Deriving distances from reference frames

Click For Summary

Discussion Overview

The discussion revolves around the relationship between distances measured in different reference frames, specifically focusing on how observers in relative motion perceive distances and times of events. It explores concepts such as Lorentz length contraction and the implications of simultaneity in special relativity, with participants attempting to derive formulas that relate distances and times from the perspectives of two observers, A and B.

Discussion Character

  • Exploratory
  • Technical explanation
  • Debate/contested
  • Mathematical reasoning

Main Points Raised

  • One participant questions how to relate distances x and x' using Person B's time tB, seeking a formula that incorporates these variables.
  • Another participant suggests that the absence of a time-like direction in the diagram complicates the relationship and emphasizes the importance of the relativity of simultaneity.
  • There is a proposal to use Lorentz transforms to relate the events in both reference frames, although some participants express uncertainty about how to derive the specific relationships from the provided diagram.
  • A participant mentions that the question lacks a direct answer without specifying a worldline for the event, indicating that a more comprehensive time history is needed for accurate calculations.
  • One participant proposes a formula involving the Lorentz factor to relate distances as perceived by both observers, questioning the validity of this approach and whether it accurately reflects the perspectives of A and B.
  • Another participant raises concerns about the application of length contraction in both directions, noting that it is only valid for simultaneous events in the respective frames.

Areas of Agreement / Disagreement

Participants express differing views on how to approach the problem, with no consensus on the correct method to derive the relationships between distances and times in the two reference frames. The discussion remains unresolved, with multiple competing ideas presented.

Contextual Notes

Participants highlight limitations in the provided diagram, particularly regarding the lack of a time-like direction and the need for simultaneous events to apply length contraction correctly. The discussion also indicates that the question as posed may not have a straightforward answer without additional context.

JohnnyGui
Messages
802
Reaction score
51
Hello,

I have a question regarding the following picture:

Picture.jpg


Here, person B is moving in his S’ reference frame with a speed of u relative to Person A, who is in his reference frame S. An event shown by a star (*) happens after tA time according to A.

The distance of that event is a distance of x according to Person A. The distance of that event is a distance of x’ according to Person B. From this we can relate x’ and x by using the Lorentz length contraction formula.

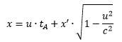
Person A will calculate that his own distance x is equal to:
Formula.jpg

Here’s my question; what is the relationship between x’ and x according to Person B in a formula in which person B uses his own time tB? So I’d want to relate x, x’ and tB in a formula. How do you do that by concluding it from the picture instead of rewriting my given formula for Person A?
 
Physics news on Phys.org
I don't think you can. Your diagram doesn't have a time-like direction drawn on it, and you can't neglect the relativity of simultaneity here.

I'd draw a proper Minkowski diagram. Then you'd see that the distances you've labelled x and x' aren't along parallel paths and you might be able to relate them formally.

Or you could just use the Lorentz transforms, since you know that's where you're going anyway.
 
  • Like
Likes   Reactions: PeterDonis
Ibix said:
Or you could just use the Lorentz transforms, since you know that's where you're going anyway.

That's how I wanted to do it. However, I'm not sure what the formula of x, x' and tB would be concluding it from the picture. Would Person B see the distance utA shorter by the Lorentz factor for example? How about the tA in it? Shouldn't that be corrected as well by the Lorentz factor?
 
Use the Lorentz transforms. Your event is ##(x,t)=(X,t_A)## in S and ##(x',t')=(X',t_B)## in S'. The Lorentz transforms and their inverse let you write expressions for any two in terms of the other two.
 
JohnnyGui said:
Hello,

I have a question regarding the following picture:

Here, person B is moving in his S’ reference frame with a speed of u relative to Person A, who is in his reference frame S. An event shown by a star (*) happens after tA time according to A.

The distance of that event is a distance of x according to Person A. The distance of that event is a distance of x’ according to Person B. From this we can relate x’ and x by using the Lorentz length contraction formula.

Person A will calculate that his own distance x is equal to:
View attachment 110321

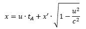
I noticed this was an attachment. You can do this inline with Latex. It will look like this:
$$ x = u \cdot t_a + x' \cdot \sqrt{1 - \frac{u^2}{c^2}}$$

The code for which is x = u \cdot t_a + x' \cdot \sqrt{1 - \frac{u^2}{c^2}}, written on a single line between \$\$ \$\$. (I've escaped the $ signs with a backslash, \, otherwise it'll trigger the latex formatting.

