Heat capacity for a real gas using the ideal gas (zero pressure) equation

Click For Summary

Discussion Overview

The discussion revolves around the calculation of heat capacity for a real gas using the ideal gas equation at zero pressure. Participants explore the relationship between heat capacities, the compressibility factor, and the application of generalized charts for real gases.

Discussion Character

  • Technical explanation
  • Debate/contested
  • Mathematical reasoning

Main Points Raised

  • One participant expresses confusion about the transition from reduced properties to the equation \(Cp - Cp° = 1.70 \, \text{cal/molK}\).
  • Another participant discusses the effect of pressure on molar enthalpy and provides a mathematical expression involving the compressibility factor \(z\) and enthalpy.
  • Some participants question the derivation of the heat capacity equations and the assumptions made regarding the independence of the partial derivative of \(z\) with respect to temperature.
  • There is mention of a previous example that used similar equations, indicating a lack of clarity on how to apply them in the current problem.
  • One participant suggests that a chart from a reference book may be necessary to solve the problem, while another notes the absence of such a chart in the provided materials.
  • Discussions include the need to numerically differentiate the enthalpy departure function and the challenges faced in interpreting charts for reduced temperature and pressure.

Areas of Agreement / Disagreement

Participants do not reach a consensus on the derivation of the equations or the correct approach to solving the problem. Multiple competing views and uncertainties remain regarding the application of the equations and the necessary charts.

Contextual Notes

Some participants note that the assumptions made in the equations may not hold true under certain conditions, particularly regarding the dependence of the compressibility factor on pressure. There is also mention of potential errors in mathematical calculations and the need for specific charts that are not provided in the reference material.

gmaverick2k
Messages
42
Reaction score
3
Summary:: Heat capacity for real gas with ideal gas (zero pressure) equation

I'm looking at this problem and I'm stuck.
I usually question everything but this problem is confusing me.
I don't know how they've made the jump from reduced properties (from generalized Cp charts(?)) to Cp-Cp°=1.70 cal/molK

Usually Cp-Cv=R
I've searched online and it seems Cp-Cv=ZR
This is not the same as Cp-Cp°=ZR, which would mean they've made Cp°=Cv (zero pressure so this is true?)
Has the author got the compressibility factor from the generalised compressibility chart for the Pr and Tr (Z=0.92)
I'm confused how they've made something straight forward

Below is the problem plus the authors solution:
solution.jpg
 
Science news on Phys.org
At constant temperature, the effect of pressure on molar enthalpy is $$\frac{\partial H}{\partial P}=V-T\frac{\partial V}{\partial T}$$This is used in conjunction with $$PV=zRT$$This leads to $$H(T,P)=H(T,0)-RT^2\int_0^P{\frac{1}{P}\frac{\partial z}{\partial T}dP}$$The heat capacity can be determined by taking the partial derivative of the enthalpy with respect to temperature at constant pressure. The resulting integrals are evaluated using the principle of corresponding states.
 
Chestermiller said:
At constant temperature, the effect of pressure on molar enthalpy is $$\frac{\partial H}{\partial P}=V-T\frac{\partial V}{\partial T}$$This is used in conjunction with $$PV=zRT$$This leads to $$H(T,P)=H(T,0)-RT^2\int_0^P{\frac{1}{P}\frac{\partial z}{\partial T}dP}$$The heat capacity can be determined by taking the partial derivative of the enthalpy with respect to temperature at constant pressure. The resulting integrals are evaluated using the principle of corresponding states.
that's for calculating the departure enthalpy from ideal, i.e. enthalpy difference for real gas. the question is asking for heat capacity only
 
gmaverick2k said:
that's for calculating the departure enthalpy from ideal, i.e. enthalpy difference for real gas. the question is asking for heat capacity only
What did I say in my last sentence? Do you not know how to take the partial derivative of my enthalpy equation with respect to temperature?
 
1626036443323.png

1626036467347.png


1626036480572.png

1626036375443.png

1626036426086.png

I've used these in a previous example from the same book about real gas departure function. This problem in the OP stumped me.
 
