Partial Fractoin Integration Check

  • Thread starter Thread starter Procrastinate
  • Start date Start date
  • Tags Tags
    Integration Partial
Click For Summary

Homework Help Overview

The discussion revolves around a partial fraction integration problem, where the original poster seeks validation of their solution and working steps. Participants are reviewing the integration process and the correctness of the final answer.

Discussion Character

  • Exploratory, Mathematical reasoning, Assumption checking

Approaches and Questions Raised

  • Participants are examining the arithmetic involved in the integration and substitution steps. There are specific mentions of errors in integration and substitution, particularly concerning the handling of the squared denominator and the constant multipliers in the logarithmic terms.

Discussion Status

Several participants have pointed out mistakes in the original poster's calculations, particularly in the integration and substitution processes. There is an ongoing effort to clarify and correct these errors, with some guidance provided on specific terms that need adjustment. The discussion is active, with participants collaboratively identifying issues without reaching a final consensus.

Contextual Notes

The original poster has provided their working steps, but there are indications of mistakes that need addressing. The discussion includes corrections to specific terms and constants, highlighting the importance of accuracy in integration processes.

Procrastinate
Messages
155
Reaction score
0
Partial Fraction Integration Check

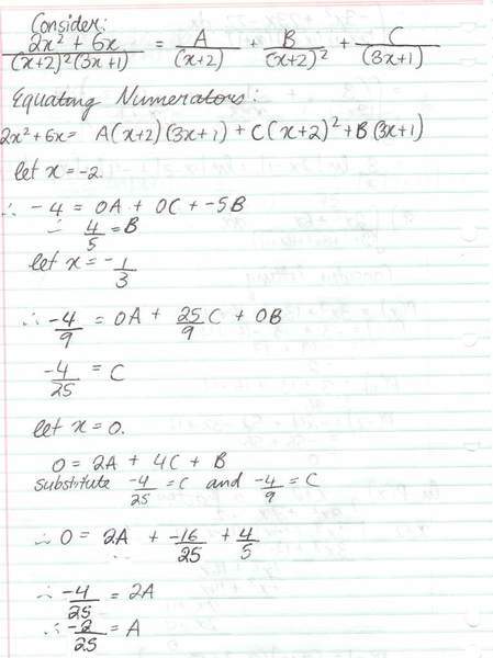
Hello, I was just wondering whether my answer for my partial fraction integration question was right. Attached are three pages of my working but the answer is at the bottom of the third page (027) and the question is at the top of the first page (025).

Thanks.
 

Attachments

  • scan0025.jpg
    scan0025.jpg
    27.3 KB · Views: 374
  • scan0026.jpg
    scan0026.jpg
    27 KB · Views: 395
  • scan0027.jpg
    scan0027.jpg
    17.1 KB · Views: 391
Last edited:
Physics news on Phys.org
You have a mistake, give me a second to pinpoint where it is.
Oh and by the way, you integrated the fraction at the end with the squared denominator wrong.

[tex]\int \frac{1}{x^2}dx=\frac{-1}{x}[/tex]
 
Ok your arithmetic was wrong when you substituted x=-1/3.
 
Mentallic said:
Ok your arithmetic was wrong when you substituted x=-1/3.

Ok. I fixed that up (as well as my other small integration error.)

My final answer is now:

[tex]\frac{22}{25}\ln|x+2|+-\frac{4}{5(x+2)}+-\frac{2}{75}\ln|3x+1| + C[/tex].

Is this correct?
 
The ln(3x+1) term is incorrect. I get -16/75 as the constant multiplier.
 
Oh yes, that is right. I just accidentally copied it down wrong. Thanks for your help.
 
Mentallic said:
The ln(3x+1) term is incorrect. I get -16/75 as the constant multiplier.

[tex]\frac{22}{25}\ln|x+2|+-\frac{4}{5(x+2)}+-\frac{16}{75}\ln|3x+1| + C[/tex]
 
No problem :smile:
 

Similar threads

  • · Replies 6 ·
Replies
6
Views
2K
  • · Replies 6 ·
Replies
6
Views
1K
Replies
3
Views
2K
  • · Replies 7 ·
Replies
7
Views
3K
  • · Replies 16 ·
Replies
16
Views
2K
  • · Replies 8 ·
Replies
8
Views
2K
Replies
9
Views
3K
  • · Replies 3 ·
Replies
3
Views
3K
  • · Replies 15 ·
Replies
15
Views
2K
  • · Replies 9 ·
Replies
9
Views
2K