You can also use a pair of \#\#, it will be smaller in that case, looking like this:
## x = u \cdot t_a + x' \cdot \sqrt{1 - \frac{u^2}{c^2}} ##

I believe you can also see the Latex code when you reply to the post. What you did is fine, by the way, but if you want to post here frequently using Latex will probably make things easier for you. The latex help thread is https://www.physicsforums.com/threads/introducing-latex-math-typesetting.8997/

Sorry for the digression, back to your question.

You've only specified a single event, and not a worldline. Conceptually, the Lorentz transform allows you to map an event in A's frame S to an event in B's frame S', or the inverse transform, from S' to S, which maps the other way around.

The question as you wrote it does not have a direct answer. If you place the event * on some specific worldline, you can do the "mixed frame" sort of calculation you are asking about, where you have a time in A's frame and a distance in B's frame. But you need to specify the entire time history - or at least the relevant section - to answer the question as it is posed.
 
  • Like
Likes   Reactions: Battlemage! and Ibix
pervect said:
I noticed this was an attachment. You can do this inline with Latex. It will look like this:
$$ x = u \cdot t_a + x' \cdot \sqrt{1 - \frac{u^2}{c^2}}$$

The code for which is x = u \cdot t_a + x' \cdot \sqrt{1 - \frac{u^2}{c^2}}, written on a single line between \$\$ \$\$. (I've escaped the $ signs with a backslash, \, otherwise it'll trigger the latex formatting.

You can also use a pair of \#\#, it will be smaller in that case, looking like this:
## x = u \cdot t_a + x' \cdot \sqrt{1 - \frac{u^2}{c^2}} ##

I believe you can also see the Latex code when you reply to the post. What you did is fine, by the way, but if you want to post here frequently using Latex will probably make things easier for you. The latex help thread is https://www.physicsforums.com/threads/introducing-latex-math-typesetting.8997/

Sorry for the digression, back to your question.

You've only specified a single event, and not a worldline. Conceptually, the Lorentz transform allows you to map an event in A's frame S to an event in B's frame S', or the inverse transform, from S' to S, which maps the other way around.

The question as you wrote it does not have a direct answer. If you place the event * on some specific worldline, you can do the "mixed frame" sort of calculation you are asking about, where you have a time in A's frame and a distance in B's frame. But you need to specify the entire time history - or at least the relevant section - to answer the question as it is posed.

Thanks a lot for the explanation on Latex. I'm indeed aware of it but I've yet to master its way to know how to write formulas. I'll try it.

Back to the question:

Why isn't it possible to say that Person B is seeing the distance ## u \cdot t_A ## shortened by the Lorentz factor, just like Person A is seeing ## x' ## of B getting shortened? So that:

$$ u \cdot t_A \cdot \sqrt{1 - \frac{u^2}{c^2}} = u \cdot t_B $$

So Person B would have to divide ## u \cdot t_B ## by ## \sqrt{1 - \frac{u^2}{c^2}} ## to get the distance ## u \cdot t_A ## as Person A perceives it. Same thing goes for B's preceived ## x' ##, which he'd also have to correct by the Lorentz factor so that he gets the x' that Person A sees. In the end:

$$ x = u \cdot t_B \cdot \frac{1}{\sqrt{1 - \frac{u^2}{c^2}}} + x' \cdot \sqrt{1 - \frac{u^2}{c^2}}$$

Why isn't it possible that way? Isn't B in this way seeing A moving with respect to himself?
 
Last edited:
X is, implicitly, the distance from some event ##(x,t)=(0,t_A)## to an event ##(x,t)=(X,t_A)##.

What is X', though? The distance to ##(X,t_A)## from what event? If you say from the event on the ##t'## axis that is at the same ##t=t_A## then X' is a distance in S, but is a mixture of distance and time in S'. If you say it is the distance from the event on the ##t'## axis that is at the same ##t'=t_B## then X' is a distance in S', but is a mixture of distance and time in S.

In either case you can't naively apply the length contraction formula in both directions because it's only valid when the events whose separation you are measuring are simultaneous in the frame you are translating from. And that's not true in one of your two frames however you define X'.

That's why I suggested you draw a Minkowski diagram. All of this would be obvious if you did that.
 
