Looking for help calculating heat transfer for PEX ground loop project

Click For Summary

Discussion Overview

The discussion revolves around calculating heat transfer for a closed loop water circulation system designed to prevent livestock water troughs from freezing. Participants explore various factors influencing heat loss, potential designs, and the feasibility of using solar power for the system.

Discussion Character

  • Exploratory
  • Technical explanation
  • Debate/contested
  • Mathematical reasoning

Main Points Raised

  • One participant suggests calculating heat loss from the trough at the lowest expected air temperature, considering insulation and other factors like floating balls to reduce heat loss.
  • Another participant emphasizes the importance of understanding the ground temperature and the relationship between the circulating loop water temperature and the trough water temperature.
  • Concerns are raised about the potential risks of using a coil in drinking water, suggesting that external fittings may be necessary to avoid contamination.
  • Some participants express skepticism about the initial costs and maintenance of the proposed geothermal system, comparing it to electric immersion heaters as an alternative.
  • There are discussions about the placement of solar panels, with suggestions that they could also serve as an insulator for the trough if positioned correctly.
  • Participants mention the need for specific tank dimensions and insulation values for accurate calculations of heat loss.
  • One participant argues that burying pipe is more economical than running electric lines, citing the costs of freeze-proof waterers and the potential for a net zero footprint.

Areas of Agreement / Disagreement

Participants do not reach a consensus on the best approach to the problem, with multiple competing views on system design, cost-effectiveness, and the practicality of different heating methods remaining unresolved.

Contextual Notes

Limitations include the need for precise tank dimensions, insulation values, and the worst-case ambient temperatures for accurate heat loss calculations. There is also uncertainty regarding the long-term reliability and maintenance of geothermal systems compared to other heating solutions.

  • #31
mcantrell71 said:
well, most of that info was in post #1.
Well...saying by fiat the heat loss from the tank is 1500 W is a not a good way to start. It's a complete guess. Unless you want to iterate the design when its undersized, or waste money in excess materials I suggest you try to actually make some reasonable conditional assumptions and calculate the losses from the tank under said conditions.

This will be the is the easy part.
 
Physics news on Phys.org
  • #32
The calcs for this aren't particularly difficult. The real problem is how to size the ground loop. Different soil and groundwater conditions make it impossible to be very precise - you'll need to miss on the high side. The suggestion to find out what commonly works in your area is a good one - it will give you a place to start.

You said that 1500W did the job. Assuming that:

Warning - Round numbers:
1500W is equivalent to about 5000 BTU/HR or about 0.4 Tons. Assuming a good enough heat exchanger in the trough, you'll need about 42F water at 1 GPM. If you can get the water warmer, you can use a smaller HeatX.

One of the issues with ground loops can be geology. In addition to cooling the ground immediately around your pipes, you may be depleting an isolated pool of heat (longer term) - the system performance can decay over years.
 
  • Like
Likes   Reactions: Lnewqban
  • #33
They are making their own heat exchanger out of run of PEX tubing from scratch. The performance characteristic need to be evaluated. Its not nearly as simple a problem as being implied by

$$q = \dot m c_p \Delta T $$

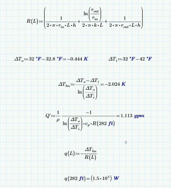
Dissapating 1500W If you wanted to run a 1 gpm pump bringing the flow in at 42 F it leaves at 32.8 F if the length of that PEX tube (of that spec) in the tank (32 F) is approximately 230 ft.

Polyethylene (PEX) is an abysmal thermal conductor, as are most plastics in general.

If you think that is bad the ground side loop to bring it back to 42 F from 32.8F would undoubtedly make that look like a baby coil...
 
Last edited:
  • Like
Likes   Reactions: russ_watters
  • #34
What about installing an automatic waterer (or several)?
 
  • #35
erobz said:
Well...saying by fiat the heat loss from the tank is 1500 W is a not a good way to start. It's a complete guess.
You don't really know that. It's obvious to me that the OP likely has more experience in knowing how much energy it takes to keep HIS tank from freezing in HIS environment based on HIS experience. What he lacks is understanding how much heat he can pull out of the ground with this method. Which in my opinion is not much.
-
That being said, think of it this way: No matter what, the temperature of the working fluid will never be more than ambient ground temp of 55 degrees (what the OP said). A huge rate of the working fluid needs to be pumped to make this work. The temperature difference between the working fluid at 55° and the minimum water temp of 32° is not large enough. What you are attempting to do is not a heat pump and if it were, it would take more energy than you can utilize from a battery and solar.
-
Right now I am battling similar problems keeping water thawed for large animals. I've used many different methods over the years and by far the best is an automatic waterer with an electric heater and thermostat. Bite the bullet and bury the electric wire when you bury the supply pipe. By something from these guys:
https://ritchiefount.com/
-
Keeping large animals is not an endeavor that can be done with little capital to work with no matter how you look at it. I wouldn't skimp here. I know there are also gas heaters that can be used for this sort of thing but I don't have experience with them. A 20 lb propane bottle would do a fair amount.
 
