Question about Biot-Savart Law (B-field)

Click For Summary

Homework Help Overview

The discussion revolves around the application of the Biot-Savart Law to determine the magnetic field generated by a current-carrying conductor. The original poster presents specific parameters related to the current and geometry of the setup, while seeking clarification on integration limits and the relationship between variables involved in the calculations.

Discussion Character

  • Exploratory, Conceptual clarification, Mathematical reasoning, Assumption checking

Approaches and Questions Raised

  • Participants discuss the integration limits for the Biot-Savart Law and question the definitions of variables such as θ and r. There are attempts to derive expressions for the magnetic field and clarify the relationship between different parameters in the context of the problem.

Discussion Status

The discussion is ongoing, with participants providing insights and questioning the assumptions made by the original poster. Some guidance has been offered regarding the integration limits and the application of Ampere's Law as an alternative approach. Multiple interpretations of the problem are being explored.

Contextual Notes

There are indications of confusion regarding the definitions of variables and the setup of the problem, particularly concerning the integration process and the physical meaning of certain parameters. Participants are also addressing the constraints imposed by the problem statement and the implications of using different laws in the analysis.

kenok1216
Messages
58
Reaction score
1

Homework Statement


擷取.PNG

擷取1.PNG

I=10A,L=0.5m,a=0.3m,x=0.2m

Homework Equations


upload_2016-4-19_16-38-1.png


The Attempt at a Solution


by the Biot-Savart Law
ds cross r=-dxcosθ k(direction k)
dB= μI/4π∫-dxcosθ/r^2
B=μI/4π∫-dxcosθ/r^2 (from ?? to ??) in magnitude
question:
1) what is ?? to ??
2)how dx and r respect to dθ?


[/B]
 

Attachments

  • upload_2016-4-19_16-31-37.png
    upload_2016-4-19_16-31-37.png
    1.4 KB · Views: 442
  • upload_2016-4-19_16-32-38.png
    upload_2016-4-19_16-32-38.png
    1.1 KB · Views: 453
Physics news on Phys.org
Look up the magnetic field from a current carrying infinitely long straight wire, an application of the BS law.
 
BvU said:
Look up the magnetic field from a current carrying infinitely long straight wire, an application of the BS law.
where is the start and end point of integration? 0 to inf?
then change cosθ and r respect to x? also the direction B-field is -k?
 
Are you aware of what you are doing ? What BS entails ? You write dx for an integration in the y direction, you write dB and on the next line B for the same expression on the right. You want to use the Biot Savart Law, which is fine, but somehat over the top: Ampere is already fine here!
where is the start and end point of integration? 0 to inf?
No, ##-\infty## to ##\infty##: everywhere where there is a contribution to the B field.
 
BvU said:
Are you aware of what you are doing ? What BS entails ? You write dx for an integration in the y direction, you write dB and on the next line B for the same expression on the right. You want to use the Biot Savart Law, which is fine, but somehat over the top: Ampere is already fine here!
No, ##-\infty## to ##\infty##: everywhere where there is a contribution to the B field.
OK thx
 
Any idea what ##\theta ## is ?
 
BvU said:
Any idea what ##\theta ## is ?
Yes after check with my lecture notes and
upload_2016-4-19_18-31-7.png
for Magnetic Field for an Infinite Long, Straight Conductor
 
Don't see no ##\theta## :smile:

Can you derive ##B={\mu_0I\over 2\pi a}## from BS :rolleyes: ?

But I spy an ##a## and that's not the ##a## in 'your' problem statement :nb) !
 
BvU said:
Don't see no ##\theta## :smile:

Can you derive ##B={\mu_0I\over 2\pi a}## from BS :rolleyes: ?

But I spy an ##a## and that's not the ##a## in 'your' problem statement :nb) !
upload_2016-4-19_18-57-3.png
upload_2016-4-19_18-57-22.png

upload_2016-4-19_18-57-16.png

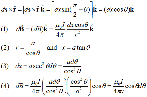
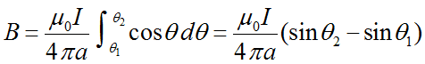
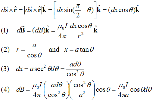
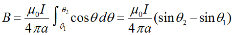
θ1=-π/2,θ2=π/2,If the conductor is an infinitely long, straight wire
hence
upload_2016-4-19_18-59-22.png

i think a is r when i used in this question
 
  • #10
can i ask you another question?
擷取4.PNG
5.PNG

using faraday law and lens law
e.m.f=-Nd(flux)/dt
=-200A(dB/dt)
=-200(aL)(dB/dt) how i link dB/dt with velocity dv/dt=5ms^-1?
 
