Having a problem in steps while solving integrals

  • Thread starter Thread starter prakhargupta3301
  • Start date Start date
  • Tags Tags
    Integrals
Click For Summary

Homework Help Overview

The discussion revolves around a calculus problem involving integrals, specifically in the context of kinematic equations. The original poster expresses uncertainty about their solution and whether their interpretation aligns with the provided options.

Discussion Character

  • Exploratory, Assumption checking, Problem interpretation

Approaches and Questions Raised

  • Participants explore the integral ∫v.dv and its implications in kinematics. There are attempts to clarify the role of constants in the equations and whether the original poster's formulation is correct. Questions arise about the correctness of assumptions regarding constants and variables in the context of the problem.

Discussion Status

Participants are actively engaging with the original poster's attempts and providing feedback on their reasoning. Some guidance has been offered regarding the formulation of the integral, and there is an ongoing exploration of the implications of variable versus constant terms. Multiple interpretations of the problem are being discussed without a clear consensus.

Contextual Notes

The original poster is new to calculus and is grappling with the concepts involved in solving integrals related to kinematic equations. There is a mention of ambiguity in responses received, indicating a need for clearer guidance on specific mistakes.

prakhargupta3301
Messages
58
Reaction score
1

Homework Statement


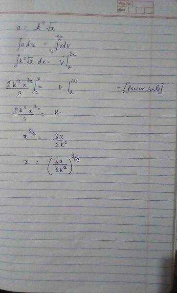
The problem is attached. I'm new to these problems (calculus).
I'm not getting my answer as any of the options. I need your help to know whether me or the slide is wrong.
?temp_hash=12720349bd7b2b5fb6e9c4da92df3e15.png

Homework Equations


x_x[/B]

The Attempt at a Solution


IMG_20180619_034801.jpg

Thank you for reading.
 

Attachments

  • cloc.PNG
    cloc.PNG
    51.8 KB · Views: 481
  • IMG_20180619_034801.jpg
    IMG_20180619_034801.jpg
    23.7 KB · Views: 363
  • ?temp_hash=12720349bd7b2b5fb6e9c4da92df3e15.png
    ?temp_hash=12720349bd7b2b5fb6e9c4da92df3e15.png
    51.8 KB · Views: 680
Physics news on Phys.org
What is ∫v.dv?
 
  • Like
Likes   Reactions: prakhargupta3301
The slide is wrong in that x is not constant, k is constant. Your formulation is correct up to ∫ v dv as pointed out by haruspex.
 
  • Like
Likes   Reactions: prakhargupta3301
haruspex said:
What is ∫v.dv?
It is an equation to solve kinematic equations.
a=dv/dt 1
v=dx/dt 2
Divide 1 by 2
a/v= dv/dt⋅dt/dx
a/v=dv/dx
a⋅dx=v⋅dv
Integrate LHS and RHS and you get 3rd equation of motion:
0x∫a⋅dx=uv∫v⋅dv
a⋅x0x=v2|uv
ax-0=v2/2-u2/2
2ax=v2-u2
 
Dr Dr news said:
The slide is wrong in that x is not constant, k is constant. Your formulation is correct up to ∫ v dv as pointed out by haruspex.
So, am I correct or not ? This was quite an ambiguous reply..
If not, can you point out the mistake clearly and correction. Please?
 
Your LHS (2/3) k^2 x^(3/2) is OK the RHS as you have corrected is v^2 / 2 with an upper limit of 2u and a lower limit of u.
 
  • Like
Likes   Reactions: prakhargupta3301
prakhargupta3301 said:
=uv∫v⋅dv...=v2|uv
Quite so, but that does not seem to be what you wrote in your attachment in post #1. I do not see a 2 there.
 
  • Like
Likes   Reactions: prakhargupta3301
Dr Dr news said:
Your LHS (2/3) k^2 x^(3/2) is OK the RHS as you have corrected is v^2 / 2 with an upper limit of 2u and a lower limit of u.
haruspex said:
Quite so, but that does not seem to be what you wrote in your attachment in post #1. I do not see a 2 there.
So, I was incorrect in believing v to be a constant! Silly me. (I pondered over this single question for an hour and didn't get any sleep last night xD)
Thank you both for helping me. Have a great day/night.
 

Similar threads

  • · Replies 6 ·
Replies
6
Views
2K
  • · Replies 5 ·
Replies
5
Views
2K
  • · Replies 5 ·
Replies
5
Views
2K
  • · Replies 5 ·
Replies
5
Views
2K
  • · Replies 7 ·
Replies
7
Views
2K
  • · Replies 5 ·
Replies
5
Views
1K
  • · Replies 26 ·
Replies
26
Views
2K
  • · Replies 8 ·
Replies
8
Views
1K
  • · Replies 7 ·
Replies
7
Views
1K
Replies
12
Views
3K