(Fluid mechanics) How to find the flow rate of a gas from a vessel

Click For Summary

Discussion Overview

The discussion revolves around calculating the flow rate of gas from a vessel, specifically in the context of a water bottle rocket. Participants explore the dynamics of pressure changes and water ejection, considering various assumptions and models related to fluid mechanics.

Discussion Character

  • Exploratory
  • Technical explanation
  • Mathematical reasoning
  • Experimental/applied

Main Points Raised

  • One participant describes a project involving a water bottle rocket and seeks to determine the thrust period based on pressure dynamics.
  • Another participant notes that the volume of air in the bottle and the pressure are not constant, as the pressure will decrease from 7 bar to atmospheric pressure as water is expelled.
  • A suggestion is made to use numerical simulation to calculate the time for pressure equilibrium, outlining a step-by-step approach involving Bernoulli's Equation and iterative calculations.
  • A later reply discusses the potential for using calculus to express the iterative process as a differential equation for more precise results.
  • Participants emphasize the importance of verifying simulation results through practical experiments, including measuring discharge times and considering various factors that could affect accuracy, such as entrance loss and friction.
  • Links to external resources are provided for additional equations and practical tips related to fluid flow in pressurized containers.

Areas of Agreement / Disagreement

Participants express differing views on the assumptions regarding the constancy of pressure and volume in the bottle. While some acknowledge the changing dynamics, others propose simplifications for the sake of calculations. The discussion remains unresolved regarding the best approach to model the system accurately.

Contextual Notes

Participants highlight limitations in their assumptions, such as the neglect of water presence and the nature of air expansion (isothermal vs. adiabatic). The accuracy of simulations is also contingent on the assumptions made about fluid dynamics.

Who May Find This Useful

This discussion may be useful for individuals interested in fluid mechanics, particularly in experimental applications involving pressurized systems and simulations in engineering contexts.

Geith
Messages
3
Reaction score
1
TL;DR
How can I find out how long the air in a pressurised container (known pressure, volume, temperature and size of hole) will take to leave, assuming it is opened under atmospheric pressure?
I am working on a project where I have to calculate various results relating to the motion of a water bottle rocket being launched. I am currently stuck on trying to find how long the thrust period of the rocket is. The model for the rocket is as follows: It is a 2L (0.002m3 bottle filled with air at a pressure of 7 Bar, one third of the bottle is to be filled with water, however for simplicity's sake I am willing to assume that the volume of the air in the bottle is a constant 2L, and that the temperature remains constant (room temp. 293K). I also know that the area of the hole in the bottle is about 3×10-4 m2.

Using this information, is it possible to determine the time that it will take for the pressure in the bottle to reach equilibrium? I am assuming it will follow a somewhat inverse exponential model, where the pressure will never truly reach equilibrium, but will get exceptionally close at a certain time (similar to time constants in a capacitor).

Feel free to ask for additional information.

Thanks.
 
Engineering news on Phys.org
Fun problem. I moved it to Mechanical Engineering because it might get more useful answers here.

The volume of air in the bottle and the pressure aren't close to constant. As all the water is ejected, the volume will expand to be 100% of the bottle, and the pressure will decrease to atmospheric.

I am not a M.E., but I wager that some of our M.E. can help you.
 
  • Like
Likes   Reactions: Geith
anorlunda said:
Fun problem. I moved it to Mechanical Engineering because it might get more useful answers here.

The volume of air in the bottle and the pressure aren't close to constant. As all the water is ejected, the volume will expand to be 100% of the bottle, and the pressure will decrease to atmospheric.

I am not a M.E., but I wager that some of our M.E. can help you.
I understand that the volume is not constant, but I am willing to ignore the presence of the water, and assume that the entire volume of the bottle is occupied by the air, as an approximation. The pressure however will not be constant, it will start at 7 bar and decrease to 1 bar (Atmospheric).
 
Geith said:
Using this information, is it possible to determine the time that it will take for the pressure in the bottle to reach equilibrium?