Last edited:
  • Like
Likes   Reactions: Nugatory and PeterDonis
What you see in the following picture:

The left diagram displays how an observer A who is at rest relative to several clocks with red, green and blue clock counters in sync with each other. The black, green and blue numbers in the left diagram depict those clock counters. Those can all be thought of as events.

The right diagram displays how an observer B who is traveling at v=0.5c relative to observer A would measure/calculate those events within his IFR. The white numbers are clock counters of clocks which are at rest relative to observer B and are also in sync with each other, hence are moving relative to observer A.

spacetime79633.png


The thick red line in the left diagram, can be thought of as a very long ruler measuring 5ls (One lightsecond ~ 300000km). The less thick red lines are the worldlines of the the endpoints of the ruler.
To measure an object's length, we measure the distance between the two endpoints of this object, which can be thought of as measuring two events which happen simultaneously and lie on the endpoints of this ruler.

In this case event E0 at x=0ls, t=0s and E1 at x=5ls, t=0s

Using the Lorentz transformations, we can calculate where observer B would measure/calculate the event E1 to be within his IFR, hence we get E1' within the right diagram.

x' = γ(x-vt)
t' = γ(t-(vx/c2))x' = γ(x-vt) = 1.1547...(5ls - 0.5c*0s) = 5.7735...ls
t' = γ(t-(vx/c2)) = 1.1547...(0ls - (0.5c * 5ls) / c2) = -2.88675...s

=> E1'(5.7735..ls, -2.88675..s) which seems to agree with where E1' is located on the right diagram.

But you cannot use E1' to calculate the length of the ruler in the right diagram because you need two endpoints(events on the endpoints) of the ruler which are simultaneous (at the same time).

We already have one endpoint(event on the endpoint) of the ruler which is x=0, t=0 for the left diagram and is x'=0 t'=0 on the right diagram as well.
So, the easiest way would be to find an endpoint of the ruler which is simultaneous to an event at x'=0 t'=0. That would be E2'.

So we need an endpoint(event on the endpoint) of the ruler on the left diagram E2 which when using the Lorentz transformations turns into E2' in the right diagram, hence being simultaneous to E0' with t'=0.

E2(5ls, 2.5s) is the event we are looking for. We can verify with the Lorentz transformations

x' = γ(x-vt) = 1.1547...(5ls - 0.5c*2.5s) = 4.33...ls
t' = γ(t-(vx/c2)) = 1.1547...(2.5ls - (0.5c * 5ls) / c2) = 0s

=> E2'(4.33..ls, 0s) which aligns pretty well with what we see in the right diagram. E0' being at x'=0 and t'=0 (simultaneous to E2'), we can easily see that observer B will measure 4.33..ls for the ruler (purple line) within his IFR.

(how i figured that E2(5ls, 2.5s) was the event to look for is not that important. You can figure that one out yourself)I have to admit that it was impossible for me to fully understand what you were asking for exactly, but i hope that this answer will get you closer to what you are trying to do/understand.
 
Last edited:
Here are the same diagrams drawn without the black clocks/clock counters, but with a light grid, which might make it a bit clearer

lightgridd06a2.png
 
Last edited:
  • Like
Likes   Reactions: Dale
  • #10
At first i thought someone got relativity wrong when seen the drawing OP posted. After oogling it a little more, it appears to me that this is no work of an amateur, but some smart cookie out there. Either some puzzle or homework.

I would think that it has a solution as OP intents it to have.
 
  • #11
Jeronimus said:
I would think that it has a solution as OP intents it to have.
Of course there's a solution. But it involves clarifying what X' is and importing the full Lorentz transforms. I don't think there's a shortcut, for reasons stated above.
 
  • #12
Ibix said:
Of course there's a solution. But it involves clarifying what X' is and importing the full Lorentz transforms. I don't think there's a shortcut, for reasons stated above.

JohnnyGui said:
The distance of that event is a distance of x according to Person A. The distance of that event is a distance of x’ according to Person B.

x' is one component of an event. E1'(x', t') with t' (tB in this case) being "unknown". It's well defined.

JohnnyGui said:
Person A will calculate that his own distance x is equal to:
formula-jpg.110321.jpg

this is the lorentz transformation (boost) formula solving for x' usually, but written to solve for x instead. It is equal to x' = γ(x-vt).

x is a vector which is composed of two vectors in this formula. I added some content to the drawing to make this clear.

1235cfd4.png


What i marked in the red circle is what should follow from the picture. The formula in the red circle is equivalent to the inverse Lorentz boost formula, solving for x.

