Deriving the Equation for Average Water Mass Flow Rate in Water Rocket Launches

Click For Summary

Homework Help Overview

The discussion revolves around deriving the equation for the average mass flow rate in water rocket launches, specifically focusing on the equation ṁ = A * Cd * √(2ρΔP). Participants are exploring the relationship between various physical parameters involved in the water rocket dynamics, including pressure, density, and nozzle characteristics.

Discussion Character

  • Exploratory, Conceptual clarification, Assumption checking

Approaches and Questions Raised

  • Participants discuss the derivation of the mass flow rate equation, referencing the Bernoulli equation and the role of the discharge coefficient (Cd). Questions arise regarding the interpretation of ΔP and how it relates to pressure changes in the context of the water rocket.

Discussion Status

The discussion is ongoing, with participants providing insights into the derivation process and questioning specific terms in the equation. Some participants express understanding while others seek clarification on the relationship between pressure, height, and velocity in the context of the water flow.

Contextual Notes

There are indications of uncertainty regarding the application of Bernoulli's equation and the interpretation of the discharge coefficient. Participants are also grappling with how to relate the terms in the equations to the physical setup of the water rocket.

PhysicsIBStudent
Messages
6
Reaction score
0
Hey, I'm a student who has to complete a written assignment for physics. I chose to launch water rockets and investigate the effect of volume on the range. I am trying to also come up with a mathematical model however I am struggling to understand an equation

I found the following equation to calculate the average mass flow rate:

ṁ = A * Cd * √(2ρΔP)
(https://www.palmbeachschools.org/sc/wpcontent/uploads/sites/85/2016/05/Bottle_Rocket_Calculations_Simplified.pdf)

Where:
ṁ is the mass flow rate
A is the area of the nozzle
Cd is the coefficient of drag
p is the density
and ΔP is the average Pressure acting on the water

Does anyone know where this equation is derived from cause I can't find it anywhere?

Thanks in advance for all replies.
 
Physics news on Phys.org
This equation starts out from ##\dot{m}=\rho v A##, where v is the exit velocity. Are you familiar with that equation, which is the same as the volumetric flow rate times the density? If the exit velocity were determined by the Bernoulli equation, then it would satisfy:
$$\frac{1}{2}\rho v^2=\Delta P$$##C_d## is a nozzle discharge factor to correct for nozzle shape and non-Bernoulli deviation. It is typically on the order of unity.
 
Chestermiller said:
This equation starts out from ##\dot{m}=\rho v A##, where v is the exit velocity. Are you familiar with that equation, which is the same as the volumetric flow rate times the density? If the exit velocity were determined by the Bernoulli equation, then it would satisfy:
$$\frac{1}{2}\rho v^2=\Delta P$$##C_d## is a nozzle discharge factor to correct for nozzle shape and non-Bernoulli deviation. It is typically on the order of unity.

Thanks so much, I now understand. I watched some videos and found this helpful diagram:
bernoul.gif

But I don't see how to get the average pressure(ΔP) from Bernoulli's?
 

Attachments

  • bernoul.gif
    bernoul.gif
    17.7 KB · Views: 1,544
PhysicsIBStudent said:
Thanks so much, I now understand. I watched some videos and found this helpful diagram:
View attachment 229734
But I don't see how to get the average pressure(ΔP) from Bernoulli's?
I don’t understand your question.
 
Chestermiller said:
I don’t understand your question.
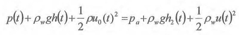
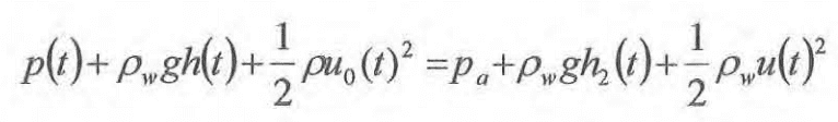
How do I get from this:

upload_2018-8-24_1-57-25.png


to this

upload_2018-8-24_1-57-9.png
 

Attachments

  • upload_2018-8-24_1-56-26.png
    upload_2018-8-24_1-56-26.png
    11.6 KB · Views: 556
  • upload_2018-8-24_1-57-9.png
    upload_2018-8-24_1-57-9.png
    1.5 KB · Views: 1,281
  • upload_2018-8-24_1-57-25.png
    upload_2018-8-24_1-57-25.png
    16.6 KB · Views: 1,191
PhysicsIBStudent said:
ṁ = A * Cd * √(2ρΔP)
The equation makes sense except for the Cd term. In many rocketry equations there is a drag term for the air drag on the rocket, but that would not be relevant here since we are concerned only with the speed of the exhaust, not the acceleration of the rocket. So presumably it represents the nozzle drag on the water flow. But in that case the greater the drag the lower the flow rate, which is not what the equation says.
I would have expected ṁ = A * √(2ρΔP/Cd) (though not necessarily the factor 2).
 
haruspex said:
The equation makes sense except for the Cd term. In many rocketry equations there is a drag term for the air drag on the rocket, but that would not be relevant here since we are concerned only with the speed of the exhaust, not the acceleration of the rocket. So presumably it represents the nozzle drag on the water flow. But in that case the greater the drag the lower the flow rate, which is not what the equation says.
I would have expected ṁ = A * √(2ρΔP/Cd) (though not necessarily the factor 2).
Cd is the discharge coefficient, related to the nozzle shape (Google discharge coefficient). Typically, Cd is < 1, so it does result in reduced discharge mass flow rate.
 
Chestermiller said:
Cd is the discharge coefficient, related to the nozzle shape (Google discharge coefficient). Typically, Cd is < 1, so it does result in reduced discharge mass flow rate.
Ok, thanks.
 
  • #10
Hi guys, pleas can someone run me through exactly how the equation is derived? Up until you end up at
ṁ = A * Cd * √(2ρΔP)
 
  • #11
kelv_01 said:
Hi guys, pleas can someone run me through exactly how the equation is derived? Up until you end up at
ṁ = A * Cd * √(2ρΔP)
Can you answer any of my questions in post #6?
 
  • #12
haruspex said:
Can you answer any of my questions in post #6?
No, unfortunately I cannot. Can you answer mine?
 
  • #13
kelv_01 said:
No, unfortunately I cannot.
Then I'll give you some hints.
We are applying Bernoulli’s equation to the water stream as it goes from a point just inside the rocket to a point just outside.
The first term on each side of the first equation refers to the pressure at a point in the stream flow. What does ##\Delta P## mean in the other equation?
The middle term on each side of the first equation refers to a height at a point in the stream flow. In the actual question, what is the change in height?
The last term each side refers to a velocity. What do we know about the velocities of the water flow at the two points (relative to the rocket)?
 

Similar threads

  • · Replies 16 ·
Replies
16
Views
3K
  • · Replies 4 ·
Replies
4
Views
4K
  • · Replies 18 ·
Replies
18
Views
3K
  • · Replies 1 ·
Replies
1
Views
2K
  • · Replies 17 ·
Replies
17
Views
3K
  • · Replies 11 ·
Replies
11
Views
4K
  • · Replies 10 ·
Replies
10
Views
3K
  • · Replies 1 ·
Replies
1
Views
2K
Replies
2
Views
2K
Replies
2
Views
3K