Yes. This is easiest to solve using numerical simulation, which can be done in a spreadsheet. The steps are as follows:

1) Choose a time step.
2) Calculate the water exhaust velocity from Bernoulli's Equation.
3) Calculate the water flow rate from the velocity and hole area.
4) Calculate the amount of water that flows out for one time step.
5) Calculate the amount of water remaining (and the new air volume) after one time step.
6) Calculate the air pressure.
7) Loop back to Step 2 until the water is empty.
After the water is empty, decide if you want to calculate the time for the air to exhaust. If so, study up on choked flow because the calculations get more complex.

You find the optimal time step by iteration. Too long causes inaccurate results, too short takes longer. To do it in a spreadsheet, put the equations for Steps 2 thru 6 in Columns A thru E, then just copy down until the simulation finishes.
 
  • Like
Likes   Reactions: Spinnor, Lnewqban and Geith
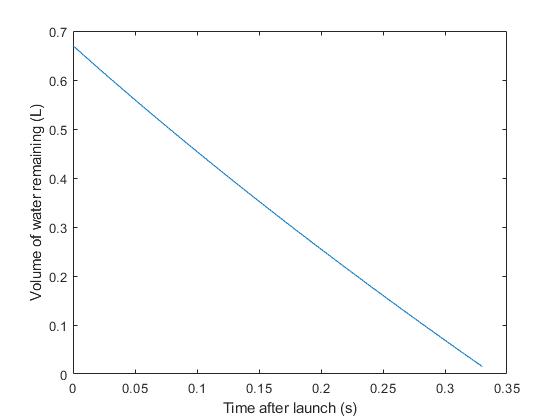
Thanks, that was very helpful. I was able to put the info into Matlab and get some promising data. I was able to use 0.01 second iterations since I am using Matlab. I have posted my code, as well as the data. The almost linear relationship of the volume of water surprised me.

I am also wondering if it is possible to write out this iteration as a differential equation? I assume using calculus would give more exact results.
 

Attachments

  • code.png
    code.png
    9.7 KB · Views: 285
  • rocket.jpg
    rocket.jpg
    12 KB · Views: 293
Last edited:
  • Like
Likes   Reactions: jrmichler
The next step is to verify your simulation. Anchor your water bottle rocket, video it in action, then measure the time of discharge by counting frames in the video. If you used the correct numbers, and your code is correct, then the simulated discharge time should match the measured time within 5% or so.

If the difference is larger than 5 to 10%, then recognize that your simulation is only as accurate as your assumptions. Did you include entrance loss in the nozzle? Are you assuming that air expansion as the pressure drops is isothermal, adiabatic, or in between? Friction loss in the nozzle? Does the water make a vortex as it discharges? In this type of simulation, errors due to faulty assumptions and simplifications are normally much larger than numerical errors.

I suggest adding code to calculate the acceleration, velocity, and position of the rocket. And verify that code. The last part, of course, is to use your simulation to find the optimal amount of water to get the greatest height. Then, knowing exactly how to get the maximum height, challenge your friends to a water rocket height contest. :smile:
 
  • Like
Likes   Reactions: Lnewqban
Geith said:
Summary:: How can I find out how long the air in a pressurised container (known pressure, volume, temperature and size of hole) will take to leave, assuming it is opened under atmospheric pressure?
In this link, look for "Excess pressure in container":
https://www.engineeringtoolbox.com/flow-liquid-water-tank-d_1753.html

That equation includes height of water column and a velocity coefficient of 0.97 for water.

You can also find some practical tips and comparisons here:
http://www.aircommandrockets.com/water.htm

:cool:
 
Last edited:

Similar threads

  • · Replies 9 ·
Replies
9
Views
3K
Replies
0
Views
3K
Replies
13
Views
3K
  • · Replies 21 ·
Replies
21
Views
3K
  • · Replies 6 ·
Replies
6
Views
4K
  • · Replies 10 ·
Replies
10
Views
2K
Replies
5
Views
4K
Replies
8
Views
2K
  • · Replies 14 ·
Replies
14
Views
2K
  • · Replies 11 ·
Replies
11
Views
5K