The difficult part now would be to argue, why you could switch x with x' in the picture and switch utA with -utB and observer A with observer B, and possibly define some axis to be negative rather than positive (contrary to the standard) in order to derive the inverse Lorentz boost formula from just the picture alone, as requested by OP.

This however is a level of abstraction i am not used to work with. I'd rather leave it to someone else to figure it out :D
 
  • #13
@JohnnyGui - if you note that both ##ut_A## and ##-ut_B## are signed quantities and add some mechanism to make it clear which vectors are associated with which frame then you can apply your same addition rule to get the inverse transform.

This isn't really "from the diagram", though, and neither is your original answer, since you have used the Lorentz transforms to get there, which are no part of your diagram. From your diagram, ##X=X'+ut_A##. The underlying problem is that the quantity X', drawn in S, isn't purely a distance, and you have no straightforward mechanism to show that. A Minkowski diagram shows it immediately and you don't need to associate vectors with particular frames, which falls under the heading of Bad Ideas in general.

@Jeronimus - see above. Note that OP is using the Lorentz transforms, not deriving them.
 
  • #14
Ibix said:
@JohnnyGui - if you note that both ##ut_A## and ##-ut_B## are signed quantities and add some mechanism to make it clear which vectors are associated with which frame then you can apply your same addition rule to get the inverse transform.

This isn't really "from the diagram", though, and neither is your original answer, since you have used the Lorentz transforms to get there, which are no part of your diagram. From your diagram, ##X=X'+ut_A##. The underlying problem is that the quantity X', drawn in S, isn't purely a distance, and you have no straightforward mechanism to show that. A Minkowski diagram shows it immediately and you don't need to associate vectors with particular frames, which falls under the heading of Bad Ideas in general.

@Jeronimus - see above. Note that OP is using the Lorentz transforms, not deriving them.

He uses ONE of the Lorentz transformation formulas. The question OP asks (as far as i understand it), is if you can find a formula which relates tB to x and x' based on the picture he gave us, which would inevitably lead to the one of the inverse Lorentz transformation formulas. I believe you can but as i said, this stuff is too abstract for me.

It would be nice to know if this drawing is just something the OP made up or if it was some kind of homework.
 
  • #15
Jeronimus said:
He uses ONE of the Lorentz transformation formulas.
Yes. That's why he can't construct the inverse unless he does something equivalent to what I did in my last post, which uses two.

Jeronimus said:
The question OP asks (as far as i understand it), is if you can find a formula which relates tB to x and x' based on the picture he gave us, which would inevitably lead to the one of the inverse Lorentz transformation formulas. I believe you can but as i said, this stuff is too abstract for me.
This isn't abstract. This is fairly basic maths.

The diagram is just a way of defining what OP's symbols are. Nothing can be derived from it without further information. OP then introduces some further information, in the form of one constraint relating the three variables ##X##, ##X'##, and ##t_A##. Then he asks if he can deduce a relationship to the fourth variable from this. The answer is no. All he can do is what he did to relate the first three variables - introduce another constraint.

Obviously we know what that constraint will be because this is the relativity forum.
 
  • #16
So sorry guys for replying that late.

@Ibix: Thanks for your clear answers. I think I’m starting to see what you mean. The thing is I’m not very good with Minkowski diagrams and hence I was trying to deduce this all from the picture.

Here’s what I meant with ## x’ ##; it is a distance that B himself measures. So it’s not a distance in ## S ##. However, what I thought would be possible, is that person B can define ## x’ ## for A by Lorentz transformation.

Something like this:

The event happens for person B at the moment B sees that A has traveled a distance of ## u \cdot t_B ## . At that moment, B will measure a distance of ## x’ ## to the event. However, B knows that A would see that length ## x’ ## is contracted because B is aware that A is seeing him moving. That's why I thought that B would have to make his ## x’ ## smaller by dividing it by ## y ##. However, from other sources and from the formulas that @Jeronimus deduced, it seems that ## x’## should be multiplied with ## y ## which gets me confused. I think that’s the core of my problem here what I don’t get.

@Jeronimus

Thanks a lot for your extensive replies with explanations. If I understand correctly, it shows me that I can’t use the same ## x’ ## and ## t’ ## values that A calculated to calculate ## x ## and ## t ## back again? I found that quite remarkable. But then you came with this…

Jeronimus said:
The difficult part now would be to argue, why you could switch x with x' in the picture and switch utA with -utB and observer A with observer B, and possibly define some axis to be negative rather than positive (contrary to the standard) in order to derive the inverse Lorentz boost formula from just the picture alone, as requested by OP.

