the solutions manual. If someone could point out where I erred, that would be great.

This is what I drew:

1601854456033.png


From my FBD, it is clear that the maximum torque is present in section DE of the shaft.

We can use the equation shear stress=Tc/J in conjunction with the maximum allowed shear stress of 60 MPa as follows:

1601854644164.png


Then, to find the maximum shear stresses in sections CD and DE:

1601854894122.png
 

Attachments

  • 1601854234002.png
    1601854234002.png
    33.9 KB · Views: 427
  • 1601854416725.png
    1601854416725.png
    75.4 KB · Views: 244
  • 1601854526177.png
    1601854526177.png
    815 bytes · Views: 259
Last edited by a moderator:
Physics news on Phys.org
Are you sure about the ##\frac{\pi}4##s? I thought it was ##\frac{\pi}2##
 
  • Like
Likes   Reactions: Qube
Thanks! You are right, it is J=pi*c^4/2. I will rework this problem and see if I get the right answer this time...
 
Qube said:
Thanks! You are right, it is J=pi*c^4/2. I will rework this problem and see if I get the right answer this time...
Note that with your original calculation the 900Nm was already too much for AB.
 
  • Like
Likes   Reactions: Qube
Okay, I reworked the problem. I drew a torque diagram.

1601996009445.png


It seems that the maximum possible value of the unknown torque, T1, is 327 Nm.

From there, it seems that the internal shear stress in section CD is about 47 MPa, and the internal torque in DE causes the bar to hit its shear stress limit, 60 MPa.

1601996124154.png


This makes much more sense than my initial results.

Does it make sense that the section with the highest shear stress is the section of the bar closest to the wall, to which the bar is anchored?

Also, does my torque diagram make sense? Someone else argues that this is the correct diagram:

1601996400211.png
 
Qube said:
Okay, I reworked the problem. I drew a torque diagram.

View attachment 270516

It seems that the maximum possible value of the unknown torque, T1, is 327 Nm.

From there, it seems that the internal shear stress in section CD is about 47 MPa, and the internal torque in DE causes the bar to hit its shear stress limit, 60 MPa.

View attachment 270517

This makes much more sense than my initial results.

Does it make sense that the section with the highest shear stress is the section of the bar closest to the wall, to which the bar is anchored?

Also, does my torque diagram make sense? Someone else argues that this is the correct diagram:

View attachment 270518
What, exactly, is the inequality involving 1800 - T1 that you deduce from your diagram?
What will happen to your diagram if T1 is increased a little?
What would happen if T1 were zero?
 
Okay, scratch all that. I managed to figure it out by finding similar problems. Thank you for the guidance. I hope that this post of mine is error-free!

1602092840262.png

We need to start by applying the right-hand rule to the applied torques, with the sign convention that a torque directed away from point E is a positive torque. This means A, C, and D are positive, and the unknown torque at B (T1) is a negative torque.

With the above established, we can find the internal torque in segment AB, knowing that the segment is in equilibrium:

1602093041646.png


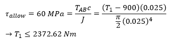
We also know that the maximum allowable shear stress in any segment is 60 MPa, which allows us to find the maximum value of T1:

1602093065620.png

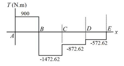
Using the above information, and the fact that every section of the bar is in equilibrium, we can find the internal torques of each section.

Knowing the internal torques of sections CD and DE allow us to find the maximum shear stresses within CD and DE.
 
That's unnecessarily rewriting what you did successfully in post #5 by other means.
You found that the torques are, taking some sign convention, 900, 900-T, 1500-T, 1800-T.
The constraint is some maximum magnitude torque, Tmax. What is the correct way to write that algebraically?
 
haruspex said:
You found that the torques are, taking some sign convention, 900, 900-T, 1500-T, 1800-T.
The constraint is some maximum magnitude torque, Tmax. What is the correct way to write that algebraically?

I don't understand, but I'll give it a try.

Are you saying to plug 900-T, 1500-T, and 1800-T into the equation, shear=Tc/J and try to maximize the value of T?
 
  • #10
Qube said:
I don't understand, but I'll give it a try.

Are you saying to plug 900-T, 1500-T, and 1800-T into the equation, shear=Tc/J and try to maximize the value of T?
No, I am asking how you express in algebra that, e.g., the torque 1500-T must not exceed the calculated limit (call it Tmax)? Be careful.
 
  • #11
1500-T<Tmax

1602167913052.png


I'm still unclear on what you mean, sorry.
 
Last edited:
  • #13
haruspex said:
It's magnitudes!

I don't see a direct constraint on Tmax in this problem that is given. I'm still unclear on what you mean by:

The constraint is some maximum magnitude torque, Tmax. What is the correct way to write that algebraically?

The only constraint I see is on torsional shear, which is a function of Tmax.
 
  • #14
Qube said:
I don't see a direct constraint on Tmax in this problem that is given. I'm still unclear on what you mean by:
The only constraint I see is on torsional shear, which is a function of Tmax.

I was using Tmax to mean the maximum torsional shear, not the max value of T1.
I'll stop trying to be subtle. You computed 900-T1, 1500-T1, and 1800-T1, and took the constraint to be that each < Tmax. In fact, the constraint is on the magnitudes of these: |900-T1|<Tmax, |1500-T1|<Tmax, and |1800-T1|<Tmax. That opens up more possibilities.
 

Similar threads

  • · Replies 2 ·
Replies
2
Views
5K
  • · Replies 25 ·
Replies
25
Views
2K
  • · Replies 7 ·
Replies
7
Views
2K
  • · Replies 3 ·
Replies
3
Views
4K
  • · Replies 5 ·
Replies
5
Views
6K
  • · Replies 4 ·
Replies
4
Views
2K
  • · Replies 12 ·
Replies
12
Views
4K
  • · Replies 6 ·
Replies
6
Views
36K
Replies
3
Views
6K
  • · Replies 1 ·
Replies
1
Views
2K