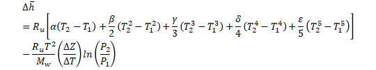
$$C_p=C_p^0-2RT\int_0^P{\frac{1}{P}\frac{\partial z}{\partial T}dP}-RT^2\int_0^P{\frac{1}{P}\frac{\partial^2 z}{\partial T^2}dP}$$
 
Chestermiller said:
$$C_p=C_p^0-2RT\int_0^P{\frac{1}{P}\frac{\partial z}{\partial T}dP}-RT^2\int_0^P{\frac{1}{P}\frac{\partial^2 z}{\partial T^2}dP}$$
1626037107381.png

how was this derived? Cp° introduced above?
 
gmaverick2k said:
View attachment 285805
how was this derived? Cp° introduced above?
Are you saying that you agree with the equation I wrote in post #2, but you don't know how I arrived at the equation in post #6?
 
Starting with the equation in post #2, $$C_p(T,P)=\frac{\partial H(T,P)}{\partial T}$$ and $$C_p^0(T)=\frac{\partial H(T,0)}{\partial T}$$
 
  • #10
  • #11
Chestermiller said:
Starting with the equation in post #2, $$C_p(T,P)=\frac{\partial H(T,P)}{\partial T}$$ and $$C_p^0(T)=\frac{\partial H(T,0)}{\partial T}$$
i figured that out as the functions are H(T,0) for Cp°. how did you get the last term in post#6?
 
  • #12
Chestermiller said:
This equation assumes that the partial derivative of z with respect to T at constant P is independent of P (which is incorrect).
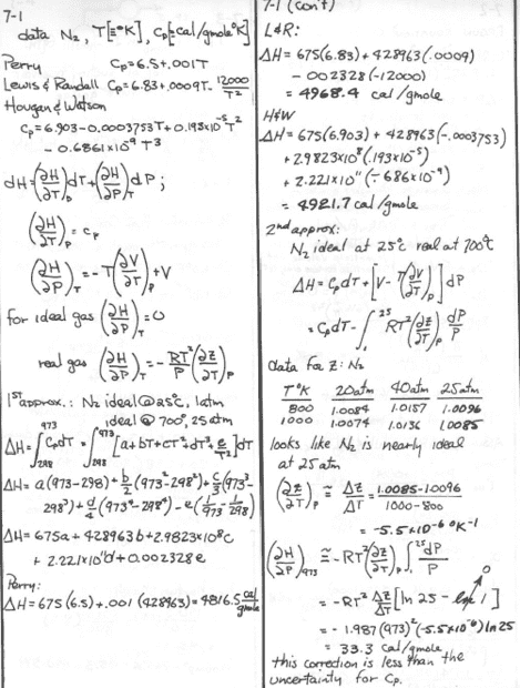
i think for that example the pressure remained the same at 25atm and Z was interpolated. the gas (nitrogen) changed from 1atm and 298K to 25atm and 973K, i.e. simultaneous change in T & P. looking to see if departure from ideal was significant at end conditions, not so in this case.
1626038279600.png
 
  • #13
gmaverick2k said:
i figured that out as the functions are H(T,0) for Cp°. how did you get the last term in post#6?
It's just math. Taking the partial derivative of the overall term with respect to temperature.
 
  • #14
Chestermiller said:
It's just math. Taking the partial derivative of the overall term with respect to temperature.
thanks my calculus is very rusty, hence brushing up on my thermo. i think its the chain rule for partial derivatives. as long as I'm satisifed and made everything water tight, I'm happy. thanks again
 
  • #15
Chestermiller said:
It's just math. Taking the partial derivative of the overall term with respect to temperature.
i'm stuck on finalising the equation
1626078909243.png

how the author arrived at 1.7cal/molK is tricky. do i have to integrate out the partial derivatives? I'm confused, the ln0 term is also spitting out errors
 
Last edited:
  • #17
gmaverick2k said:
i'm stuck on finalising the equation
View attachment 285834
how the author arrived at 1.7cal/molK is tricky. do i have to integrate out the partial derivatives? I'm confused, the ln0 term is also spitting out errors
Your math is incorrect in several respects. What is the exact word-for-word statement of the problem you are trying to solve?
 
  • #18
Chestermiller said:
Your math is incorrect in several respects. What is the exact word-for-word statement of the problem you are trying to solve?
1626094233674.png

hi the top part which isn't hand written
 
  • #19
gmaverick2k said:
View attachment 285844
hi the top part which isn't hand written
OK. There must be a chart in the book of ##\frac{C_p-C_p^0}{R}## as a function of reduced temperature and reduced pressure. This is what they must have used.
 