…which is exactly my question in my OP. I thought that it’s possible for B to “predict and calculate” what A would be measuring for him so he could calculate ## x ## and ## t_A ## back again. But this seems to be impossible because simultaneity is broken?

Also, from your edited diagram I concluded that:

$$ x = \frac{u \cdot t_B}{\sqrt{1 - \frac{u^2}{c^2}}} + \frac{x’}{\sqrt{1 - \frac{u^2}{\sqrt{c^2}}}} $$

Which seems to be a tad bit different from my last concluded formula in my post #6

$$ x = \frac{u \cdot t_B}{\sqrt{1 - \frac{u^2}{c^2}}} + x’ \cdot \sqrt{1 - \frac{u^2}{c^2}} $$

Which is again my problem as I described for @Ibix above; I seem to want to divide ## x’ ## by gamma instead of multiplying it because I’d think that ## x’ ## should be contracted for A. I don’t know if there’s any other way to explain why B would want to multiply ## x’ ## with gamma. Wouldn’t this give a longer length for A? You showed in your edited graph yourself that A would measure ## x’ ## as ## \frac{x’}{y} ## just as I would conclude.

As for this picture, it’s a picture that I got from a video of a lecture. I didn’t quite understand his way of writing a relationship for ## x’, x ## and ## t_B ## in one formula and I wanted to know if there’s another way of concluding it from the picture by asking it here. The lecturer is actually very clear at explaining things but I just happen to not understand that part. Here’s the link:
 
  • #17
@JohnnyGui Let me try my explanation of this. Let's analyse it from A's frame, but also have A try to figure out what B measures.

Let's assume that B sets out with a ruler of proper length ##L## out in front of him and a synchronised clock at the end.

In A's frame, the ruler will have length ##L/\gamma## and the clock will read ##t_b - uL/c^2## when B's clock reads ##t_b##

A measures an event at ##x_A, t_A##. Where are B and his ruler at this time?

B will be at ##ut_A## and his clock will read ##t_A/\gamma##; and the end of B's ruler will be at ##ut_A + L/\gamma## and that clock will read ##t_A/\gamma - uL/c^2##. All in A's frame.

Now, if by luck or judgement we have ##L## the correct length, then the end of the ruler will be at the event just as it occurs. So, we need:

##ut_A + L/\gamma = x_A##

Hence:

##L = \gamma (x_A - ut_A)##

Now, ##L## is B's measurement of the distance to the event. B himself is at the origin and the the end of the ruler was at the event when it took place (in his frame), so:

##x_B = L = \gamma (x_A - ut_A)##

This also gives us the time of the event in B's frame (it's the time on the clock at the front of the ruler):

##t_B = t_A/\gamma - uL/c^2 = t_A/\gamma - u\gamma (x_A - ut_A)/c^2 = \gamma((\frac{1}{\gamma^2} + \frac{u^2}{c^2})t_A - \frac{ux_A}{c^2}) = \gamma (t_A - \frac{ux_A}{c^2})##

And that's the Lorentz Transformation!
 
  • Like
Likes   Reactions: JohnnyGui and Jeronimus
  • #18
JohnnyGui said:
Person A will calculate that his own distance x is equal to:
##x = u \cdot t_a + x' \cdot \sqrt{1 - \frac{u^2}{c^2}}##
That's just the Lorentz transformation equation of the event's position from frame A to frame B, just written awkwardly. If you just rearrange it a bit, moving all A quantities to one side, all B quantities to the other and multiply by ##\gamma## you get the usual form ##x' = \gamma (x - u \cdot t_a)##.

It's also weird to interpret it as calculating ##x## from a mix of different frame quantities, instead of the usual meaning of calculating ##x'## from ##(x, t)##.
 
  • #19
PeroK said:
@JohnnyGui Let me try my explanation of this. Let's analyse it from A's frame, but also have A try to figure out what B measures.

Let's assume that B sets out with a ruler of proper length ##L## out in front of him and a synchronised clock at the end.

In A's frame, the ruler will have length ##L/\gamma## and the clock will read ##t_b - uL/c^2## when B's clock reads ##t_b##

A measures an event at ##x_A, t_A##. Where are B and his ruler at this time?