  • Like
Likes   Reactions: russ_watters, Lnewqban and gmax137
  • #36
Averagesupernova said:
You don't really know that. It's obvious to me that the OP likely has more experience in knowing how much energy it takes to keep HIS tank from freezing in HIS environment based on HIS experience. What he lacks is understanding how much heat he can pull out of the ground with this method. Which in my opinion is not much.
Well, if its 1500W, and he is making his own coil out of PEX that size he is going to be in for a surprise before he even gets to extracting the heat from the ground. I do know that.

Parameters:
1675300776783.png


Relevant Heat Transfer Equation:

1675301032671.png


This is the point about trying to compute the losses from the tank. If it's not 1500 W perhaps it could require significantly less tube...to get the heat into the tank (at least).

Overall I suspect its not going to be feasible, but hey...that's what we are trying to figure out for them. Perhaps there are configurations that could be considered so that it could work. I don't know yet...because we haven't tried to compute the actual losses from the tank ( 100 gal - which is not huge as far as tanks go).
 
Last edited:
  • Like
Likes   Reactions: Lnewqban
  • #37
Another thing I should consider is how big a fool I am trying to fine tune design something for free that someone else could sell with no financial obligations. This is the story of my life...everyone is making money but me! I'll always be a schmuck...
 
  • #38
erobz said:
...because we haven't tried to compute the actual losses from the tank ( 100 gal - which is not huge as far as tanks go).
The loss from the tank will be much larger than the heat loss from one of the units in the link I provided due to ground contact. An automatic waterer is designed to avoid contact with anything that can draw heat away from the bowl Also, the more animals that drink from an automatic waterer, the less trouble they will give. Their thermostats can be set so that incoming water is warmer than the setpoint. So the more water that is drank, the less the bowl heater needs to run.
-
So, while this post gives no help in determining the heat loss, I thought it was worth pointing out the differences. It's a no brainier to me. I'd use one of these before attempting what the OP wants to do.

a9efbc9d3be2ebc9933ba066564710f6--stock-tank-heater-wood-burning.jpg
 
  • Like
Likes   Reactions: Lnewqban and erobz
  • #39
Averagesupernova said:
The loss from the tank will be much larger than the heat loss from one of the units in the link I provided due to ground contact. An automatic waterer is designed to avoid contact with anything that can draw heat away from the bowl Also, the more animals that drink from an automatic waterer, the less trouble they will give. Their thermostats can be set so that incoming water is warmer than the setpoint. So the more water that is drank, the less the bowl heater needs to run.
-
So, while this post gives no help in determining the heat loss, I thought it was worth pointing out the differences. It's a no brainier to me. I'd use one of these before attempting what the OP wants to do.

View attachment 321573
Yeah, see post #7. I was skeptical immediately. I've made Teflon pipe heat exchanger in the past to control the heat of formation in mixing water and concentrated sulfuric acid. Plastic tube is not good material for transferring heat radially through its walls.
 
  • #40
I don't know how large the trough is - 300' of pex will coil nicely in a 6' circle. I've seen it done with a PVC frame.

The other significant concern is: a 1500W electric heater works (or can work) 24 Hours/day. This ain't that.
 
  • Like
Likes   Reactions: erobz
  • #41
Dullard said:
I don't know how large the trough is - 300' of pex will coil nicely in a 6' circle. I've seen it done with a PVC frame.
Admittedly shocked, but the math does support that.
Dullard said:
The other significant concern is: a 1500W electric heater works (or can work) 24 Hours/day. This ain't that.
Yeah, it can stay cold (and cloudy) for 24 hr/day for long periods of time (at least where I live). Unless there is a barn full of batteries or you are in a climate that doesn't experience prolonged cold spells, there might be some issues.
 
Last edited:

Similar threads

  • · Replies 2 ·
Replies
2
Views
3K
  • · Replies 4 ·
Replies
4
Views
2K
Replies
1
Views
3K
  • · Replies 4 ·
Replies
4
Views
3K
Replies
14
Views
4K
Replies
18
Views
5K
  • · Replies 5 ·
Replies
5
Views
3K
  • · Replies 5 ·
Replies
5
Views
9K
  • · Replies 4 ·
Replies
4
Views
2K
  • · Replies 18 ·
Replies
18
Views
17K