What is wrong with this flux integral?

  • Thread starter Thread starter james weaver
  • Start date Start date
  • Tags Tags
    Flux Integral
Click For Summary
SUMMARY

The discussion focuses on the parameterization of vector fields in the context of flux integrals, specifically referencing problem #27 from chapter 16.7 of the 8th edition of Stewart. The main issue identified is the incorrect inclusion of an additional ##r## in the surface element, which is unnecessary since the ##r## is already represented in the cross product ##\vec r_r \times \vec r_\theta##. The correct surface element is defined as $$d\vec S = \vec r_t \times \vec r_s \, dt\, ds$$, ensuring accurate calculations of flux through specified surfaces.

PREREQUISITES
  • Understanding of vector calculus, particularly flux integrals.
  • Familiarity with parameterization of vector fields.
  • Knowledge of polar coordinates and their application in surface integrals.
  • Proficiency in using cross products in vector analysis.
NEXT STEPS
  • Study the derivation and application of surface integrals in vector calculus.
  • Learn about the correct parameterization techniques for vector fields.
  • Explore the use of cross products in three-dimensional space.
  • Review problem-solving strategies for flux integrals in polar coordinates.
USEFUL FOR

Students of calculus, particularly those studying vector calculus, educators teaching advanced mathematics, and anyone involved in solving complex flux integral problems.

james weaver
Messages
28
Reaction score
4
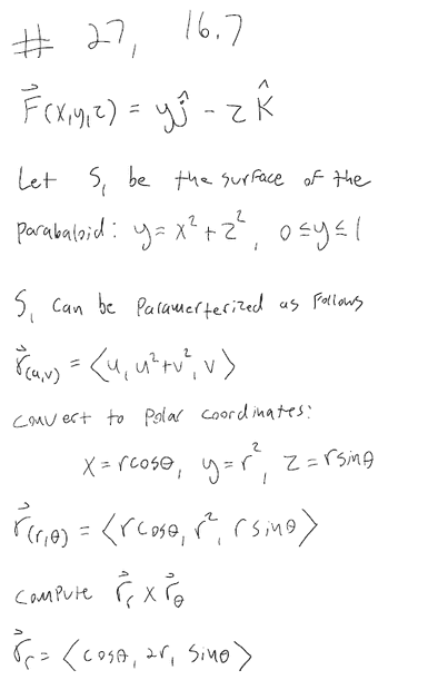
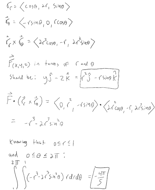
I think the issue is how I parameterize my vector field, but not quite sure. In case you were wondering, this is problem # 27, chapter 16.7 of the 8th edition of Stewart. Thanks for any help.

1651694133448.png

1651694182004.png

1651694211040.png
 

Attachments

Last edited by a moderator:
Physics news on Phys.org
Your problem is that you add an additional ##r## in your surface element. This is presumably because you think that in polar coordinates you need to use ##r\,dr\,d\theta## for the area element, but the ##r## is already accounted for in the cross product ##\vec r_r \times \vec r_\theta##. (Consider the flux of ##\hat j## through ##y=0## and ##x^2+z^2 \leq 1##, which should clearly be -up to a sign depending on normal direction- ##\int r \, dr\, d\theta## over the same ranges of ##r## and ##\theta## as you have.)

Generally, the surface element as parametrized by ##t## and ##s## is given by
$$
d\vec S = \vec r_t \times \vec r_s \, dt\, ds
$$
 
  • Informative
  • Like
Likes   Reactions: berkeman and james weaver

Similar threads

  • · Replies 1 ·
Replies
1
Views
2K
  • · Replies 5 ·
Replies
5
Views
2K
Replies
12
Views
2K
  • · Replies 4 ·
Replies
4
Views
4K
Replies
26
Views
2K
Replies
5
Views
1K
Replies
6
Views
5K
  • · Replies 5 ·
Replies
5
Views
2K
  • · Replies 5 ·
Replies
5
Views
1K
Replies
9
Views
3K