B will be at ##ut_A## and his clock will read ##t_A/\gamma##; and the end of B's ruler will be at ##ut_A + L/\gamma## and that clock will read ##t_A/\gamma - uL/c^2##. All in A's frame.

...
I liked your explanation.

But wouldn't ##t_b## have to equal 0 or else we would be looking at ##(t_A+t_b)/\gamma## i would think.

Also, how did you get to ##-uL/c^2##. I mean, which method did you use or how did you imagine it? Not questioning its validity.

edit: As i understand it now. The video course JohnyGui was following, was at the point where they already derived the length contraction and time dilation formulas of SR. From there, they attempted to derive the Lorentz transformation formulas and the inverse Lorentz transformation formulas.

Which is why i am asking how you arrived at ##-uL/c^2##.
 
Last edited:
  • #20
Jeronimus said:
I liked your explanation.

Which is why i am asking how you arrived at ##-uL/c^2##.

That's from the relativitity of simultaneity. Time dilation and length contraction are just two pieces of the puzzle; this is the third. Clocks synchronised in B's frame will not be synchronised in A's and the difference will be ##-uL/c^2## where ##L## is the distance from the origin in B's frame.
 
  • #21
PeroK said:
That's from the relativitity of simultaneity. Time dilation and length contraction are just two pieces of the puzzle; this is the third. Clocks synchronised in B's frame will not be synchronised in A's and the difference will be ##-uL/c^2## where ##L## is the distance from the origin in B's frame.

I know that. My question is how you arrived at ##-uL/c^2## as in which method allowed you to compute it. If you had to use Lorentz transformations to get to it, then while your explanation is nice still, we would end up using Lorentz transformations to get to the Lorentz transformations.
 
  • #22
Jeronimus said:
I know that. My question is how you arrived at ##-uL/c^2## as in which method allowed you to compute it. If you had to use Lorentz transformations to get to it, then while your explanation is nice still, we would end up using Lorentz transformations to get to the Lorentz transformations.

There are lots of ways to derive it. You could consider two moving clocks with a light pulse emitted in both directions from a point half way between them. In their frame the light reaches both clocks simultaneously, but not in your frame.
 
  • #23
PeroK said:
Explanation

Thanks a lot for that explanation. I seem to have found my culprit which is the simultaneity factor ## \frac{-uL}{c^2} ## which I don't seem to be able to derive. This leads me to 2 questions

1. So if I understand correctly, in ##A's## reference frame, ##A## will see at event ##(x, t_A)## that ##B## (the front of the ruler) will have a time of ##t_A /\gamma## while at that same event ##B## himself would measure his own clock having a time of ##t_A/\gamma - uL/c^2## ?

2.
You said that according to ##A## that ##t_B = t_A /\gamma ##. Putting that relationship in the formula ##ut_A + L/\gamma = x_A## shows that ##A## will say:

$$ x_A = u \cdot t_B \cdot \gamma + \frac {L}{\gamma} $$

While ##B## would say:

$$ x_A = u \cdot \gamma (t_B + \frac{uL}{c^2}) + \frac{L}{\gamma}$$

Are these correct?
 
  • #24
JohnnyGui said:
Thanks a lot for that explanation. I seem to have found my culprit which is the simultaneity factor ## \frac{-uL}{c^2} ## which I don't seem to be able to derive. This leads me to 2 questions

1. So if I understand correctly, in ##A's## reference frame, ##A## will see at event ##(x, t_A)## that ##B## (the front of the ruler) will have a time of ##t_A /\gamma## while at that same event ##B## himself would measure his own clock having a time of ##t_A/\gamma - uL/c^2## ?

First, it's surprising how many people on this forum know about time dilation and length contraction, but don't take into account the relativitity of simultaneity (RoS), in this case in the form of the "leading clock lags" rule.

Second, the RoS means that you cannot think in terms of "when the time is ##t_A## in A's frame, it is ##t_B## in B's frame". You can think of the time in A's frame or the time in B's frame, but when you mix the two you must be talking about a specific event (at a specific location).