  • #11
kenok1216 said:
View attachment 99347View attachment 99349
View attachment 99348
θ1=-π/2,θ2=π/2,If the conductor is an infinitely long, straight wire
hence View attachment 99350
i think a is r when i used in this question
Reassuring you found it; especially the transition from ##dx## (your ##dy##) to ##d\theta## isn't all that trivial.
The end result is Ampere's law for the straight long wire: ##B \, 2\pi a = \mu_0 I##.
Good.

And yes, ##a=r##.
 
  • #12
kenok1216 said:
can i ask you another question?
View attachment 99351 View attachment 99352
using faraday law and lens law
e.m.f=-Nd(flux)/dt
=-200A(dB/dt)
=-200(aL)(dB/dt) how i link dB/dt with velocity dv/dt=5ms^-1?
You use the result of part i.
And Flux is not ##AB## but ##\int \vec B(r)\cdot d\vec A\ \ ## !
 
  • #13
BvU said:
You use the result of part i.
And Flux is not ##AB## but ##\int \vec B(r)\cdot d\vec A\ \ ## !
i feel confuse that what is the changing time in this question, since v=5ms^-1 with constant velocity,the question just asking the e.m.f at x=0.2m,but at the beginning of the figure ,it alreay in x=0.2m, so how can i cal?
 
  • #14
kenok1216 said:
i feel confuse that what is the changing time in this question, since v=5ms^-1 with constant velocity,the question just asking the e.m.f at x=0.2m,but at the beginning of the figure ,it alreay in x=0.2m, so how can i cal?
6.PNG
 
  • #15
Do the integral for the flux. Should give you something that depends on x: ##\Phi(x)## . Then ##{d\over dt} \Phi = {d\over dx} \Phi \ {dx\over dt} = \Phi' v, \ \ ## to be evaluated at x = 0.2
 
  • #16
BvU said:
Do the integral for the flux. Should give you something that depends on x: ##\Phi(x)## . Then ##{d\over dt} \Phi = {d\over dx} \Phi \ {dx\over dt} = \Phi' v, \ \ ## to be evaluated at x = 0.2
do you mean dr/dt in this case? since B=μI/2πr (dB/dr)(dr/dt)=(dr/dt)(-μI/2πr^2)=5(-μI/2π(0.2)^2) for x=0.2m
 
  • #17
No. For the flux, r is just an integration variable. ##v## is ##{dx\over dt} = 5 ## m/s.
 
  • #18
BvU said:
No. For the flux, r is just an integration variable. ##v## is ##{dx\over dt} = 5 ## m/s.
i know the concept but i do not know how to solve
e.m.f=-Nd/dx(∫B dA) (5) then how can i solve it?
 
  • #19
Try to work out ##\int B \, dA ##

Note: e.m.f=-Nd/dt (∫B dA)
 
  • #20
BvU said:
Try to work out ##\int B \, dA ##
B=
BvU said:
Try to work out ##\int B \, dA ##

Note: e.m.f=-Nd/dt (∫B dA)
∫B dA=∫μI/2πr^2 dA <----how A line with r dA=2πrdr?
 
  • #21
kenok1216 said:
B=

∫B dA=∫μI/2πr^2 dA <----how A line with r dA=2πrdr?
can you show me some step? i have no idea now...
 
  • #22
A is the area of the loop over which you want to integrate ##\ \ \vec B \cdot \ d\vec A\ \ ## (because B is not the same everywhere on A).
Where do you see a ##\ \ r\, dA## ? and where do you see a ##\ \ 2\pi r \, dr## ?
 
Last edited:

Similar threads

  • · Replies 18 ·
Replies
18
Views
2K
  • · Replies 6 ·
Replies
6
Views
2K
  • · Replies 15 ·
Replies
15
Views
2K
  • · Replies 4 ·
Replies
4
Views
2K
  • · Replies 1 ·
Replies
1
Views
7K
Replies
3
Views
5K
Replies
18
Views
3K
  • · Replies 9 ·
Replies
9
Views
3K
Replies
3
Views
4K
  • · Replies 2 ·
Replies
2
Views
10K