Ideal Gas Law - Differential Approximation due to variable increase in %.

Click For Summary
SUMMARY

The discussion centers on the application of the Ideal Gas Law, represented by the formula P = kT/V, to approximate percentage changes in pressure due to variations in temperature and volume. The user initially calculated a 2% change in pressure with a 3% increase in temperature and a 5% increase in volume, while an online solution indicated a 4% change. The discrepancy arises from the correct application of differentials in the context of the Ideal Gas Law, specifically in how the changes in variables are factored into the approximation.

PREREQUISITES
  • Understanding of the Ideal Gas Law and its components (pressure, temperature, volume)
  • Basic calculus concepts, particularly differentials and their applications
  • Familiarity with percentage change calculations
  • Knowledge of mathematical reasoning for approximations in physics
NEXT STEPS
  • Study the application of differentials in physics problems
  • Review the Ideal Gas Law and its derivations in thermodynamics
  • Learn how to calculate percentage changes using calculus techniques
  • Explore common mistakes in applying calculus to physical laws
USEFUL FOR

Students studying physics or chemistry, particularly those tackling thermodynamics and calculus applications, as well as educators looking for clarification on teaching the Ideal Gas Law and its implications.

Beamsbox
Messages
61
Reaction score
0

Homework Statement


This is a problem form my calculus book, which states:

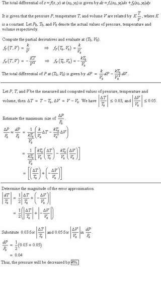
According to the ideal gas law, the pressure, temperature, and volume of a confined gas are related by P=kT/V, where K is a constant. Use differentials to approximate the percentage change in pressure if the temperature of a gas is increased 3% and the volume is increased 5%.

The Attempt at a Solution



Here, I include my original attempt at the solution and a solution that I found online. In my original solution, I found the answer to be 2%, but the solution says 4%. I'm not sure why... but I think it's related to something I don't understand in the actual solution, where it seems to me, they divide by 1/2 for no apparent logical reason.

Could someone please explain to me where my logic is flawed?
attachment.php?attachmentid=40470&d=1319929174.jpg


Here is a solution I found online to the same problem, perhaps it's more clear.
attachment.php?attachmentid=40468&d=1319927946.jpg
 

Attachments

  • calc_diff.jpg
    calc_diff.jpg
    19.5 KB · Views: 2,504
  • Calc_Diff_hand.jpg
    Calc_Diff_hand.jpg
    52.2 KB · Views: 1,261
Last edited:
Physics news on Phys.org
Edited to make images easier to see. (Sorry.)
 

Similar threads

  • · Replies 2 ·
Replies
2
Views
2K
  • · Replies 10 ·
Replies
10
Views
3K
  • · Replies 3 ·
Replies
3
Views
2K
  • · Replies 13 ·
Replies
13
Views
3K
  • · Replies 5 ·
Replies
5
Views
4K
  • · Replies 14 ·
Replies
14
Views
2K
  • · Replies 60 ·
3
Replies
60
Views
11K
Replies
1
Views
3K
  • · Replies 2 ·
Replies
2
Views
2K
  • · Replies 3 ·
Replies
3
Views
3K