Determining electron configuration with quantum numbers n l

Click For Summary

Discussion Overview

The discussion revolves around determining electron configurations using quantum numbers (n, l) and their implications for orbitals and electron counts in quantum dots. Participants explore the relationship between quantum numbers and orbital designations, as well as the filling order of orbitals.

Discussion Character

  • Exploratory, Conceptual clarification, Debate/contested

Main Points Raised

  • One participant questions whether the quantum numbers (n, l) = (1, 2) can be used to determine orbitals and the number of electrons in a quantum dot.
  • Another participant expresses confusion about the notation used, suggesting it may refer to terms rather than orbitals, and questions the coherence of the terms presented.
  • A third participant attempts to clarify the relationship between quantum numbers and orbitals, indicating that for configurations like 1s², 1p⁶, and 1d¹⁰, the values of n and l correspond to specific electron configurations.
  • There is a mention of a potential overlap with another thread regarding energy levels of quantum dots, indicating a broader context for the discussion.

Areas of Agreement / Disagreement

Participants do not appear to reach a consensus, as there are differing interpretations of the notation and its implications for orbitals and electron configurations.

Contextual Notes

Some assumptions about the notation and its relation to terms versus orbitals remain unresolved, and the discussion touches on overlapping topics with another thread.

rwooduk
Messages
757
Reaction score
59
This relates to a question I asked recently on Quantum Dots, but I'll rephrase it and hopefully any chemists out there can help.

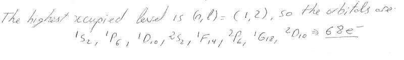
If we have (n,l) = (1,2) where n and l are quantum numbers can we determine the orbitals? and hence the number of electrons in a quantum dot?

i.e.
lrq3kH2.jpg


And also I've always used the SSPSP... to fill orbitals, what's happened to the second S etc? why does he go SPDSF

Thanks in advance for any help, completely lost.
 
Chemistry news on Phys.org
No idea what is going on. Symbols look to me as if he was writing about terms, not orbitals. Not that it makes sense to me with terms.
 
Locking here.
 

Similar threads

Replies
4
Views
3K
  • · Replies 2 ·
Replies
2
Views
2K
  • · Replies 10 ·
Replies
10
Views
3K
  • · Replies 7 ·
Replies
7
Views
2K
  • · Replies 11 ·
Replies
11
Views
3K
  • · Replies 2 ·
Replies
2
Views
2K
  • · Replies 4 ·
Replies
4
Views
27K
  • · Replies 5 ·
Replies
5
Views
4K
Replies
1
Views
8K
  • · Replies 21 ·
Replies
21
Views
2K