You can, however, as I did in this case, keep track of time shown on a number of clocks in B's frame, at a time ##t_A## in A's frame. In this case, we implicitly took B to have a coincident origin with A: that is to say, when B passed A, they agreed to synchronise their origins at that event. With this implied convention, B's clock will read ##t_A/\gamma## in A's frame of reference, but any other clock in B's frame will be offset from this (in A's frame)

B's clock reads ##t_A/\gamma##, but the clock at the end of the ruler reads ##t_A/\gamma - uL/c^2## in A's frame. Yet, these two clocks remain synchronised at all times in B's frame.
JohnnyGui said:
2.
You said that according to ##A## that ##t_B = t_A /\gamma ##. Putting that relationship in the formula ##ut_A + L/\gamma = x_A## shows that ##A## will say:

$$ x_A = u \cdot t_B \cdot \gamma + \frac {L}{\gamma} $$

While ##B## would say:

$$ x_A = u \cdot \gamma (t_B + \frac{uL}{c^2}) + \frac{L}{\gamma}$$

Are these correct?

I used ##t_b## as the time on B's clock (in A's frame) when the event occurred. This is very different from ##t_B##, the time B measures for the event. To get the time of the event in B's frame, you need a clock in B's frame local to the event. This is the point of having the clock at the end of the ruler.

The rest of what you wrote is pointless. Until you can analyse the situation correctly in A's frame and deduce ##t_B, x_B##, there is no point complicating matters by looking at the situation in B's frame.

One suggestion is to go back to my derivation and ignore the times for the moment. Just concentrate on understanding why

##x_B = L## and ##x_A = ut_A + L/\gamma##
 
  • #25
PeroK said:
Second, the RoS means that you cannot think in terms of "when the time is tAtAt_A in A's frame, it is tBtBt_B in B's frame". You can think of the time in A's frame or the time in B's frame, but when you mix the two you must be talking about a specific event (at a specific location).

But I am talking about a specific event ##x_A , t_A## in my post.

PeroK said:
The rest of what you wrote is pointless

What I'm trying to do here is derive the formula that the lecturer is writing at 2:16 in this video, but from your own mentioned formulas.


The lecturer wrote the following:

$$ x_B = -ut' + \frac{x_A}{\gamma} $$

Here, ##x_B## is considered ##L##. I'm not sure if the ##t'## is the same as your mentioned ##t_b## or ##t_B##.

As I understand from you, A says that ##t_b = t_A / \gamma## while B says that ##t_B = t_A/\gamma - uL / c^2##
Furthermore, you mentioned that ## x_B = L = \gamma(x_A - ut_A)##. Expressing the ##t_A## here in ##t_b## to calculate ##L## just like the lecturer wants to, gives:

$$ x_B = L = \gamma (x_A - ut_b\gamma) = x_A\gamma - ut_b\gamma^2 $$

This formula is not equal to what the lecturer wrote. Perhaps he meant ##t'## as ##t_B##. If that's the case, let's then try expressing ##t_A## in ##t_B## in the formula for ##L##. After "simplifying" this gives:

$$ x_B = L = \gamma(x_A - u\gamma(t_B + \frac{uL}{c^2})) = \frac{x_A\gamma - u^2 \gamma^2 t_B}{1 - \frac{u^2\gamma^2}{c^2}} $$

Which still isn't equal to ##x_B = L = -ut' + \frac{x_A}{\gamma}## as the lecturer wrote, even if I try to simplify it further. How can I come up with the lecturer's formula by using your mentioned formulas?
 
Last edited:
  • #26
Can you simplify ##\displaystyle\frac{1}{1-\frac{u^2\gamma^2}{c^2}}## ?
 
  • #27
robphy said:
Can you simplify ##\displaystyle\frac{1}{1-\frac{u^2\gamma^2}{c^2}}## ?

This gave me, after including the numerator again :

$$ L = \frac{\frac{x_A}{\gamma} - u^2t_B}{1-\frac{2u^2}{c^2}} $$

Am I missing something obvious?
 
Last edited:

Similar threads

  • · Replies 87 ·
3
Replies
87
Views
6K
  • · Replies 33 ·
2
Replies
33
Views
3K
  • · Replies 7 ·
Replies
7
Views
1K
  • · Replies 2 ·
Replies
2
Views
2K
  • · Replies 52 ·
2
Replies
52
Views
4K
  • · Replies 19 ·
Replies
19
Views
3K
  • · Replies 26 ·
Replies
26
Views
3K
  • · Replies 20 ·
Replies
20
Views
2K
  • · Replies 35 ·
2
Replies
35
Views
6K
  • · Replies 51 ·
2
Replies
51
Views
4K