  • #20
Chestermiller said:
OK. There must be a chart in the book of ##\frac{C_p-C_p^0}{R}## as a function of reduced temperature and reduced pressure. This is what they must have used.
its from the american professional engineers exam set by Randall robinson. the accompanying reference manual doesn't include this chart. the only chart included in the thermo section is the nelson-obert generalized compressibility chart
 
  • #21
gmaverick2k said:
its from the american professional engineers exam set by Randall robinson. the accompanying reference manual doesn't include this chart. the only chart included in the thermo section is the nelson-obert generalized compressibility chart
Well, you are going to need that chart I mentioned to solve it, or you are going to have to numerically (manually) differentiate the enthalpy departure function at the desired reduced pressure with respect to reduced temperature.
 
  • #22
Chestermiller said:
Well, you are going to need that chart I mentioned to solve it, or you are going to have to numerically (manually) differentiate the enthalpy departure function at the desired reduced pressure with respect to reduced temperature.
is there a way to translate this from the chart in post #16?
 
  • #23
gmaverick2k said:
is there a way to translate this from the chart in post #16?
Something like that, but your charts don't have enough resolution to get what you want. See Fig. 6.6 of Introduction to Chemical Engineering Thermodynamics by Smith and Van Ness.
 
  • #24
Chestermiller said:
Something like that, but your charts don't have enough resolution to get what you want. See Fig. 6.6 of Introduction to Chemical Engineering Thermodynamics by Smith and Van Ness.
1626098203221.png

i assume its this from the 8th ed. So Tr = 0.8 and Pr = 0.1.. more confused the deeper i go

actually from older 4th ed.
1626098454676.png


1626099699372.png

say the left hand term is -0.18?
 
Last edited:
  • #25
gmaverick2k said:
View attachment 285849
i assume its this from the 8th ed. So Tr = 0.8 and Pr = 0.1.. more confused the deeper i go

actually from older 4th ed.
View attachment 285850

View attachment 285851
say the left hand term is -0.18?
The partial derivative of the ordinate with respect to the reduced temperature (evaluated at reduced temperature of 0.8) at constant reduced pressure (abscissa = 0.1) is the residual heat capacity divided by R at the desired conditions. The partial derivative evaluated this way should come out to about +0.85 (dimensionless) if their answer is correct.
 
Last edited:
  • #26
Chestermiller said:
The partial derivative of the ordinate with respect to the reduced temperature (evaluated at reduced temperature of 0.8) at constant reduced pressure (abscissa = 0.1) is the residual heat capacity divided by R at the desired conditions. The partial derivative evaluated this way should come out to about +0.85 (dimensionless) if their answer is correct.
so,
1626105647559.png

1626105653790.png

1626105660708.png

Ru = 1.987 cal/molK

1626105757110.png
=> agrees with solution
ok fine, still need to clarify the jump between the generalized correlation chart to how +0.85 was obtained
 
  • #27
If ##y(p_r,T_r)## is the ordinate on the plot, then a 2nd order accurate numerical approximation to the residual heat capacity is $$\frac{C_p^R}{R}=\frac{y(0.1,0.9)-y(0.1,0.7)}{0.9-0.7}$$
 
  • #28
From the graph, it looks like the authors overestimated the heat capacity departure (aka residual heat capacity) by a factor of about 2.
 
  • #29
Chestermiller said:
From the graph, it looks like the authors overestimated the heat capacity departure (aka residual heat capacity) by a factor of about 2.
it looks like there's another graph with the superscript 1 for the ordinate. i think this takes the acentric factor into account. for chlorine ω=0.073
1626156478164.png

1626156493810.png
 
Last edited:
  • Like
Likes   Reactions: Chestermiller
  • #30
gmaverick2k said:
it looks like there's another graph with the superscript 1 for the ordinate. i think this takes the acentric factor into account. for chlorine ω=0.073
View attachment 285874
View attachment 285875
You're right. It looks like that would substantially reduce the disagreement.
 

Similar threads

  • · Replies 22 ·
Replies
22
Views
4K
  • · Replies 20 ·
Replies
20
Views
3K
  • · Replies 3 ·
Replies
3
Views
2K
  • · Replies 22 ·
Replies
22
Views
6K
  • · Replies 1 ·
Replies
1
Views
2K
Replies
5
Views
3K
  • · Replies 2 ·
Replies
2
Views
2K
Replies
1
Views
3K
  • · Replies 1 ·
Replies
1
Views
18K
  • · Replies 2 ·
Replies
2
Views
9K